2018 Physics paper 2
SECTION A (25 marks)
Answer all the questions in this section in the splices provided.
1. Explain why the walls of a studio are padded with woollen materials.(2 marks)
2. State one characteristic of soft X-rays that distinguish them from hard X-rays.(1 marks)
3. Figure 1 shows a bar magnet AB suspended by a string.

4. State what happens to the image formed by a pin hole camera when the size of the hole is increased. (1 mark)
5. The angle of incident for a ray of light moving from air to a certain liquid is 30°. Given that the refractive index of the liquid is 1.36, determine the angle of refraction. (2 marks)
6. An electric kettle is rated 1.8 kW, 240 V. Determine the rating of the fuse that may be used in the kettle. (3 marks)
7. Figure 2 shows the image of an object O placed on the principle axis of a convex mirror.

8. Define radioactivity.(1 mark)
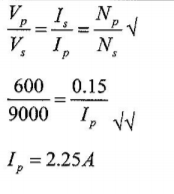
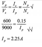
9. A transformer has 600 turns in the primary coil and 9000 tums in the secondary coil. If the transformer is 100% efficient and the current in the secondary coil is 0.15A, determine the current in the primary coil. (3 marks)
10. The sharp point of a pin is brought near the cap of a positively charged electroscope. State and explain the observation made on the leaf of the electroscope. (3 marks)
11. Arrange the following radiations in the order of increasing wavelengths;
Purple light, Gamma rays, infrared and ultraviolet.(1 marks)
12. State the purpose of manganese (IV) oxide in a dry cell.(1 mark)
13. State the meaning of the term battery.(1 mark)
14. Figure 3 shows two current-carrying wires A and B passing through a cardboard.

SECTION B (55 marks)
Answer all the questions in this section in the spaces provide.
15. (a) Electrical energy is transmitted at very high voltages and low current.
(i) Describe how the high voltages are attained. (1 mark)
(ii) State two reasons why thick aluminium wires are preferred to copper wires for transmission over long distances. (2 marks)
(b) Figure 4 shows an electric cooker connected to the mains supply. X, Y and Z are the mains wires.

(c) A student has some coloured bulbs rated 60 W, 240 V to be connected for decorations.
(i) State the number of such bulbs that can be connected normally to a 240V supply through a 5A fuse. (2 marks)
(ii) If the cost of electric energy is Ksh 3.00 per kWh, determine the cost of running the bulbs in (c) (i) for 5 hours daily for 20 days. (3 marks)
16. (a) State the meaning of the following terms:
(i) Photoelectric effect(1 marks)
(ii) Threshold frequency(1 marks)
(b) Figure 5 shows some light incident on the cathode of a photocell. The photocell is connected in series with a battery, a variable resistor and a microammeter.

(ii) State the reason why the tube is evacuated. (1 mark)
(c) Figure 6 shows a graph of maximum kinetic energy (KE„„) of photoelectrons against the frequency of the incident radiation.

(i) Plank’s constant h, (3 marks)
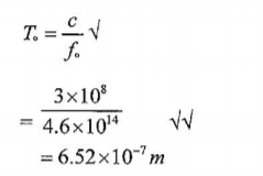
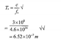
(ii) the threshold wave length k, given that the speed of light C is 3.0 X 10'ms°'. (3 marks)
(c) Figure 6 shows a graph of maximum kinetic energy (KE„„) of photoelectrons against the frequency of the incident radiation.

(i) Plank’s constant h, (3 marks)
(ii) the threshold wavelength k, given that the speed of light C is 3.0 X 10'ms°'. (3 marks)
17. (a) Water waves from a certain source move from the shallow end to the deep end. State the change that occurs at the deep end on the following:
(i) Frequency(1 marks)
(ii) Wavelength(1 marks)
(iii) Velocity(1 marks)
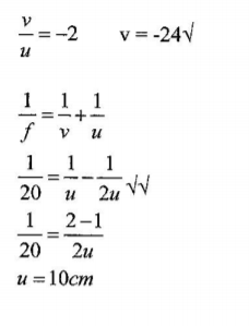
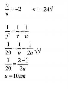
(b) (i) A biconvex lens forms an upright image twice the size of the object. If the focal length of the lens is 20 cm, determine the object distance. (4 marks)
(ii) State two optical instruments which produce a magnified real image using a convex lens. (2 marks)
(c) State one difference between the working of the human eye and the lens of a camera. (1 mark)
(d) A lens of focal length 20 cm forms a virtual image when an object is placed 60 cm from the lens. State with a reason the type of lens used. (2 marks)
18. (a) (i) Draw a circuit diagram showing the depletion layer of a n junction diode connected in the reverse bias mode. (2 marks)
(ii) State the reason why increasing the external voltage in (i) makes the depletion layer wider. (1 mark)
(iii) State the meaning of breakdown voltage of a junction diode. (1 mark)
(iv) State one application of diodes
(b) Figure 7 shows the output on a screen of a CRO when an a.c. signal is connected to the y-plates with the time base on.

(II) peak voltage of the input signal (3 marks)
(ii) State the adjustment that may be made inoder to halve the frequency of the ac. signal(2 marks)
19. Figure 8 shows two waves of nearly equal frequency produced simullaneously.

(b) Figure 9(a) and 9(b) show barriers placed in the path of plane waves.

(c) Figure 10 shows a displacement—distance graph for a certain wave motion. displacement (cm)

(ii) Determine the:(1 marks)
(I) amplitude of the wave(1 marks)
(II) wavelength of the wave(1 marks)
(iii) Given that the frequency of the waves is 50 Hz, determine the:
(I) period (1 marks)
(II) speed of the wave (3 marks)
Questions and Answers
2017 Physics paper 2
1. Explain why the walls of a studio are padded with woollen materials.(2 marks)
2. State one characteristic of soft X-rays that distinguish them from hard X-rays.(1 marks)
3. Figure 1 shows a bar magnet AB suspended by a string.

End B is a south pole.
4. State what happens to the image formed by a pin hole camera when the size of the hole is increased. (1 mark)
The image is blurred.
5. The angle of incident for a ray of light moving from air to a certain liquid is 30°. Given that the refractive index of the liquid is 1.36, determine the angle of refraction. (2 marks)
Sin i = q Sin r Sin30/sinx = 1.36
Sin30/i.36 = Sin x
x = 21.6°
6. An electric kettle is rated 1.8 kW, 240 V. Determine the rating of the fuse that may be used in the kettle. (3 marks)
I = p/v
180/240
= 7.5A
Fuse rating of 8A is suitable.
7. Figure 2 shows the image of an object O placed on the principle axis of a convex mirror.


Spontaneous disintegration of atomic nuclei by emission of radiations.
9. A transformer has 600 turns in the primary coil and 9000 tums in the secondary coil. If the transformer is 100% efficient and the current in the secondary coil is 0.15A, determine the current in the primary coil. (3 marks)

The leaf collapses
— Negative charge is induced on the tip of the pin. Pin repels negatively charged fair ions which discharges the electroscope).
11. Arrange the following radiations in the order of increasing wavelengths; Purple light, Gamma rays, infrared and ultraviolet.(1 marks)
12. State the purpose of manganese (IV) oxide in a dry cell.(1 mark)
13. State the meaning of the term battery.(1 mark)
A battery is a group of cells connected in series or parallel.
14. Figure 3 shows two current-carrying wires A and B passing through a cardboard.


SECTION B (55 marks)
Answer all the questions in this section in the spaces provide.
15. (a) Electrical energy is transmitted at very high voltages and low current.
(i) Describe how the high voltages are attained. (1 mark)
(i) By use of step-up transformers low input voltages are stepped up to high voltages for transmission.
(ii) State two reasons why thick aluminium wires are preferred to copper wires for transmission over long distances. (2 marks)
(b) Figure 4 shows an electric cooker connected to the mains supply. X, Y and Z are the mains wires.

(c) A student has some coloured bulbs rated 60 W, 240 V to be connected for decorations.
(i) State the number of such bulbs that can be connected normally to a 240V supply through a 5 A fuse. (2 marks)
I = P/v
60/240 = 0.25A
No. of bulbs = 20/0.25
=20
(ii) If the cost of electric energy is Ksh 3.00 per kWh, determine the cost of running the bulbs in (c) (i) for 5 hours daily for 20 days. (3 marks)
Cost = Power x time x rate)
60/1000 X 20 x 5 x 20 x 3
= ksh. 360.00
16. (a) State the meaning of the following terms:
(i) Photoelectric effect(1 marks)
The emission of electrons from a metal surface when light/ electromagnetic radiations shine on it.
(ii) Threshold frequency(1 marks)
The minimum frequency of radiation required to eject electrons from a metal surface.
(b) Figure 5 shows some light incident on the cathode of a photocell. The photocell is connected in series with a battery, a variable resistor and a microammeter.

Increased intensity increases the number of electrons emitted( hence a higher current reading on the microammeter.
(ii) State the reason why the tube is evacuated. (1 mark)
To minimize collisions between electrons and air molecules which would cause loss of energy.
From the graph, determine:
(i) Plank’s constant h, (3 marks)


(i) Frequency(1 marks)
(ii) Wavelength(1 marks)
Wavelength increases
(iii) Velocity(1 marks)
(b) (i) A biconvex lens forms an upright image twice the size of the object. If the focal length of the lens is 20 cm, determine the object distance. (4 marks)
Image is virtual hence magnification = —2

(c) State one difference between the working of the human eye and the lens of a camera. (1 mark)
(d) A lens of focal length 20 cm forms a virtual image when an object is placed 60 cm from the lens. State with a reason the type of lens used. (2 marks)
18. (a) (i) Draw a circuit diagram showing the depletion layer of a n junction diode connected in the reverse bias mode. (2 marks)
(c) Figure 6 shows a graph of maximum kinetic energy (KE„„) of photoelectrons against the frequency of the incident radiation.


(iii) State the meaning of breakdown voltage of a junction diode. (1 mark)
(iv) State one application of diodes
(b) Figure 7 shows the output on a screen of a CRO when an a.c. signal is connected to the y-plates with the time base on.

(II) peak voltage of the input signal (3 marks)
(ii) State the adjustment that may be made inoder to halve the frequency of the ac. signal(2 marks)
19. Figure 8 shows two waves of nearly equal frequency produced simullaneously.






(ii) Determine the:(1 marks)
(I) amplitude of the wave(1 marks)
(II) wavelength of the wave(1 marks)
(iii) Given that the frequency of the waves is 50 Hz, determine the:
(I) period (1 marks)
I T =1/f = 1/50
0.2s
(II) speed of the wave (3 marks)
v = fx
=20 x 50
= J 000 ms-1
Secondary School Scholarships in Kenya » Kenya Postgraduate Scholarships » Undergraduate Scholarships for Kenyan Students » Kenya Scholarships for Kenyan Students Studying in Kenya » Kenya Undergraduate Scholarships » The Kenya Youth Education Scholarship Fund - Scholarships Kenya - Scholarships KCSE Results » KCSE Results Top 100 Schools - Kenya Certificate of Secondary Education – KCSE » KCSE Top 100 Candidates » Kenya Certificate of Secondary Education – KCSE » KNEC - Kenya National Examinations Council » Secondary Schools in Kenya » KNEC - Kenya National Examinations Council » Free KNEC KCSE Past Papers
Kenya Scholarships for Undergraduate Students » Kenya Scholarships for Postgraduate Students » Undergraduate Scholarships for Kenyan Students » Kenya Undergraduate Scholarships » Full Undergraduate Scholarships for Kenyans » Kenya Postgraduate Scholarships » Scholarships & Grants » Undergraduate Scholarships » Universities in Kenya » Kenya Universities and Colleges Central Placement Service (KUCCPS) » Colleges in Kenya » KASNEB Registration & Results » Secondary Schools Scholarships in Kenya » Undergraduate & Graduate Scholarships for Kenyans
Powerful Motivational Quotes for Students » Success Quotes for Students » KCSE Motivational Quotes for KCSE Candidates » KCSE Success Quotes for KCSE Candidates
1 a a kcse past papers 2014 kcse marking schemes 2016 kcse papers 2016 kcse prediction questions 2018 kcse exam 2018 kcse questions a a kcse past papers advance-africa.com kcse rev quiz agriculture mock papers agriculture paper 2 questions and answers pdf alliance mocks 2017 ap biology essay questions and answers arabic exam 2016 arabic oral exam questions betrayal in the city essay questions and answers pdf betrayal in the city essay questions with answers betrayal in the city, ,,revision questions biology book 3 klb biology essay questions and answers form 4 biology essay questions and answers form 4 pdf biology essays pdf biology exam questions and answers pdf biology form 2 questions and answers pdf biology form 3 notes pdf biology form 3 questions and answers pdf biology form 3 syllabus biology form three reproduction biology form three-questions and answers biology kcse - kcse biology questions and answers - kcse biology essay questions and answers - kcse biology paper 1 2015 - kcse biology notes - kcse 2015 biology paper 2 - kcse biology practical 2015 - kcse biology practicals - kcse biology 2011
biology kcse 2017 biology kcse questions biology paper 1 questions and answers biology paper 2 questions and answers biology paper 3 questions and answers biology questions and answers for high schools biology questions and answers for high schools pdf biology questions and answers form 2 biology questions and answers multiple choice biology questions and answers on cells biology questions and answers online biology questions and answers pdf biology revision notes form 3 business past kcse past papers c.r.e form one notes pdf cambridge igcse computer science cambridge igcse computer science answers cambridge igcse computer science coursebook pdf download cambridge igcse computer science revision guide pdf cambridge igcse computer science study and revision guide pdf cambridge igcse computer science workbook - free download cambridge igcse computer science workbook pdf caucasian chalk circle essay questions chemistry paper 1 questions and answers chemistry paper 2 questions and answers chemistry paper 3 question and answer chemistry past papers form 1 chemistry past papers form 2 cie past papers computer science 0478 computer science igcse past papers xtremepapers computer science paper 2 2017 computer science past papers a level computer science past papers o level computer studies form 1 questions computer studies form 3 past papers computer studies past papers computer studies questions and answers pdf county mocks 2017 cre form 2 notes pdf cre form 3 notes cre form 3 notes pdf cre form 4 notes cre form 4 notes pdf cre form one notes cre kcse 2016 cre notes cre notes form 2 cre notes pdf cre paper 1 with answers cre paper 2 cre paper 2 topics cre preparation notes cre questions form one cre revision notes cre revision questions and answers download kcse past papers with answers dvance kcse past papers edexcel igcse computer science past papers english paper 3 question paper - 2014 kcse english paper 3 question paper - 2015 kcse english paper 3 question paper - 2016 kcse english paper 3 question paper - 2017 kcse english paper 3 question paper - 2018 kcse essay questions and answers on betrayal in the city essay questions based on betrayal in the city find download kcse past papers with answers - kcse past papers pdf download - kcse 2013 marking scheme - kcse mathematics past papers pdf - free kcse past papers and marking schemes - kcse mock papers pdf - kcse past papers 2014 pdf - kcse past papers 2015 - kcse past papers 2010 find kcse biology essay questions and answers - kcse biology practicals - kcse biology paper 1 2015 - biology essay questions and answers form 4 - kcse biology questions and answers - ap biology essay questions and answers - kcse biology notes - kcse biology paper 2 2012 - kcse biology paper 2 2015
form 2 biology questions and answers free kcse mocks 2015 free kcse past papers - kcse past papers - knec kcse online past papers - knec kcse results past papers free kcse past papers 2014 free kcse past papers kenya, free marking schemes, download ... free kcse past papers with answers free kcse questions and answers on chemistry free revision papers general biology test questions and answers general science questions and answers pdf history and government paper one topics history form one questions and answers pdf history paper 1 questions and answers history paper 2 questions and answers home science past papers igcse computer science book igcse computer science book pdf download igcse computer science notes igcse computer science paper 2 notes igcse computer science past papers igcse computer science past papers 2014 igcse computer science past papers 2017 igcse computer science pdf igcse computer science pre release material 2018 igcse computer science resources igcse computer science revision notes pdf igcse computer science workbook pdf igcse computer studies past papers interesting biology questions ire kcse past papers k.c.s.e cre paper 1 2017 k.c.s.e geography 2017 k.c.s.e mathematics paper 1 2017 k.c.s.e mocks 2018 k.c.s.e past papers 2014 kcpe 2018 predictions kcpe prediction questions kcse 2010 marking scheme kcse 2010 past papers kcse 2011 cre paper 1 kcse 2011 marking scheme kcse 2012 history paper 2 marking scheme kcse 2012 marking schemes kcse 2013 cre paper 1 kcse 2013 marking scheme kcse 2013 marking scheme pdf kcse 2014 kcse 2015 biology paper 2 kcse 2015 biology paper 3 kcse 2015 marking scheme kcse 2015 past papers kcse 2016 agriculture paper 2 kcse 2016 biology paper 1 kcse 2016 biology paper 2 kcse 2016 computer paper 1 kcse 2017 marking scheme kcse 2017 maths paper 1 kcse 2017 papers kcse 2017 papers and marking scheme kcse 2017 past papers kcse 2017 prediction pdf kcse 2018 cre prediction kcse 2018 leakage kcse 2018 marking scheme kcse 2018 papers kcse 2018 predictions kcse 2019 marking scheme kcse agriculture past papers kcse answers kcse arabic paper 1 kcse arabic paper 2 kcse arabic paper 3 kcse arabic paper 3 2016 kcse arabic past papers kcse biology 2011 kcse biology essay questions and answers kcse biology essay questions and answers - kcse revision questions and answers - kcse chemistry questions and answers - kcse revision papers with answers - kcse past papers with answers - download kcse past papers with answers - kcse questions on the river and the source - kcse revision notes
kcse biology essay questions and answers - kcse revision questions and answers - kcse chemistry questions and answers - kcse revision papers with answers - kcse past papers with answers - download kcse past papers with answers - kcse questions on the river and the source - kcse revision notes
kcse biology essay questions and answers pdf kcse biology essays kcse biology essays pdf kcse biology notes kcse biology paper 1 kcse biology paper 1 2017 kcse biology paper 1 2017 pdf kcse biology paper 2 2012 kcse biology paper 2 2015 kcse biology paper 2 2017 kcse biology paper 3 2016 kcse biology paper 3 past papers kcse biology past papers kcse biology past papers and answers kcse biology practical 2016 kcse biology practical past papers kcse biology practicals kcse biology questions and answers kcse biology questions and answers - kcse past papers biology - kcse biology essay questions and answers - kcse chemistry past papers - download kcse past papers with answers - k.c.s.e papers 2015 - k.c.s.e papers 2016 - kcse biology paper 1 2015 - kcse past papers 2015 - kcse past papers 2011 - kcse past papers 2016 - kcse past papers 2017 - 2017 kcse prediction questions - 2018 kcse prediction questions
kcse business paper 1 2016 kcse business past papers kcse business studies past papers kcse chemistry paper 1 2016 kcse chemistry paper 1 2017 kcse chemistry paper 3 2012 kcse chemistry past papers kcse chemistry past papers and answers kcse chemistry practical kcse computer studies paper 1 kcse computer studies paper 2 kcse computer studies paper 2 pdf kcse cre 2016 kcse cre paper 1 2013 kcse cre paper 1 2015 kcse cre paper 1 2016 kcse cre paper 1 2017 kcse cre paper 2 kcse cre paper 2 2016 kcse cre past papers kcse cre past papers and answers kcse english paper 3 2016 kcse english paper 3 2017 kcse essay questions in betrayal in the city kcse exam papers 2018 kcse exam papers answers kcse french paper 1 kcse french paper 2 kcse french past papers kcse general science syllabus kcse geography paper 2 2016 kcse history paper 1 2012 kcse history paper 2 2016 kcse history paper 2 2017 kcse kiswahili paper 1 2017 kcse marking scheme 2016 kcse marking schemes kcse marking schemes 2017 kcse marking schemes pdf kcse mathematics marking schemes kcse mathematics paper 1 2015 kcse mathematics paper 1 2016 kcse mathematics paper 2 2016 kcse mathematics past papers kcse mathematics past papers pdf kcse mock exams kcse mock papers 2015 kcse mock papers 2017 kcse mock papers 2018 kcse mock papers pdf kcse mock papers pdf 2018 kcse mocks 2017 kcse mocks 2018 kcse music past papers kcse online past papers kcse papers 2015 kcse past papers kcse past papers - kcpe and answers - free mocks online - kcse answers past exams question papers - downloads | kcse papers and marking schemes | exams - kcse mathematics paper 1 questions and answers - kcse cre paper 1 questions and answers - knec past papers free downloads - kcse online registration - kcpe - kcse past papers - knec - knec portal - knec past papers for colleges - kasneb - past papers - kasneb past papers for colleges - cpa past papers - https://www.knec.ac.ke/ - www.knec-portal.ac.ke/ - knec portal: kcse results, online registration, kcse result slip. knec portal confirmation - knec portal kcse results - knec examiners portal - knec website kcse past papers - kcpe and answers - free mocks online - kcse answers past exams question papers - downloads | kcse papers and marking schemes | exams - kcse mathematics paper 1 questions and answers - kcse cre paper 1 questions and answers
kcse past papers 2007 kcse past papers 2009 kcse past papers 2010 kcse past papers 2011 kcse past papers 2011 pdf kcse past papers 2012 kcse past papers 2013 kcse past papers 2013 -knec kcse past papers 2014 kcse past papers 2014 pdf kcse past papers 2015 kcse past papers 2015 marking schemes kcse past papers 2015 pdf kcse past papers 2016 kcse past papers 2016 pdf kcse past papers 2017 kcse past papers 2017 pdf kcse past papers agriculture and answers kcse past papers arabic and answers kcse past papers art and design and answers kcse past papers biology kcse past papers building and construction and answers kcse past papers business studies and answers kcse past papers chemistry kcse past papers chemistry and answers kcse past papers chemistry pdf kcse past papers computer studies and answers kcse past papers cre and answers kcse past papers electricity and answers kcse past papers english and answers kcse past papers french and answers kcse past papers general science and answers kcse past papers geography and answers kcse past papers german and answers kcse past papers history and government and answers kcse past papers home science and answers kcse past papers hre and answers kcse past papers ire and answers kcse past papers kenya sign language and answers kcse past papers kiswahili and answers kcse past papers marking scheme kcse past papers maths kcse past papers metal work and answers kcse past papers music and answers kcse past papers pdf download kcse past papers physics and answers kcse past papers physics with answers kcse past papers power mechanics and answers kcse past papers with answers kcse past papers woodwork and answers kcse physics past papers kcse prediction 2017 kcse prediction 2018 kcse prediction 2018 pdf kcse prediction papers 2018 kcse prediction questions 2018 kcse prediction questions and answers kcse questions and answers kcse questions and answers. download free kcse past papers from knec. all marking schemes - questions and answers are sourced from knec. kcse revision kcse revision papers 2014 kcse revision | secondary school | text books | text book centre kcse trial 2017 kcse trial exams 2017 kenyaplex kcse past papers kenyaplex past papers for secondary kiswahili paper 3 questions and answers klb biology form 3 pdf klb cre form 1 klb cre form 3 knec ict past papers knec past papers for colleges knec past papers free download knec past papers pdf knec revision papers knec technical exams past papers kusoma.com past papers maths kcse 2017 mock past papers 2017 mock past papers with answers mokasa mock 2017 page navigation papacambridge computer science igcse past kcse papers past papers in kenya pre mocks 2018 pte knec past papers revision sample essays on betrayal in the city school biology notes school geography notes school physics notes school river and the source themes used in betrayal in the city xtremepapers igcse computer science z notes computer science igcse
Scholarship 2026/27
Current Scholarships 2026/2027 - Fully Funded
Full Undergraduate Scholarships 2026 - 2027
Fully Funded Masters Scholarships 2026 - 27
PhD Scholarships for International Students - Fully Funded!
Funding Opportunities for Journalists 2026/2027
Funding for Entrepreneurs 2026/2027
***