2018 Mathematics Paper 2
Section I (50 marks)
1. Given that 2 log x2+log = k log x, find the value of k. (2 marks)
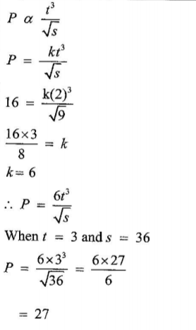
2. A variable P varies directly as t3 and inversely as the square root of s. When t = 2 and s = 9, P = 16. Determine the equation connecting P, t and s, hence find P when s = 36 and t=3. (4 marks)
3. Asia invested some money in a financial institution. The financial institution offered 6% per annum compound interest in the first year and 7% per annum in the second year. At the end of the second year, Asia had Ksh 170 130 in the financial institution. Determine the amount of money Asia invested. (3 marks)
4. The figure below represents a wedge ABCDEF. EF 10 cm, angle FBE 45° and the angle between the planes ABFE and ABCD is 20°.

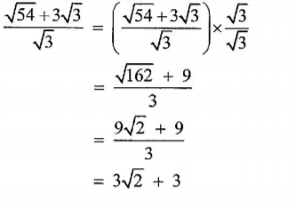
5. Simplify √ 54 + ∛ 3/ √ 3 (2 marks)
6. In the figure below, AB is a tangent to the circle, centre O and radius 6 cm. The arc AC subtends an angle of 60° at the centre of the circle.

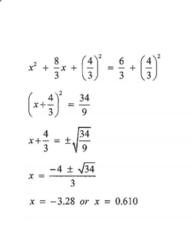
7. Use completing the square method to solve 3x2 + Sx — 6 = 0, correct to 3 significant figures. (3 marks)
8. Three workers, working 8 hours per day can complete a task in 5 days. Each worker is paic Ksh 40 per hour. Calculate the cost of hiring 5 workers if they work for 6 hours per day tc complete the same task. (3 marks)
9. The table below represents a relationship between two variables x and y.
| x | 1 | 2 | 3 | 4 | 5 | 6 |
|---|---|---|---|---|---|---|
| y | 3.5 | 4.5 | 8.0 | 8.5 | 11 | 13 |

10. State the amplitude and the phase angle of the curve y = 2sin x — 30° .(2 marks)
11. The mass, in kilograms, of 9 sheep in a pen were: 13, 8, 16, 17, 19, 20, 15, 14 and 11.
Determine the quartile deviation of the data. (3 marks)
12. The position of two points C and D on the earth’s surface are (8°N, l 0OE) and (8°N, 30°E) respectively. The distance between the two points is 600 nm. Determine the latitude on which C and D lie. (3 marks)
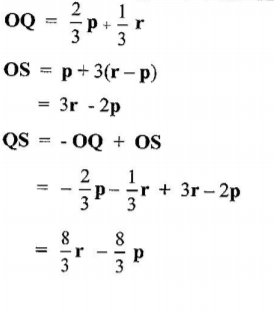
13. In the figure below OP — p, OR = r, PQ:QR = 1:2 and PS = 3PR.

14. In a certain firm there are 6 men and 4 women employees. Two employees are chosen at random to attend a seminar. Determine the probability that a man and a woman are chosen. (3 marks)
15. Under a transformation T = (4 —3) (2 3)
, triangle OAB is mapped onto triangle OA'B' with vertices O(0,0), A’(18,0) and B'(18, 6). Find the area of triangle OAB. (3 marks)
16. Find the value of k if

Answer any 5 questions from this section
17. The 5th and 10th terms of an arithmetic progression are 18 and —2 respectively. (a) Find the common difference and the first term. (4 marks)
(b) Determine the least number of terms which must be added together so that the sum of the progression is negative. Hence find the sum. (6 marks)
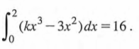
18.Complete the table below for the equation y=x2-4x+2
(2 marks)
| x | 0 | 1 | 2 | 3 | 4 | 5 |
|---|---|---|---|---|---|---|
| y |

(d) By drawing a suitable line, use the graph in (b) to solve the equation A-2 — 5x + 3 = O. (3 marks)
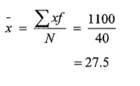
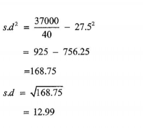
19. (a) The table below shows the frequency distribution of heights of 40 plants in a tree nursery.

(b) Calculate:
(i) the mean height of the plants; (3 marks)
(ii) the standard deviation of the distribution. (4 marks)
(c) Determine the probability that a plant taken at random has a height greater than 40 cm. (2 marks)
20. (a) Using a ruler and a pair of compasses only, construct: (i) a parallelogram ABCD, with line AB below as part of it, such that AD = 7 cm and angle BAD = 600; (3 marks)

(iii) the perpendicular bisector of BC. (1 mark) (b) (i) Mark the point P that lies on DC and is equidistant from AB and AD. (1 mark)
(ii) Measure BP. (1 mark)
(c) Describe the locus that the perpendicular bisector of BC represents. (1 mark)
(d) Calculate the area of trapezium ABCP. (2 marks)
21. The table below shows some values of the curves y = 2 cos x and y = 3 sin x.
(a) Complete the table for values of y = 2 cos x and y = 3 sin x, correct to 1 decimal place. (2 marks)


(d) Use the graph to find the values of y when 2 cos x = 3 sin x. (1 marks)
22. The figure below is a model of a watch tower with a square base of side 10 cm. Height PU is 15 cm and slanting edges UV = TV = SV = RV = 13 cm.

(a) length MP; (2 marks)
(b) the angle between MU and plane MNPQ; (2 marks)
(c) Length of VO; (3 marks)
(d) The angle between planes VST and RSTU; (3 marks)
23. The table below shows monthly income tax rates for a certain year.

(a) Calculate:
(i) Sila’s taxable income;(3 marks)
(ii) the net tax payable by Sila in that month;(5 marks)
(b) In July that year, Sila’s basic salary was raised by 4%. Determine Sila’s net salary in July.(3 marks)
24 A hotel buys beef and mutton daily. The amount of beef bought must be at least 30kg and that of mutton at least 20 kg. The total mass of beef and mutton bought should not exceed 100 kg. The beef is bought at Ksh 360 per kg and the mutton at Ksh 480 per kg.
The amount of money spent on both beef and mutton should not exceed Ksh 43 200 per day. Let x represent the number of kilograms of beef and y the number of kilograms of mutton.
(a) Write the inequalities that represent the above information.(3 marks)
(b) On the grid provided, draw the inequalities in (a) above.(3 marks)

Questions and Answers
2018 Mathematics Paper 2
1. Given that 2 log x2+log = k log x, find the value of k. (2 marks)
2 log x2+log√x=klogx
log(x4x1/2
=logxk
k=1/2
2. A variable P varies directly as t3 and inversely as the square root of s. When t = 2 and s = 9, P = 16. Determine the equation connecting P, t and s, hence find P when s = 36 and t=3. (4 marks)

3. Asia invested some money in a financial institution. The financial institution offered 6% per annum compound interest in the first year and 7% per annum in the second year. At the end of the second year, Asia had Ksh 170 130 in the financial institution. Determine the amount of money Asia invested. (3 marks)
p2=170130
p2=170130/1.07
=Ksh 150000
4. The figure below represents a wedge ABCDEF. EF 10 cm, angle FBE 45° and the angle between the planes ABFE and ABCD is 20°.

BF = 10 B1
Cos 20‘ BC/10
BC=10 Cos 20º
=9.4 cm
5. Simplify √ 54 + ∛ 3/ √ 3 (2 marks)

6. In the figure below, AB is a tangent to the circle, centre O and radius 6 cm. The arc AC subtends an angle of 60° at the centre of the circle.

AB=6tan 60º or OB = 6/cos69
Area of triangle OAB =1/2x60x 6tan 60º
Area of sector OAC=60/360 x π x 62
Area of shaded part = 31.18 —18.85
— 12.3 cm2
7. Use completing the square method to solve 3x2 + Sx — 6 = 0, correct to 3 significant figures.(3 marks)

W : H : D
3 : 5 :x
No. of Days = 5x 8/6x3/5
=4days
cost=5x6x4x40
=Ksh4800
9. The table below represents a relationship between two variables x and y.
| x | 1 | 2 | 3 | 4 | 5 | 6 |
|---|---|---|---|---|---|---|
| y | 3.5 | 4.5 | 8.0 | 8.5 | 11 | 13 |
(a) On the grid provided draw the line of best fit.(3 marks)

When = 0, y = 1
10. State the amplitude and the phase angle of the curve y = 2sin x — 30° .(2 marks)
Amplitude = 2
Phase angle = 30°
11. The mass, in kilograms, of 9 sheep in a pen were: 13, 8, 16, 17, 19, 20, 15, 14 and 11.
Determine the quartile deviation of the data. (3 marks)

Longitude difference = 30 — 10 = 20°
600 — 20 x 60 Cos B
Cos 8 = 0.5
8 = 60°
Latitude = 60°N
13. In the figure below OP — p, OR = r, PQ:QR = 1:2 and PS = 3PR.


P(MW or WM) =6/10 + 4/9 + 4/10 + 6/9
24/90+24/90
=8/15
15. Triangle OAB is mapped onto triangle OA'B' with vertices O(0,0), A’(18,0) and B'(18, 6). Find the area of triangle OAB. (3 marks)



Answer any 5 questions from this section
17. The 5th and 10th terms of an arithmetic progression are 18 and —2 respectively. (a) Find the common difference and the first term. (4 marks)
a + 4d= 18
a + 9d= — 2
5d = —20
a = 34
(b) Determine the least number of terms which must be added together so that the sum of the progression is negative. Hence find the sum. (6 marks)

(2 marks)
| x | 0 | 1 | 2 | 3 | 4 | 5 |
|---|---|---|---|---|---|---|
| y |

x=0.6± 0.05
x=3.4 ± 0.05
(d) By drawing a suitable line, use the graph in (b) to solve the equation A-2 — 5x + 3 = O. (3 marks)

19. (a) The table below shows the frequency distribution of heights of 40 plants in a tree nursery.

Model Class 30 - 40

(i) The mean height of the plants; (3 marks)

(ii) the standard deviation of the distribution. (4 marks)

(c) Determine the probability that a plant taken at random has a height greater than 40 cm. (2 marks)
No. of plants whose height>40 = 4+2=6
p(height>40cm)=6/40=0.15
20. (a) Using a ruler and a pair of compasses only, construct:

(i) a parallelogram ABCD, with line AB below as part of it, such that AD = 7 cm and angle BAD = 600; (3 marks)
Angle bisector of
bisector of BC ✓ drawn
(b) (i) Mark the point P that lies on DC and is equidistant from AB and AD. (1 mark)
Point P identified and ✓ marked on line DC
(ii) Measure BP. (1 mark)
BP = 7 ± O. 1 cm
(c) Describe the locus that the perpendicular bisector of BC represents. (1 mark)
Locus of Points equidistant from B and C
(d) Calculate the area of trapezium ABCP. (2 marks)
21. The table below shows some values of the curves y = 2 cos x and y = 3 sin x.
(a) Complete the table for values of y = 2 cos x and y = 3 sin x, correct to 1 decimal place. (2 marks)
2cosx-3sinx=0
=2cosx=3sinx
x=34° and x=214°
(d) Use the graph to find the values of y when 2 cos x = 3 sin x. (1 marks)
y=1.6 and y = -1.6
22. The figure below is a model of a watch tower with a square base of side 10 cm. Height PU is 15 cm and slanting edges UV = TV = SV = RV = 13 cm.
(a) length MP; (2 marks)
MP2=102+102
MP=√ 200 =14.14
(b) the angle between MU and plane MNPQ; (2 marks)
23. The table below shows monthly income tax rates for a certain year.
(a) Calculate:
Taxable income = 52000 + 7800 + 5000 = Ksh 64800
(i) Sila’s taxable income;(3 marks)
Tax payable 11180x0.1=1118
10534x 0.15 =1580.10
10534 x0.2 = 2106.80
10534x 0.25 = 2633.50
22018x 0.3 = 6605.4
Total tax = 14043.8
(ii) the net tax payable by Sila in that month;(5 marks)
Net tax = 14043.8 —1280 = 12763.8
(b) In July that year, Sila’s basic salary was raised by 4%. Determine Sila’s net salary in July.(3 marks)
Additional tax = 4/100 x 52000 x 0.3 100 = Ksh 624
40 Net salary = 64800 — 12763.8 — 624 + (4/100 x 52 000)
= Ksh 53492.20
24 A hotel buys beef and mutton daily. The amount of beef bought must be at least 30kg and that of mutton at least 20 kg. The total mass of beef and mutton bought should not exceed 100 kg. The beef is bought at Ksh 360 per kg and the mutton at Ksh 480 per kg. The amount of money spent on both beef and mutton should not exceed Ksh 43 200 per day. Let x represent the number of kilograms of beef and y the number of kilograms of mutton.
(a) Write the inequalities that represent the above information.(3 marks)
x≥30; y≥20
x+y=≤100
360x+480≤43200 0r 3x+4y≤360
(b) On the grid provided, draw the inequalities in (a) above.(3 marks)
objective function = 50x+60y
profit=50x60+60x60
=5600
Secondary School Scholarships in Kenya » Kenya Postgraduate Scholarships » Undergraduate Scholarships for Kenyan Students » Kenya Scholarships for Kenyan Students Studying in Kenya » Kenya Undergraduate Scholarships » The Kenya Youth Education Scholarship Fund - Scholarships Kenya - Scholarships
KCSE Results » KCSE Results Top 100 Schools - Kenya Certificate of Secondary Education – KCSE » KCSE Top 100 Candidates » Kenya Certificate of Secondary Education – KCSE » KNEC - Kenya National Examinations Council » Secondary Schools in Kenya » KNEC - Kenya National Examinations Council » Free KNEC KCSE Past Papers
Kenya Scholarships for Undergraduate Students » Kenya Scholarships for Postgraduate Students » Undergraduate Scholarships for Kenyan Students » Kenya Undergraduate Scholarships » Full Undergraduate Scholarships for Kenyans » Kenya Postgraduate Scholarships » Scholarships & Grants » Undergraduate Scholarships » Universities in Kenya » Kenya Universities and Colleges Central Placement Service (KUCCPS) » Colleges in Kenya » KASNEB Registration & Results » Secondary Schools Scholarships in Kenya » Undergraduate & Graduate Scholarships for Kenyans
Powerful Motivational Quotes for Students » Success Quotes for Students » KCSE Motivational Quotes for KCSE Candidates » KCSE Success Quotes for KCSE Candidates
1 a a kcse past papers
2014 kcse marking schemes
2016 kcse papers
2016 kcse prediction questions
2018 kcse exam
2018 kcse questions
a a kcse past papers
advance-africa.com kcse rev quiz
agriculture mock papers
agriculture paper 2 questions and answers pdf
alliance mocks 2017
ap biology essay questions and answers
arabic exam 2016
arabic oral exam questions
betrayal in the city essay questions and answers pdf
betrayal in the city essay questions with answers
betrayal in the city, ,,revision questions
biology book 3 klb
biology essay questions and answers form 4
biology essay questions and answers form 4 pdf
biology essays pdf
biology exam questions and answers pdf
biology form 2 questions and answers pdf
biology form 3 notes pdf
biology form 3 questions and answers pdf
biology form 3 syllabus
biology form three reproduction
biology form three-questions and answers
biology kcse - kcse biology questions and answers - kcse biology essay questions and answers - kcse biology paper 1 2015 - kcse biology notes - kcse 2015 biology paper 2 - kcse biology practical 2015 - kcse biology practicals - kcse biology 2011
biology kcse 2017
biology kcse questions
biology paper 1 questions and answers
biology paper 2 questions and answers
biology paper 3 questions and answers
biology questions and answers for high schools
biology questions and answers for high schools pdf
biology questions and answers form 2
biology questions and answers multiple choice
biology questions and answers on cells
biology questions and answers online
biology questions and answers pdf
biology revision notes form 3
business past kcse past papers
c.r.e form one notes pdf
cambridge igcse computer science
cambridge igcse computer science answers
cambridge igcse computer science coursebook pdf download
cambridge igcse computer science revision guide pdf
cambridge igcse computer science study and revision guide pdf
cambridge igcse computer science workbook - free download
cambridge igcse computer science workbook pdf
caucasian chalk circle essay questions
chemistry paper 1 questions and answers
chemistry paper 2 questions and answers
chemistry paper 3 question and answer
chemistry past papers form 1
chemistry past papers form 2
cie past papers
computer science 0478
computer science igcse past papers xtremepapers
computer science paper 2 2017
computer science past papers a level
computer science past papers o level
computer studies form 1 questions
computer studies form 3 past papers
computer studies past papers
computer studies questions and answers pdf
county mocks 2017
cre form 2 notes pdf
cre form 3 notes
cre form 3 notes pdf
cre form 4 notes
cre form 4 notes pdf
cre form one notes
cre kcse 2016
cre notes
cre notes form 2
cre notes pdf
cre paper 1 with answers
cre paper 2
cre paper 2 topics
cre preparation notes
cre questions form one
cre revision notes
cre revision questions and answers
download kcse past papers with answers
dvance kcse past papers
edexcel igcse computer science past papers
english paper 3 question paper - 2014 kcse
english paper 3 question paper - 2015 kcse
english paper 3 question paper - 2016 kcse
english paper 3 question paper - 2017 kcse
english paper 3 question paper - 2018 kcse
essay questions and answers on betrayal in the city
essay questions based on betrayal in the city
find download kcse past papers with answers - kcse past papers pdf download - kcse 2013 marking scheme - kcse mathematics past papers pdf - free kcse past papers and marking schemes - kcse mock papers pdf - kcse past papers 2014 pdf - kcse past papers 2015 - kcse past papers 2010
find kcse biology essay questions and answers - kcse biology practicals - kcse biology paper 1 2015 - biology essay questions and answers form 4 - kcse biology questions and answers - ap biology essay questions and answers - kcse biology notes - kcse biology paper 2 2012 - kcse biology paper 2 2015
form 2 biology questions and answers
free kcse mocks 2015
free kcse past papers - kcse past papers - knec kcse online past papers - knec kcse results past papers
free kcse past papers 2014
free kcse past papers kenya, free marking schemes, download ...
free kcse past papers with answers
free kcse questions and answers on chemistry
free revision papers
general biology test questions and answers
general science questions and answers pdf
history and government paper one topics
history form one questions and answers pdf
history paper 1 questions and answers
history paper 2 questions and answers
home science past papers
igcse computer science book
igcse computer science book pdf download
igcse computer science notes
igcse computer science paper 2 notes
igcse computer science past papers
igcse computer science past papers 2014
igcse computer science past papers 2017
igcse computer science pdf
igcse computer science pre release material 2018
igcse computer science resources
igcse computer science revision notes pdf
igcse computer science workbook pdf
igcse computer studies past papers
interesting biology questions
ire kcse past papers
k.c.s.e cre paper 1 2017
k.c.s.e geography 2017
k.c.s.e mathematics paper 1 2017
k.c.s.e mocks 2018
k.c.s.e past papers 2014
kcpe 2018 predictions
kcpe prediction questions
kcse 2010 marking scheme
kcse 2010 past papers
kcse 2011 cre paper 1
kcse 2011 marking scheme
kcse 2012 history paper 2 marking scheme
kcse 2012 marking schemes
kcse 2013 cre paper 1
kcse 2013 marking scheme
kcse 2013 marking scheme pdf
kcse 2014
kcse 2015 biology paper 2
kcse 2015 biology paper 3
kcse 2015 marking scheme
kcse 2015 past papers
kcse 2016 agriculture paper 2
kcse 2016 biology paper 1
kcse 2016 biology paper 2
kcse 2016 computer paper 1
kcse 2017 marking scheme
kcse 2017 maths paper 1
kcse 2017 papers
kcse 2017 papers and marking scheme
kcse 2017 past papers
kcse 2017 prediction pdf
kcse 2018 cre prediction
kcse 2018 leakage
kcse 2018 marking scheme
kcse 2018 papers
kcse 2018 predictions
kcse 2019 marking scheme
kcse agriculture past papers
kcse answers
kcse arabic paper 1
kcse arabic paper 2
kcse arabic paper 3
kcse arabic paper 3 2016
kcse arabic past papers
kcse biology 2011
kcse biology essay questions and answers
kcse biology essay questions and answers - kcse revision questions and answers - kcse chemistry questions and answers - kcse revision papers with answers - kcse past papers with answers - download kcse past papers with answers - kcse questions on the river and the source - kcse revision notes
kcse biology essay questions and answers - kcse revision questions and answers - kcse chemistry questions and answers - kcse revision papers with answers - kcse past papers with answers - download kcse past papers with answers - kcse questions on the river and the source - kcse revision notes
kcse biology essay questions and answers pdf
kcse biology essays
kcse biology essays pdf
kcse biology notes
kcse biology paper 1
kcse biology paper 1 2017
kcse biology paper 1 2017 pdf
kcse biology paper 2 2012
kcse biology paper 2 2015
kcse biology paper 2 2017
kcse biology paper 3 2016
kcse biology paper 3 past papers
kcse biology past papers
kcse biology past papers and answers
kcse biology practical 2016
kcse biology practical past papers
kcse biology practicals
kcse biology questions and answers
kcse biology questions and answers - kcse past papers biology - kcse biology essay questions and answers - kcse chemistry past papers - download kcse past papers with answers - k.c.s.e papers 2015 - k.c.s.e papers 2016 - kcse biology paper 1 2015 - kcse past papers 2015 - kcse past papers 2011 - kcse past papers 2016 - kcse past papers 2017 - 2017 kcse prediction questions - 2018 kcse prediction questions
kcse business paper 1 2016
kcse business past papers
kcse business studies past papers
kcse chemistry paper 1 2016
kcse chemistry paper 1 2017
kcse chemistry paper 3 2012
kcse chemistry past papers
kcse chemistry past papers and answers
kcse chemistry practical
kcse computer studies paper 1
kcse computer studies paper 2
kcse computer studies paper 2 pdf
kcse cre 2016
kcse cre paper 1 2013
kcse cre paper 1 2015
kcse cre paper 1 2016
kcse cre paper 1 2017
kcse cre paper 2
kcse cre paper 2 2016
kcse cre past papers
kcse cre past papers and answers
kcse english paper 3 2016
kcse english paper 3 2017
kcse essay questions in betrayal in the city
kcse exam papers 2018
kcse exam papers answers
kcse french paper 1
kcse french paper 2
kcse french past papers
kcse general science syllabus
kcse geography paper 2 2016
kcse history paper 1 2012
kcse history paper 2 2016
kcse history paper 2 2017
kcse kiswahili paper 1 2017
kcse marking scheme 2016
kcse marking schemes
kcse marking schemes 2017
kcse marking schemes pdf
kcse mathematics marking schemes
kcse mathematics paper 1 2015
kcse mathematics paper 1 2016
kcse mathematics paper 2 2016
kcse mathematics past papers
kcse mathematics past papers pdf
kcse mock exams
kcse mock papers 2015
kcse mock papers 2017
kcse mock papers 2018
kcse mock papers pdf
kcse mock papers pdf 2018
kcse mocks 2017
kcse mocks 2018
kcse music past papers
kcse online past papers
kcse papers 2015
kcse past papers
kcse past papers - kcpe and answers - free mocks online - kcse answers past exams question papers - downloads | kcse papers and marking schemes | exams - kcse mathematics paper 1 questions and answers - kcse cre paper 1 questions and answers - knec past papers free downloads - kcse online registration - kcpe - kcse past papers - knec - knec portal - knec past papers for colleges - kasneb - past papers - kasneb past papers for colleges - cpa past papers - https://www.knec.ac.ke/ - www.knec-portal.ac.ke/ - knec portal: kcse results, online registration, kcse result slip. knec portal confirmation - knec portal kcse results - knec examiners portal - knec website
kcse past papers - kcpe and answers - free mocks online - kcse answers past exams question papers - downloads | kcse papers and marking schemes | exams - kcse mathematics paper 1 questions and answers - kcse cre paper 1 questions and answers
kcse past papers 2007
kcse past papers 2009
kcse past papers 2010
kcse past papers 2011
kcse past papers 2011 pdf
kcse past papers 2012
kcse past papers 2013
kcse past papers 2013 -knec
kcse past papers 2014
kcse past papers 2014 pdf
kcse past papers 2015
kcse past papers 2015 marking schemes
kcse past papers 2015 pdf
kcse past papers 2016
kcse past papers 2016 pdf
kcse past papers 2017
kcse past papers 2017 pdf
kcse past papers agriculture and answers
kcse past papers arabic and answers
kcse past papers art and design and answers
kcse past papers biology
kcse past papers building and construction and answers
kcse past papers business studies and answers
kcse past papers chemistry
kcse past papers chemistry and answers
kcse past papers chemistry pdf
kcse past papers computer studies and answers
kcse past papers cre and answers
kcse past papers electricity and answers
kcse past papers english and answers
kcse past papers french and answers
kcse past papers general science and answers
kcse past papers geography and answers
kcse past papers german and answers
kcse past papers history and government and answers
kcse past papers home science and answers
kcse past papers hre and answers
kcse past papers ire and answers
kcse past papers kenya sign language and answers
kcse past papers kiswahili and answers
kcse past papers marking scheme
kcse past papers maths
kcse past papers metal work and answers
kcse past papers music and answers
kcse past papers pdf download
kcse past papers physics and answers
kcse past papers physics with answers
kcse past papers power mechanics and answers
kcse past papers with answers
kcse past papers woodwork and answers
kcse physics past papers
kcse prediction 2017
kcse prediction 2018
kcse prediction 2018 pdf
kcse prediction papers 2018
kcse prediction questions 2018
kcse prediction questions and answers
kcse questions and answers
kcse questions and answers. download free kcse past papers from knec. all marking schemes - questions and answers are sourced from knec.
kcse revision
kcse revision papers 2014
kcse revision | secondary school | text books | text book centre
kcse trial 2017
kcse trial exams 2017
kenyaplex kcse past papers
kenyaplex past papers for secondary
kiswahili paper 3 questions and answers
klb biology form 3 pdf
klb cre form 1
klb cre form 3
knec ict past papers
knec past papers for colleges
knec past papers free download
knec past papers pdf
knec revision papers
knec technical exams past papers
kusoma.com past papers
maths kcse 2017
mock past papers 2017
mock past papers with answers
mokasa mock 2017
page navigation
papacambridge computer science igcse
past kcse papers
past papers in kenya
pre mocks 2018
pte knec past papers
revision
sample essays on betrayal in the city
school biology notes
school geography notes
school physics notes
school river and the source
themes used in betrayal in the city
xtremepapers igcse computer science
z notes computer science igcse
"Pdf" Revision Questions Mathematics Form 1
"Pdf" Revision Questions Mathematics Form 2
"Pdf" Revision Questions Mathematics Form 3
"Pdf" Revision Questions Mathematics Form 4
"Pdf" Revision Questions Mathematics Form Four
"Pdf" Revision Questions Mathematics Form One
"Pdf" Revision Questions Mathematics Form Three
"Pdf" Revision Questions Mathematics Form Two
1 a a KCSE Past Papers
10th Grade Mathematics Questions and Answers
10th Grade Mathematics Test
11th Ncert Mathematics
12th Class Mathematics Book Free Download
2014 KCSE Marking Schemes
2014 Pdf KCSE Past Papers 2015
2015 Mathematics Essay Questions and Answers Form 4
2016 KCSE Papers
2016 KCSE Prediction Questions
2017 Mathematics Hsc Answers
2017 KCSE Prediction Questions
2018 Mathematics KCSE Leakage
2018 Mathematics KCSE Questions
2018 KCSE Busineness Studies
2018 KCSE Exam
2018 KCSE Leakage
2018 KCSE Prediction Questions
2018 KCSE Questions
2019 Mathematics KCSE Leakage
2019 Mathematics KCSE Questions
2019 KCSE Leakage
2019 KCSE Questions
9th Grade Mathematics Study Guide
A a a Mathematics Notes
a a a Mathematics Notes!
a a a MathematicsNotes!
A a KCSE Past Papers
A Biblical View of Social Justice
A Level Mathematics Biological Molecules Questions
A Level Mathematics Exam Questions by Topic
A Level Mathematics Notes Edexcel
A Level Mathematics Notes Xtremepapers
A Level Mathematics Past Papers
A Level Mathematics Questions and Answers
a Level Mathematics Questions and Answers
A Level Mathematics Questions and Answers (Pdf)
A Level Mathematics Questions and Answers Pdf
A Level Mathematics Questions by Topic Kidney Questions With Markschemes
A Level Mathematics Revision
A Level Mathematics Revision Edexcel
A Level Mathematics Revision Guide
A Level Mathematics Revision Notes
A Level Mathematics Revision Notes Pdf
A Level Mathematics Textbook Pdf
A Level Mathematics Year 1 / as Aqa Exam Questions by Topic
A Level Edexcel Notes a* Mathematics
aa Mathematics Form 3 Questions and Answers
Advance KCSE Past Papers
Advance-africa.com KCSE Rev Quiz
Advantages and Disadvantages.
All Mathematics Essays
All Mathematics Notes for Senior Two
All KCSE Past Papers Mathematics With Making Schemes
All Marking Schemes Questions and Answers
All Past K.c.s.e Questions With Answers
Alliance Mocks 2017
Ap Bio Quizzes
Ap Mathematics 1 Textbook Pdf
Ap Mathematics Essay Questions and Answers
Are Sourced From KNEC.
As Level Mathematics Notes
Atika Mathematics Notes
Atika School Mathematics Notes
B/s Book 2 Notes
Basic Mathematics Books Pdf
basic Mathematics Interview Questions and Answers Pdf
Basic Mathematics Interview Questions and Answers Pdf
Basic Mathematics Pdf
Basic Mathematics Questions and Answers
Basic Mathematics Questions and Answers Pdf
Bbc Bitesize Mathematics Ks3
Bihar Board Mathematics Objective Answer 2017
Bihar Board Mathematics Objective Answer 2018
Bio Answers
Bio Quesions
Mathematics 0478
Mathematics 101
Mathematics 12th
Mathematics 12th Class Notes Pdf
Mathematics 2019 Syllabus
Mathematics All KCSE Short Notes
Mathematics Answers
Mathematics Answers Online Free
Mathematics Answers Quizlet
Mathematics Bk 2 Notes
Mathematics Book 1
Mathematics Book 1 Notes
Mathematics Book 2
Mathematics Book 2 Notes
Mathematics Book 3
Mathematics Book 3 KLB
Mathematics Book 3 Notes
Mathematics Book 4
Mathematics Book 4 Notes
Mathematics Book 4 Pdf
Mathematics Book for Class 11
Mathematics Book Four
Mathematics Book Four Notes
Mathematics Book One
Mathematics Book One Notes
Mathematics Book Pdf Free Download
Mathematics Book Three
Mathematics Book Three Notes
Mathematics Book Three Pdf
Mathematics Book Two
Mathematics Book Two Notes
Mathematics Books Form Three
Mathematics Bowl Mathematics Study Guide
Mathematics Bowl Questions Mathematics
Mathematics Bowl Questions Earth Mathematics
Mathematics Bowl Questions Math
Mathematics Bowl Questions Middle School
Mathematics Brekthrough Form Two Notes
Mathematics Class 12 Ncert Solutions
Mathematics Class 12 Pdf
Mathematics Communication Syllabus
Mathematics Diagram Software
Mathematics Diagrams for Class 11
Mathematics Diagrams for Class 12
Mathematics Diagrams for Class 9
Mathematics Diagrams for Class-10
Mathematics Diagrams in Form 1
Mathematics Diagrams in Form 2
Mathematics Diagrams in Form 3
Mathematics Diagrams in Form 4
Mathematics Diagrams Pdf
Mathematics Diagrams to Label
Mathematics Essay Questions and Answers
Mathematics Essay Questions and Answers 2018
Mathematics Essay Questions and Answers Form 1
Mathematics Essay Questions and Answers Form 2
Mathematics Essay Questions and Answers Form 3
Mathematics Essay Questions and Answers Form 4
Mathematics Essay Questions and Answers Form 4 Pdf
Mathematics Essay Questions and Answers Pdf
Mathematics Essay Revision Q
Mathematics Essays and Answers
Mathematics Essays Form One to Form Four
Mathematics Essays Form One to Form Three
Mathematics Essays KCSE
Mathematics Essays Pdf
Mathematics Exam 1 Multiple Choice
Mathematics Exam 2 Advance
Mathematics Exam 2 Test
Mathematics Exam 2016
Mathematics Exam Form Four
Mathematics Exam Form One
Mathematics Exam Form Three
Mathematics Exam Form Two
Mathematics Exam Practice Test
Mathematics Exam Questions
Mathematics Exam Questions and Answers
Mathematics Exam Questions and Answers Pdf
Mathematics Exam Study Guide
Mathematics Exams
Mathematics Excretion Notes
Mathematics Exercise Form 4 With Answers
Mathematics Final Exam Answer Key
Mathematics Final Exam Answer Key 2016
Mathematics Final Exam Answer Key 2017
Mathematics Final Exam Answers 2018
Mathematics Final Exam Answers 2019
Mathematics Final Exam Questions and Answers
Mathematics Fom 1 Notes
Mathematics Fom 2 Notes
Mathematics Fom 3 Notes
Mathematics Fom 4 Notes
Mathematics Form 1
Mathematics Form 1 & 2 and Answers
Mathematics Form 1 and 2 Essays
Mathematics Form 1 and 2 Essays Questions and Answers
Mathematics Form 1 Chapter 1
Mathematics Form 1 Diagrams
Mathematics Form 1 Exams
Mathematics Form 1 Mid Year Exam
Mathematics Form 1 Notes
Mathematics Form 1 Notes and Questions
Mathematics Form 1 Notes Download
Mathematics Form 1 Notes Free Download
Mathematics Form 1 Notes GCSE
Mathematics Form 1 Notes KCSE-kcse
Mathematics Form 1 Notes Pdf
Mathematics Form 1 Notes Pdf Download
Mathematics Form 1 Past Papers
Mathematics Form 1 Pdf
Mathematics Form 1 Pressure
Mathematics Form 1 Question Papers
Mathematics Form 1 Questions
Mathematics Form 1 Questions and Answers
Mathematics Form 1 Questions and Answers Pdf
Mathematics Form 1 Quiz
Mathematics Form 1 Revision Questions
Mathematics Form 1 Summary Notes
Mathematics Form 1 Syllabus
Mathematics Form 1 Work
Mathematics Form 1-4 Notes
Mathematics Form 2
Mathematics Form 2 Chapter 1
Mathematics Form 2 Chapter 2
Mathematics Form 2 Diagrams
Mathematics Form 2 Exam Paper 2014
Mathematics Form 2 Exams
Mathematics Form 2 Notes
Mathematics Form 2 Notes and Questions
Mathematics Form 2 Notes GCSE
Mathematics Form 2 Notes KCSE-kcse
Mathematics Form 2 Notes Pdf
Mathematics Form 2 Notes Pdf Download
Mathematics Form 2 Past Papers
Mathematics Form 2 Pdf
Mathematics Form 2 Question Papers
Mathematics Form 2 Questions
Mathematics Form 2 Questions and Answers
Mathematics Form 2 Questions and Answers Pdf
Mathematics Form 2 Quiz
Mathematics Form 2 Revision Notes
Mathematics Form 2 Salts
Mathematics Form 2 Structure and Bonding
Mathematics Form 2 Summary Notes
Mathematics Form 2 Syllabus
Mathematics Form 2 Work
Mathematics Form 3
Mathematics Form 3 and 4 Essays
Mathematics Form 3 and 4 Essays Questions and Answers
Mathematics Form 3 Chapter 3
Mathematics Form 3 Classification
Mathematics Form 3 Diagrams
Mathematics Form 3 Ecology
Mathematics Form 3 Exams
Mathematics Form 3 Notes
Mathematics Form 3 Notes and Questions
Mathematics Form 3 Notes GCSE
Mathematics Form 3 Notes KCSE-kcse
Mathematics Form 3 Notes Pdf
Mathematics Form 3 Notes Pdf Download
Mathematics Form 3 Notes Topic 1
Mathematics Form 3 Past Papers
Mathematics Form 3 Pdf
Mathematics Form 3 Question Papers
Mathematics Form 3 Questions
Mathematics Form 3 Questions and Answers
Mathematics Form 3 Questions and Answers Pdf
Mathematics Form 3 Questions and Answers Term 3
Mathematics Form 3 Questions and Answers+pdf
Mathematics Form 3 Quiz
Mathematics Form 3 Revision Notes
Mathematics Form 3 Revision Questions
Mathematics Form 3 Summary Notes
Mathematics Form 3 Syllabus
Mathematics Form 3 Syllabus Pdf
Mathematics Form 3 Topics
Mathematics Form 3 Work
Mathematics Form 4
Mathematics Form 4 All Chapter
Mathematics Form 4 Chapter 1 Conversion of Units
Mathematics Form 4 Chapter 1 Exercise
Mathematics Form 4 Chapter 1 Exercise and Answers
Mathematics Form 4 Chapter 1 Exercise Pdf
Mathematics Form 4 Chapter 1 Mind Map
Mathematics Form 4 Chapter 2
Mathematics Form 4 Chapter 2 Exercise and Answers
Mathematics Form 4 Chapter 2 Exercise Pdf
Mathematics Form 4 Chapter 2 Experiment
Mathematics Form 4 Chapter 2 Formula
Mathematics Form 4 Chapter 2 Mind Map
Mathematics Form 4 Chapter 2 Momentum
Mathematics Form 4 Chapter 2 Notes Pdf
Mathematics Form 4 Chapter 2 Objective Questions and Answers
Mathematics Form 4 Chapter 2 Paper 2
Mathematics Form 4 Chapter 2 Slideshare
Mathematics Form 4 Chapter 3
Mathematics Form 4 Chapter 3 Questions and Answers
Mathematics Form 4 Chapter 4
Mathematics Form 4 Chapter 4 Notes Pdf
Mathematics Form 4 Chapter 5 Light Questions and Answers
Mathematics Form 4 Chapter 5 Notes Pdf
Mathematics Form 4 Diagrams
Mathematics Form 4 Exam Paper 1
Mathematics Form 4 Exams
Mathematics Form 4 Exercise
Mathematics Form 4 Exercise Pdf
Mathematics Form 4 Module With Answer
Mathematics Form 4 Note
Mathematics Form 4 Notes
Mathematics Form 4 Notes (Pdf)
Mathematics Form 4 Notes All Chapter Pdf
Mathematics Form 4 Notes and Questions
Mathematics Form 4 Notes Chapter 1
Mathematics Form 4 Notes Chapter 2
Mathematics Form 4 Notes Chapter 3
Mathematics Form 4 Notes Download
Mathematics Form 4 Notes Free Download
Mathematics Form 4 Notes GCSE
Mathematics Form 4 Notes KCSE-kcse
Mathematics Form 4 Notes Pdf
Mathematics Form 4 Notes Pdf Download
Mathematics Form 4 Paper 2 Questions and Answers
Mathematics Form 4 Past Papers
Mathematics Form 4 Question Papers
Mathematics Form 4 Questions
Mathematics Form 4 Questions and Answers
Mathematics Form 4 Questions and Answers Pdf
Mathematics Form 4 Quiz
Mathematics Form 4 Revision Notes
Mathematics Form 4 Schemes of Work
Mathematics Form 4 Summary Notes
Mathematics Form 4 Syllabus
Mathematics Form 4 Textbook Pdf
Mathematics Form 4 Work
Mathematics Form 5 Chapter 1 Exercise and Answers
Mathematics Form 5 Chapter 1 Notes Pdf
Mathematics Form 5 Chapter 2 Notes Pdf
Mathematics Form 5 Chapter 2 Slideshare
Mathematics Form 5 Chapter 3 Notes Pdf
Mathematics Form 5 Notes Pdf
Mathematics Form Four Book
Mathematics Form Four Notes
Mathematics Form Four Notes and Questions
Mathematics Form Four Notes GCSE
Mathematics Form Four Notes Pdf
Mathematics Form Four Past Papers
Mathematics Form Four Questions
Mathematics Form Four Questions and Answers
Mathematics Form Four Questions and Answers Pdf
Mathematics Form Four Quiz
Mathematics Form Four Study Notes
Mathematics Form Four Syllabus
Mathematics Form Four Topic 2
Mathematics Form Four Topic 4
Mathematics Form Four Topics
Mathematics Form Four Work
Mathematics Form One
Mathematics Form One Book
Mathematics Form One Book Pdf
Mathematics Form One Download Topic 1 Upto 3
Mathematics Form One Exam
Mathematics Form One Notes
Mathematics Form One Notes and Questions
Mathematics Form One Notes GCSE
Mathematics Form One Notes Pdf
Mathematics Form One Pdf
Mathematics Form One Questions
Mathematics Form One Questions and Answers
Mathematics Form One Questions and Answers Pdf
Mathematics Form One Questions and Their Answers
Mathematics Form One Quiz
Mathematics Form One Revision Question
Mathematics Form One Schemes of Work
Mathematics Form One Study Notes
Mathematics Form One Syllabus
Mathematics Form One Term Three Test
Mathematics Form One to Three Notes
Mathematics Form One Work
Mathematics Form Three
Mathematics Form Three Book
Mathematics Form Three Notes
Mathematics Form Three Notes and Questions
Mathematics Form Three Notes GCSE
Mathematics Form Three Questions and Answers
Mathematics Form Three Questions and Answers Pdf
Mathematics Form Three Quiz
Mathematics Form Three Reproduction
Mathematics Form Three Reproduction.
Mathematics Form Three Study Notes
Mathematics Form Three Work
Mathematics Form Three-questions and Answers
Mathematics Form Two
Mathematics Form Two Book
Mathematics Form Two Diagrams
Mathematics Form Two Notes
Mathematics Form Two Notes and Questions
Mathematics Form Two Notes GCSE
Mathematics Form Two Notes Pdf
Mathematics Form Two Notes-pdf
Mathematics Form Two Pdf
Mathematics Form Two Questions
Mathematics Form Two Questions and Answers
Mathematics Form Two Questions and Answers Pdf
Mathematics Form Two Quiz
Mathematics Form Two Study Notes
Mathematics Form Two Topics
Mathematics Form Two Work
Mathematics Form Two,schemes of Work
Mathematics Form2
Mathematics Form2 Textbook
Mathematics Game Form Four Question End Answers
Mathematics Grade 10 Exam Papers
Mathematics Hsc Pdf
Mathematics Human Reproduction Video
Mathematics IGCSE Past Papers Xtremepapers
Mathematics K.c.s.e 2017
Mathematics KCSE
Mathematics KCSE 2016
Mathematics KCSE 2017
Mathematics KCSE 2017 Paper 1
Mathematics KCSE Past Papers
Mathematics KCSE Questions
Mathematics KCSE Questions and Answer
Mathematics KCSE Quizzes & Answers
Mathematics KCSE Revision
Mathematics KCSE Revision Notes
Mathematics KCSE Setting Questions Form One and Two
Mathematics Ksce 2015
Mathematics Last Year K.c.s.e Questions
Mathematics Lesson Plan Form Two
Mathematics Made Familiar
Mathematics Mcq for Class 11
Mathematics Mcq for Class 12
Mathematics Mcq for Competitive Exams
Mathematics Mcq for Competitive Exams Pdf
Mathematics Mcq for Neet Pdf
Mathematics Mcq for Ssc
Mathematics Mcq Questions With Answers
Mathematics Mcq With Answers Pdf
Mathematics Mcqs for Class 12 Pdf
Mathematics Mcqs With Answers Pdf
Mathematics Mid Familia Form One
Mathematics Mock Papers
Mathematics Module Form 5
Mathematics Multiple Choice Questions and Answers Cxc
Mathematics Multiple Choice Questions and Answers Pdf
Mathematics Multiple Choice Questions With Answers Pdf
Mathematics Note
Mathematics Note Form Two All Chapters
Mathematics Notes
Mathematics Notes and Guestion and Answear
Mathematics Notes and Syllabus
Mathematics Notes Class 10
Mathematics Notes for Class 11 Pdf
Mathematics Notes for Class 12 Pdf
Mathematics Notes for High School Students
Mathematics Notes for IGCSE 2014
Mathematics Notes Form 1
Mathematics Notes Form 1 4
Mathematics Notes Form 1 Free Download
Mathematics Notes Form 1 KLB
Mathematics Notes Form 1 Pdf
Mathematics Notes Form 1-4
Mathematics Notes Form 1-4(1) Mathematics
Mathematics Notes Form 14
Mathematics Notes Form 2
Mathematics Notes Form 2 KLB
Mathematics Notes Form 2 Pdf
Mathematics Notes Form 2; Mathematics Notes
Mathematics Notes Form 3
Mathematics Notes Form 3 KLB
Mathematics Notes Form 3 Pdf
Mathematics Notes Form 4
Mathematics Notes Form 4 Chapter 2
Mathematics Notes Form 4 KLB
Mathematics Notes Form 4 Pdf
Mathematics Notes Form 4-pdf
Mathematics Notes Form Four
Mathematics Notes Form Four KLB
Mathematics Notes Form Four Pdf
Mathematics Notes Form One
Mathematics Notes Form One KLB
Mathematics Notes Form One Pdf
Mathematics Notes Form One to Form Four
Mathematics Notes Form Three
Mathematics Notes Form Three KLB
Mathematics Notes Form Three Pdf
Mathematics Notes Form Two
Mathematics Notes Form Two KLB
Mathematics Notes Form Two Pdf
Mathematics Notes Form2
Mathematics Notes IGCSE
Mathematics Notes Kenya
Mathematics Notes on Agroforestry
Mathematics Notes Pdf
Mathematics Notes:
Mathematics Objective Answer
Mathematics Objective Answer 2018
Mathematics Objective Questions for Competitive Exams
Mathematics Objective Questions for Competitive Exams Pdf
Mathematics Oral Exam Questions
Mathematics Paper 1
Mathematics Paper 1 2018 Marking Rules
Mathematics Paper 1 Notes
Mathematics Paper 1 Questions
Mathematics Paper 1 Questions and Answers
Mathematics Paper 1 Topics
Mathematics Paper 1 With Answers
Mathematics Paper 2
Mathematics Paper 2 2017
Mathematics Paper 2 2018 Marking Rules
Mathematics Paper 2 Questions and Answers
Mathematics Paper 2 Questions and Answers Pdf
Mathematics Paper 2 Revision
Mathematics Paper 2 Topics
Mathematics Paper 2018
Mathematics Paper 3 2018 Marking Rules
Mathematics Paper 3 Question and Answer
Mathematics Paper 3 Question Paper 2014 KCSE
Mathematics Paper 3 Question Paper 2015 KCSE
Mathematics Paper 3 Question Paper 2016 KCSE
Mathematics Paper 3 Question Paper 2017 KCSE
Mathematics Paper 3 Question Paper 2018 KCSE
Mathematics Paper 3 Questions and Answers
Mathematics Paper One Questions and Answers
Mathematics Paper One Topics
Mathematics Paper Two Qestions With Answers
Mathematics Paper1
Mathematics Paper2
Mathematics Paper3
Mathematics Paper4
Mathematics Past Papers
Mathematics Past Papers 2017
Mathematics Past Papers a Level
Mathematics Past Papers Form 1
Mathematics Past Papers Form 2
Mathematics Past Papers Form 3
Mathematics Past Papers O Level
Mathematics Pdf Download
Mathematics Pp1 KCSE 2016
Mathematics Practical Book Class 12 Pdf
Mathematics Practical Exam
Mathematics Practicals Form One
Mathematics Practicals Questions and Answers
Mathematics Practice Test 9th Grade
Mathematics Practice Test Answers
Mathematics Practice Test Questions and Answers
Mathematics Practice Test Quizlet
Mathematics Predicted Questions This Year KCSE
Mathematics Preparation Notes
Mathematics Pretest High School Pdf
Mathematics Question and Answer With Explanation
Mathematics Question and Answers 2019
Mathematics Question and Answers 2021
Mathematics Question and Answers 2022
Mathematics Question and Answers 2023
Mathematics Question and Answers Note
Mathematics Questions
Mathematics Questions and Answers
Mathematics Questions and Answers for High School
Mathematics Questions and Answers for High Schools
Mathematics Questions and Answers for High Schools Pdf
Mathematics Questions and Answers for Secondary Schools
Mathematics Questions and Answers Form 1
Mathematics Questions and Answers Form 2
Mathematics Questions and Answers Form 3
Mathematics Questions and Answers Form 4
Mathematics Questions and Answers Multiple Choice
Mathematics Questions and Answers Notes
Mathematics Questions and Answers O
Mathematics Questions and Answers Online
Mathematics Questions and Answers Pdf
Mathematics Questions and Answers Pdf for Class 12
Mathematics Questions and Answers Pdf for Competitive Exams
Mathematics Questions and Answers-form 2
Mathematics Questions for High School
Mathematics Questions for High School Students With Answers
Mathematics Questions for Senior 1
Mathematics Questions for Senior 2
Mathematics Questions for Senior 3
Mathematics Questions for Senior 4
Mathematics Questions for Senior 5
Mathematics Questions for Senior 6
Mathematics Questions for Senior Five
Mathematics Questions for Senior Four
Mathematics Questions for Senior One
Mathematics Questions for Senior Six
Mathematics Questions for Senior Three
Mathematics Questions for Senior Two
Mathematics Questions Form One
Mathematics Questions Multiple Choice
Mathematics Questions Quizlet
Mathematics Questions to Ask Your Teacher
Mathematics Quetion and Answer Form Four
Mathematics Quetion and Answer Form One
Mathematics Quetion and Answer Form Three
Mathematics Quetion and Answer Form Two
Mathematics Quiz for Class 9
Mathematics Quiz for Class 9 Mathematics
Mathematics Quiz Questions and Answers for Class 10
Mathematics Quiz Questions and Answers for Class 10 Pdf
Mathematics Quiz Questions and Answers for Class 12
Mathematics Quiz Questions and Answers for Class 9
Mathematics Quiz Questions and Answers for Class 9 Pdf
Mathematics Quiz Questions and Answers for High School
Mathematics Quiz Questions and Answers Multiple Choice
Mathematics Quiz Questions and Answers Pdf
Mathematics Quiz Questions for Class 12
Mathematics Quiz Questions for College Students
Mathematics Quiz With Answers
Mathematics Quiz With Answers Pdf
Mathematics Quizlet
Mathematics Revision
Mathematics Revision a Level
Mathematics Revision Mathematics Notes Mathematics
Mathematics Revision Exam
Mathematics Revision Examination
Mathematics Revision Form One
Mathematics Revision Notes
Mathematics Revision Notes Mathematics
Mathematics Revision Notes Form 1
Mathematics Revision Notes Form 2
Mathematics Revision Notes Form 3
Mathematics Revision Notes Form 4
Mathematics Revision Notes IGCSE
Mathematics Revision Paper One
Mathematics Revision Questions
Mathematics Revision Questions and Answers
Mathematics Revision Questions and Answers Form 1
Mathematics Revision Questions and Answers Form 2
Mathematics Revision Questions and Answers Form 3
Mathematics Revision Questions and Answers Form 4
Mathematics Revision Questions and Answers Form Four
Mathematics Revision Questions and Answers Form One
Mathematics Revision Questions and Answers Form Three
Mathematics Revision Questions and Answers Form Two
Mathematics Revision Questions Form 1
Mathematics Revision Questions Form 2
Mathematics Revision Questions Form 3
Mathematics Revision Questions Form 4
Mathematics Revision Questions Form Four
Mathematics Revision Questions Form One
Mathematics Revision Questions Form Three
Mathematics Revision Questions Form Two
Mathematics Revision Quiz
Mathematics Revision Test
Mathematics Secondary School Revision
Mathematics Simple Notes
Mathematics Spm Notes Download
Mathematics Spm Notes Pdf
Mathematics Spm Questions
Mathematics Study Form 2
Mathematics Study Guide
Mathematics Study Guide Answer Key
Mathematics Study Guide Answers
Mathematics Study Guide Mathematics Questions and Answers
Mathematics Study Guide Ib
Mathematics Study Guide Pdf
Mathematics Study Guides
Mathematics Study Notes
Mathematics Study Notes Materials Form 1 Pdf
Mathematics Study Notes Materials Form 2 3 Pdf
Mathematics Study Notes Materials Form 2 Pdf
Mathematics Study Notes Materials Form 3 Pdf
Mathematics Study Notes Materials Form 4 Pdf
Mathematics Syllabus in Kenya
Mathematics Syllabus Pdf
Mathematics Test 1 Quizlet
Mathematics Test Questions
Mathematics Test Questions and Answers
Mathematics Test Questions and Answers Pdf
Mathematics Topic One Form Four
Mathematics Topics Form One
Mathematics Unit 1 Quiz
Mathematics Vol 3
Mathematics | Revision Mathematics
Mathematics,form 4
Mathematics.form Four.topic Three
MathematicsExam Form Three
MathematicsModule Form 5
MathematicsNotes
MathematicsNotes for Class 11 Pdf
MathematicsNotes for Class 12 Pdf
MathematicsNotes Form 1
MathematicsNotes Form 1 Free Download
MathematicsNotes Form 2
MathematicsNotes Form 3
MathematicsNotes Form 3 Pdf
MathematicsNotes IGCSE
MathematicsNotes Pdf
MathematicsPast Papers
MathematicsQuestions and Answers Pdf
MathematicsSimple Notes
MathematicsSpm Notes Download
MathematicsSpm Notes Pdf
MathematicsSpm Questions
MathematicsStudy Guide Answers
MathematicsStudy Guide Pdf
MathematicsStudy Guides
Blologytextpapers
Bridge Mathematics
Business Past KCSE Past Papers
Mathematics Form 3 Notes Pdf
Mathematics Form 4 Notes Pdf
C R E Form One KLB
C R E Form One Oli Topic
C.r.e Form 1 Notes Kenya
C.r.e Form 2 Notes Kenya
C.r.e Form 3 Notes
C.r.e Form 3 Notes Kenya
C.r.e Form 3 Pdf
C.r.e Form 4 Notes Kenya
C.r.e Form One Notes Pdf
C.r.e Notes Form 1
C.r.e Revision Notes
C.r.e Short Notes
Cambridge IGCSE Mathematics
Cambridge IGCSE Mathematics 3rd Edition
Cambridge IGCSE Mathematics 3rd Edition Plus Cd South Asia Edition
Cambridge IGCSE Mathematics Answers
Cambridge IGCSE Mathematics Coursebook Pdf Download
Cambridge IGCSE Mathematics Practical Workbook
Cambridge IGCSE Mathematics Revision Guide Pdf
Cambridge IGCSE Mathematics Study and Revision Guide 2nd Edition Pdf
Cambridge IGCSE Mathematics Study and Revision Guide Pdf
Cambridge IGCSE Mathematics Workbook Free Download
Cambridge IGCSE Mathematics Workbook Pdf
Cambridge IGCSE® Mathematics Coursebook
Caucasian Chalk Circle Essay Questions
Chapter 1 Introduction to Mathematics
Chapter 1 Introduction to Mathematics Studies
Cie a Level Mathematics Notes 2016
Cie a Level Mathematics Notes Pdf
Cie Past Papers
Class 10 Mathematics Chapter 1 Mcqs
Class 8 Mathematics Notes KCSE-kcse
College Mathematics Notes
College Mathematics Practice Test
College Mathematics Quiz
College Mathematics Quiz Chapter 1
College Mathematics Quizlet
College Mathematics Study Guide
College Mathematics Study Guide Pdf
College Mathematics Test Questions and Answers
College Mathematics Volume 3 Pdf
College MathematicsNotes
Complete Mathematics for Cambridge IGCSE
Complete Mathematics for Cambridge IGCSE Revision Guide Pdf
County Mocks 2017
Cse Past Papers Mathematics 2017
Dl Mathematics Form 3 Pdf Kusoma
Download Mathematics Form 1
Download Mathematics Form 2
Download Mathematics Form 2 Notes
Download Mathematics Form 3
Download Mathematics Form 3 Notes
Download Mathematics Form 4
Download Mathematics Form Four
Download Mathematics Form One
Download Mathematics Form Three
Download Mathematics Form Two
Download Mathematics Notes Form 3
Download Mathematics Notes Form One
Download MathematicsNotes Form 3
Download Form Three Mathematics Notes
Download Free KCSE Past Papers Mathematics
Download Free KCSE Past Papers From KNEC.
Download KCSE Past Papers With Answers
Download KCSE Revision Notes
Download KLB Mathematics Book 2
Download KLB Mathematics Book 3
Download KLB Mathematics Book 4
Download Notes of Mathematics
Downloads | Mathematics | Form Four Exams | Exams
Downloads | Mathematics | Form One Exams | Exams
Downloads | Mathematics | Form Three Exams | Exams
Downloads | Mathematics | Form Two Exams | Exams
Downloads | KCSE Papers and Marking Schemes |
Dvance KCSE Past Papers
Easy Mathematics Questions
Edexcel a Level Mathematics B
Edexcel a Level Mathematics Notes Pdf
Edexcel a Level Mathematics Salters Nuffield
Edexcel A2 Mathematics Notes
Edexcel as Mathematics Revision Guide Pdf
Edexcel Mathematics A2 Revision Notes Pdf
Edexcel Mathematics Unit 2 Revision Notes
Edexcel GCSE Mathematics Revision Guide Pdf
Edexcel IGCSE Mathematics Past Papers
Edexcel IGCSE Mathematics Revision Guide Free Pdf Download
Edexcel IGCSE Mathematics Revision Guide Pdf
Edexcel IGCSE Mathematics Revision Guide Pdf Download
Electronics Form Four Notes
Energy Questions Mathematics Bowl
Essay Questions and Answers KCSE Mathematics Notes
Essay Questions and Answers on Betrayal in the City
Essay Questions Based on Betrayal in the City
Evolving World Mathematics Book 1 Pdf
Evolving World Mathematics Book 4 Notes
Evolving World Mathematics Book Form 1
Evolving World-history Book 3
Exam Notes for Mathematics 101
Exams KCSE Mathematics Paper 1 Questions and Answers
F3 Mathematics Test Paper
Find Download KCSE Past Papers With Answers
Find KCSE Mathematics Essay Questions and Answers
Form 1 Mathematics Exam
Form 1 Mathematics Notes
Form 1 Mathematics Questions and Answers
Form 1 Mathematics Questions and Answers Pdf
Form 1 Mathematics Revision Notes
Form 1 Mathematics Summurized Revision Pdf
Form 1 Mathematics Syllabus
Form 1 Mathematics Test Paper Pdf
Form 1 Mathematics Topics
Form 1 MathematicsNotes
Form 1 MathematicsQuestions and Answers
Form 1 MathematicsRevision Notes
Form 1 MathematicsSyllabus
Form 1 MathematicsTest Paper Pdf
Form 1 Past Papers
Form 1 Past Papers With Answers
Form 1 Revision Papers
Form 1 Subjects in Kenya
Form 2 Mathematics Exam
Form 2 Mathematics Exam Paper
Form 2 Mathematics Exam Paper 2016
Form 2 Mathematics Exam Paper Free Download
Form 2 Mathematics Exam Paper With Answer
Form 2 Mathematics Final Year Exam Paper 2
Form 2 Mathematics Notes
Form 2 Mathematics Notes and Revision Questions
Form 2 Mathematics Notes Pdf
Form 2 Mathematics Past Papers
Form 2 Mathematics Questions
Form 2 Mathematics Questions and Answers
Form 2 Mathematics Questions and Answers >
Form 2 Mathematics Questions and Answers Pdf
Form 2 Mathematics Revision Notes
Form 2 Mathematics Short Notes
Form 2 Mathematics Syllabus
Form 2 MathematicsExam Paper
Form 2 MathematicsExam Paper Free Download
Form 2 MathematicsExam Paper With Answer
Form 2 MathematicsFinal Year Exam Paper 2
Form 2 MathematicsPast Papers
Form 2 MathematicsRevision Notes
Form 2 MathematicsShort Notes
Form 2 MathematicsSyllabus
Form 2 Revision Papers
Form 2 Subjects in Kenya
Form 3 Mathematics Book
Form 3 Mathematics Exam
Form 3 Mathematics Exam Paper
Form 3 Mathematics Notes
Form 3 Mathematics Past Papers
Form 3 Mathematics Questions
Form 3 Mathematics Questions and Answers
Form 3 Mathematics Questions and Answers Pdf
Form 3 Mathematics Revision Notes
Form 3 Mathematics Syllabus
Form 3 MathematicsExam Paper
Form 3 MathematicsNotes
Form 3 MathematicsPast Papers
Form 3 MathematicsQuestions
Form 3 MathematicsQuestions and Answers Pdf
Form 3 MathematicsRevision Notes
Form 3 MathematicsSyllabus
Form 3 C.r.e
Form 3 Notes of Mathematics Topic on Fish
Form 3 Past Papers
Form 3 Revision Papers
Form 3 Subjects in Kenya
Form 4 Mathematics Exam
Form 4 Mathematics Notes
Form 4 Mathematics Notes Pdf
Form 4 Mathematics Questions and Answers
Form 4 Mathematics Questions and Answers Pdf
Form 4 Mathematics Revision Notes
Form 4 Mathematics Syllabus
Form 4 Mathematics Topics
Form 4 MathematicsNotes
Form 4 MathematicsRevision Notes
Form 4 MathematicsSyllabus
Form 4 MathematicsTopics
Form 4 Exam Papers
Form 4 Revision Papers
Form 4 Subjects in Kenya
Form 5 Mathematics Topics
Form 5 MathematicsTopics
Form Five Mathematics Notes
Form Five MathematicsNotes
Form Four Mathematics Book
Form Four Mathematics Notes
Form Four Mathematics Notes Pdf
Form Four Mathematics Questions and Answers
Form Four Mathematics Questions and Answers Pdf
Form Four Mathematics Revision Questions
Form Four Mathematics Syllabus
Form Four Mathematics Topics
Form Four MathematicsNotes
Form Four MathematicsQuestions and Answers
Form Four MathematicsQuestions and Answers Pdf
Form Four MathematicsTopics
Form Four Notes
Form Four Revision Papers
Form Four Subjects in Kenya
Form One Mathematics Book
Form One Mathematics Examination
Form One Mathematics First Topic
Form One Mathematics Lesson Plan
Form One Mathematics Notes Pdf
Form One Mathematics Past Papers Pdf
Form One Mathematics Questions
Form One Mathematics Questions and Answers
Form One Mathematics Questions and Answers Pdf
Form One Mathematics Revision Questions
Form One Mathematics Short Notes
Form One Mathematics Syllabus
Form One Mathematics Topics
Form One MathematicsExamination
Form One MathematicsPast Papers Pdf
Form One MathematicsQuestions and Answers
Form One MathematicsQuestions and Answers Pdf
Form One MathematicsTopics
Form One Exams
Form One Notes of Mathematics
Form One Past Papers
Form One Subjects in Kenya
Form One Term One Mathematics Exam
Form One Term One MathematicsExam
Form Three Mathematics Book
Form Three Mathematics Book Pdf
Form Three Mathematics Notes
Form Three Mathematics Notes Pdf
Form Three Mathematics Questions and Answers
Form Three Mathematics Questions and Answers Pdf
Form Three Mathematics Revision Questions
Form Three Mathematics Syllabus
Form Three Mathematics Topics
Form Three MathematicsNotes
Form Three MathematicsNotes Pdf
Form Three MathematicsQuestions and Answers
Form Three MathematicsQuestions and Answers Pdf
Form Three MathematicsTopics
Form Three Subjects in Kenya
Form Two Mathematics Book
Form Two Mathematics Cat
Form Two Mathematics Examination
Form Two Mathematics Notes
Form Two Mathematics Notes Pdf
Form Two Mathematics Past Papers
Form Two Mathematics Questions and Answers
Form Two Mathematics Questions and Answers Pdf
Form Two Mathematics Revision Questions
Form Two Mathematics Syllabus
Form Two Mathematics Topics
Form Two MathematicsNotes
Form Two MathematicsNotes Pdf
Form Two MathematicsQuestions and Answers
Form Two MathematicsQuestions and Answers Pdf
Form Two MathematicsSyllabus
Form Two MathematicsTopics
Form Two Notes
Form Two Subjects in Kenya
Free a-level Mathematics Revision App | Pass Your Mathematics Exams
Free Mathematics Form 1 Notes
Free Mathematics Notes Form 1
Free Mathematics Notes Pdf
Free MathematicsNotes Pdf
Free College Mathematics Practice Test
Free Form1,form2,form3 Past Papers Free KCSE Past Papers
Free KCSE Mocks 2015
Free KCSE Past Papers 2014
Free KCSE Past Papers KCSE Past
Free KCSE Past Papers Kenya,
Free KCSE Past Papers With Answers
Free KCSE Questions and Answers on Mathematics
Free KCSE Revision Notes
Free Marking Schemes
Free Mocks Online KCSE Answers Past Exams Question Papers
Free Revision Papers
From Three Notes Topic One KLB
Fun Mathematics Questions
Funny Mathematics Questions
Funny Mathematics Questions and Answers
Funny Mathematics Questions to Ask
Funny Mathematics Quotes
GCSE Mathematics Exam Questions and Answers
GCSE Mathematics Past Papers
GCSE Mathematics Revision
GCSE Mathematics Revision Notes
GCSE Mathematics Revision Notes Pdf
GCSE Mathematics Revision Notes Pdf 9-1
GCSE Mathematics Revision Questions and Answers
GCSE Mathematics Textbook Pdf
GCSE Mathematics Topics Pass My Exams: Easy Exam Revision Notes
Home Mathematics Notes Pdf
Home Mathematics Practice Test With Answers
Home Mathematics Quiz
Home Mathematics Quiz Pdf
Home Mathematics Test Questions and Answers
Home Mathematics Test Questions and Answers Pdf
Home Knowledge in Mathematics Human Body
Good Mathematics Questions to Ask
GRE Mathematics Practice Test
GRE Mathematics Subject Test Pdf
Handbook of Mathematics Pdf Free Download
Hard Mathematics Questions
Hard Mathematics Questions and Answers
Hard Mathematics Questions to Ask Your Teacher
Hard Mathematics Quiz Questions
Hard Form 3 Mathematics Question
High School Mathematics Final Exam Doc
High School Mathematics Final Exam Pdf
High School Mathematics Final Exam Questions
High School Mathematics Final Exam Questions and Answers
High School Mathematics Notes
High School Mathematics Practice Test
High School Mathematics Pretest With Answers
High School Mathematics Questions and Answers Pdf
High School Mathematics Study Guide
High School Mathematics Test Questions and Answers Pdf
High School MathematicsNotes
High School MathematicsStudy Guide
How to Answer KCSE Mathematics Question
How to Motivate a Form 4 Student
How to Motivate a KCSE Candidate
How to Motivate a KCSE Student
How to Pass Mathematics Questions & Answers Form 1&2 | Text Book
How to Revise Mathematics
How to Revise Effectively for KCSE
How to Study Mathematics: 5 Study Techniques to Master Mathematics
Hsc Mathematics 2018
Hsc Mathematics 2019
Https://www.knec.ac.ke/ Www.knec-portal.ac.ke/ KNEC Portal:
Ial Mathematics Notes
Ib Mathematics Cold War Notes
Ib Mathematics Notes
Ib Mathematics Notes Pdf
Ib Mathematics of the Americas Notes
Ib Mathematics of the Americas Study Guide
Ib Mathematics Paper 2 Study Guide
Ib Mathematics Question Bank by Topic
Ib Mathematics Study Guide Pdf
Ict Notes Form 1
IGCSE Mathematics Alternative to Practical Revision
IGCSE Mathematics Alternative to Practical Revision Notes
IGCSE Mathematics Book
IGCSE Mathematics Book Pdf Download
IGCSE Mathematics Notes
IGCSE Mathematics Notes 2017 Pdf
IGCSE Mathematics Notes Edexcel
IGCSE Mathematics Paper 2 Notes
IGCSE Mathematics Paper 6 Notes
IGCSE Mathematics Past Papers
IGCSE Mathematics Past Papers 2014
IGCSE Mathematics Past Papers 2017
IGCSE Mathematics Pdf
IGCSE Mathematics Pre Release Material 2018
IGCSE Mathematics Resources
IGCSE Mathematics Revision Guide
IGCSE Mathematics Revision Guide Free Download
IGCSE Mathematics Revision Guide Pdf Download
IGCSE Mathematics Revision Notes Pdf
IGCSE Mathematics Revision Worksheets
IGCSE Mathematics Workbook Pdf
IGCSE Mathematics Znotes
IGCSE MathematicsPast Papers
IGCSE Notes Mathematics
Importance of Agroforestry
Inorganic Mathematics Multiple Choice Questions With Answers Pdf
Inorganic Mathematics Questions and Answers Pdf
Interesting Mathematics Questions
Interesting Mathematics Questions and Answers
Interesting Questions to Ask About Mathematics
Intro to Mathematics Quiz
Introduction of Mathematics Form One
Introduction to Mathematics
Introduction to Mathematics Notes
Introduction to Mathematics Pdf
Introduction to MathematicsNotes
Is Agroforestry Sustainable?
K.c.s.e Answers Mathematics Paper One 2018
K.c.s.e Mathematics 2017
K.c.s.e Mathematics 2018
K.c.s.e Mathematics Paper 1 2017
K.c.s.e Mocks 2018
K.c.s.e Papers 2015
K.c.s.e Papers 2016
K.c.s.e Past Papers 2014
K.c.s.e.Mathematics Paper 2 Year 2018
K.c.s.e.results 2018 for Busia County
K.l.b Mathematics Form 3
K.l.b Mathematics Notes
K.l.b MathematicsNotes
Kasneb Past Papers for Colleges Mathematics Past Papers
KCSE 2010 Marking Scheme
KCSE 2010 Past Papers
KCSE 2011 Mathematics Paper 1
KCSE 2011 Marking Scheme
KCSE 2012 Mathematics Paper 2 Marking Scheme
KCSE 2012 Marking Schemes
KCSE 2013 Mathematics Paper 1
KCSE 2013 Marking Scheme
KCSE 2013 Marking Scheme Pdf
KCSE 2014
KCSE 2015 Mathematics Paper 2
KCSE 2015 Mathematics Paper 3
KCSE 2015 Marking Scheme
KCSE 2015 Past Papers
KCSE 2016 Mathematics Paper 1
KCSE 2016 Mathematics Paper 2
KCSE 2017 Mathematics Paper 1
KCSE 2017 Mathematics Paper 2
KCSE 2017 Hostory Papers With Answers.com
KCSE 2017 Marking Scheme
KCSE 2017 Papers
KCSE 2017 Papers and Marking Scheme
KCSE 2017 Papers Pdf
KCSE 2017 Past Papers
KCSE 2017 Prediction Pdf
KCSE 2018 Mathematics and Answers
KCSE 2018 Mathematics Prediction
KCSE 2018 Leakage
KCSE 2018 Marking Scheme
KCSE 2018 Papers
KCSE 2018 Prediction Pdf
KCSE 2018 Predictions
KCSE 2018 Questions
KCSE 2018 Questions and Answers
KCSE 2019 Leakage Mathematics
KCSE 2019 Marking Scheme
KCSE 2019 Questions
KCSE 2019 Questions and Answers
KCSE 2021 Questions
KCSE 2021 Questions and Answers
KCSE Answers
KCSE Answers Past Exams Question Papers Downloads |
KCSE Mathematics 2011
KCSE Mathematics 2016
KCSE Mathematics Diagramsbiology Revision Tips
KCSE Mathematics Essay Questions and Answers
KCSE Mathematics Essay Questions and Answers Pdf
KCSE Mathematics Essays
KCSE Mathematics Essays Pdf
KCSE Mathematics Marking Schemes
KCSE Mathematics Notes
KCSE Mathematics Notes Pdf
KCSE Mathematics Notes, Syllabus, Questions, Answers
KCSE Mathematics Paper 1
KCSE Mathematics Paper 1 2011
KCSE Mathematics Paper 1 2012
KCSE Mathematics Paper 1 2013
KCSE Mathematics Paper 1 2015
KCSE Mathematics Paper 1 2016
KCSE Mathematics Paper 1 2017
KCSE Mathematics Paper 1 2017 Pdf
KCSE Mathematics Paper 1 Questions and Answers
KCSE Mathematics Paper 2
KCSE Mathematics Paper 2 2012
KCSE Mathematics Paper 2 2012 KCSE Mathematics Paper 2 2015
KCSE Mathematics Paper 2 2013
KCSE Mathematics Paper 2 2014
KCSE Mathematics Paper 2 2015
KCSE Mathematics Paper 2 2016
KCSE Mathematics Paper 2 2017
KCSE Mathematics Paper 3
KCSE Mathematics Paper 3 2012
KCSE Mathematics Paper 3 2016
KCSE Mathematics Paper 3 2017
KCSE Mathematics Paper 3 Past Papers
KCSE Mathematics Past Papers
KCSE Mathematics Past Papers and Answers
KCSE Mathematics Past Papers Pdf
KCSE Mathematics Practical
KCSE Mathematics Practical 2015
KCSE Mathematics Practical 2016
KCSE Mathematics Practical Past Papers
KCSE Mathematics Practicals
KCSE Mathematics Practicals KCSE Mathematics Paper 1
KCSE Mathematics Question and Answer
KCSE Mathematics Questions and Answers
KCSE Mathematics Questions and Answers Ap Mathematics
KCSE Mathematics Revision
KCSE Mathematics Revision Notes
KCSE Mathematics Revision Papers
KCSE Mathematics Revision Questions
KCSE Mathematics Revision Questions and Answers
KCSE Mathematics Syllabus
KCSE MathematicsNotes
KCSE MathematicsPaper 1
KCSE MathematicsPaper 2
KCSE MathematicsPaper 2 Pdf
KCSE MathematicsSyllabus
KCSE Business Paper 1 2016
KCSE Business Past Papers
KCSE Mathematics Past Papers
KCSE Essay Questions in Betrayal in the City
KCSE Essays
KCSE Exam Papers 2018
KCSE Exam Papers Answers
KCSE Form 1 Mathematics Revision
KCSE Form 2 Mathematics Revision
KCSE Form 3 Mathematics Revision
KCSE Form 4 Mathematics Revision
KCSE Form Four Mathematics Revision
KCSE Form One Mathematics Revision
KCSE Form Three Mathematics Revision
KCSE Form Two Mathematics Revision
KCSE KCSE Past Papers KNEC
KCSE Leakage
KCSE Leakage Mathematics
KCSE Made Familiar Mathematics
KCSE Made Familiar Mathematics Pdf
KCSE Marking Scheme 2016
KCSE Marking Schemes
KCSE Marking Schemes 2017
KCSE Marking Schemes Pdf
KCSE Mock Exams
KCSE Mock Papers 2015
KCSE Mock Papers 2017
KCSE Mock Papers 2018
KCSE Mock Papers Pdf
KCSE Mock Papers Pdf 2018
KCSE Mock Papers Pdf KCSE Past Papers
KCSE Mocks 2017
KCSE Mocks 2018
KCSE Notes
KCSE Online Notes
KCSE Online Past Papers
KCSE Online Registration
KCSE Papers 2015
KCSE Papers and Marking Schemes | Exams
KCSE Past Papers
KCSE Past Papers 2007
KCSE Past Papers 2009
KCSE Past Papers 2010
KCSE Past Papers 2011
KCSE Past Papers 2011 Pdf
KCSE Past Papers 2012
KCSE Past Papers 2013
KCSE Past Papers 2013knec
KCSE Past Papers 2014
KCSE Past Papers 2014 Pdf
KCSE Past Papers 2015
KCSE Past Papers 2015 Marking Schemes
KCSE Past Papers 2015 Pdf
KCSE Past Papers 2016
KCSE Past Papers 2016 Pdf
KCSE Past Papers 2017
KCSE Past Papers 2017 Pdf
KCSE Past Papers 2018
KCSE Past Papers Mathematics
KCSE Past Papers Mathematics and Answers
KCSE Past Papers Mathematics Pdf
KCSE Past Papers Mathematics With Answers
KCSE Past Papers Mathematicsand Answers
KCSE Past Papers Mathematics and Answers
KCSE Past Papers KCSE and Answers
KCSE Past Papers KCSE and Answers Free Mocks Online
KCSE Past Papers Marking Scheme
KCSE Past Papers Pdf Download
KCSE Past Papers Pdf Download KCSE 2013
KCSE Past Papers With Answers
KCSE Past Papers Woodwork and Answers
KCSE Prediction 2017
KCSE Prediction 2018
KCSE Prediction 2018 Pdf
KCSE Prediction Papers 2018
KCSE Prediction Questions
KCSE Prediction Questions 2018
KCSE Prediction Questions and Answers
KCSE Questions
KCSE Questions and Answers
KCSE Questions and Answers.
KCSE Questions on Mathematics
KCSE Results, Online Registration, KCSE Result Slip.
KCSE Revision
KCSE Revision Notes
KCSE Revision Notes Mathematics
KCSE Revision Notes Pdf
KCSE Revision Papers
KCSE Revision Papers 2014
KCSE Revision Papers With Answers
KCSE Revision Question for Mathematics
KCSE Revision Questions
KCSE Revision Questions and Answers
KCSE Revision | Secondary School | Text Books | Text Book Centre
KCSE Syllabus Pdf
KCSE Trial 2017
KCSE Trial Exams 2017
Kenya Secondary School Mathematics Syllabus
Kenya Secondary School Mathematics Syllabus Pdf
Kenya Secondary School MathematicsSyllabus Pdf
Kenya Secondary School Syllabus Pdf
Kenya-kcse-christian Religious Education Syllabus
Kenyaplex KCSE Past Papers
Kenyaplex Past Papers for Secondary
KLB Mathematics Book 1 Download
KLB Mathematics Book 1 Notes
KLB Mathematics Book 1 Pdf
KLB Mathematics Book 2
KLB Mathematics Book 2 Notes
KLB Mathematics Book 2 Notes Pdf
KLB Mathematics Book 2 Pdf
KLB Mathematics Book 3 Notes
KLB Mathematics Book 3 Pdf
KLB Mathematics Book 3 Pdf Download
KLB Mathematics Book 4 Notes
KLB Mathematics Book 4 Pdf
KLB Mathematics Book 4 Pdf Download
KLB Mathematics Book 4 Topics
KLB Mathematics Book One
KLB Mathematics Form 1
KLB Mathematics Form 1 Notes
KLB Mathematics Form 1 Pdf
KLB Mathematics Form 2
KLB Mathematics Form 2 Book
KLB Mathematics Form 2 Notes
KLB Mathematics Form 2 Pdf
KLB Mathematics Form 2 Pdf Download
KLB Mathematics Form 2 Schemes of Work
KLB Mathematics Form 3
KLB Mathematics Form 3 Notes
KLB Mathematics Form 3 Notes Pdf
KLB Mathematics Form 3 Pdf
KLB Mathematics Form 3 Pdf Download
KLB Mathematics Form 4
KLB Mathematics Form 4 Notes
KLB Mathematics Form 4 Pdf
KLB Mathematics Form Four
KLB Mathematics Form Four Notes
KLB Mathematics Form One
KLB Mathematics Form One Notes
KLB Mathematics Form Three
KLB Mathematics Form Three Notes
KLB Mathematics Form Two
KLB Mathematics Form Two Notes
KLB Mathematics Notes
KLB Mathematics Notes Form 4
KLB Mathematics Pdf
KLB MathematicsNotes
KLB MathematicsNotes Form 4
KLB MathematicsPdf
KNEC Mathematics Syllabus
KNEC Examiners Portal KNEC Website
KNEC Ict Past Papers
KNEC Past Papers for Colleges
KNEC Past Papers Free Download
KNEC Past Papers Free Downloads
KNEC Past Papers Pdf
KNEC Portal Confirmation
KNEC Portal KCSE Results
KNEC Portal KNEC Past Papers for Colleges Kasneb Past Papers
KNEC Revision Papers
KNEC Technical Exams Past Papers
Kusoma Mathematics Notes
Kusoma Mathematics Notes Pdf
Kusoma Notes Mathematics
Kusoma.co.ke
Kusoma.com Past Papers
Learner Guide for Cambridge IGCSE Mathematics
Longhorn Mathematics Book 3 Pdf
Made Familiar Mathematics
Made Familiar Mathematics Pdf
Made Familiar Mathematics Questions
Maktaba Tetea Notes
Marking Scheme KCSE Mathematics Past Papers
Math Form2 Note
Mcqs About Gaseous Exchange
Middle School Mathematics Bowl Mathematics Questions
Mock Past Papers 2017
Mock Past Papers With Answers
Mokasa Mock 2017
More Than 1800 Mathematics Questions and Answers to Help You Study
Multiple Choice Questions on Mathematics
Necta Mathematics Past Papers
Necta Mathematics Practicals
Necta MathematicsPast Papers
Necta MathematicsPracticals
Necta Form Four Past Papers
Necta Past Papers Form 4
Necta Past Papers Form 4 2016
Necta Past Papers Form Six
Necta Past Papers Form Two
Necta Questions and Answers
Necta Review Questions
Notes Mathematics Form 1
Notes Mathematics Form 2
Notes Mathematics Form 3
Notes Mathematics Form 3 Notes Pdf
Notes Mathematics Form 3 Syllabus
Notes Mathematics Form 4 Syllabus
Notes on Mathematics Studies
Notes Za Mathematics 4m 2
Notes Za Mathematics Form One
Notes Za Mathematics Form Three
O Level Mathematics Practical Experiments
O Level Mathematics Questions and Answers Pdf
Orm Three Mathematics Notes
Page Navigation
Papacambridge Mathematics IGCSE
Papers KNEC KCSE Online Past
Papers KNEC KCSE Results Past Papers
Past KCSE Papers
Past Paper Questions by Topic Mathematics
Past Papers 2014
Past Papers in Kenya
Pdf Mathematics Form 3
Pdf Mathematics Notes
Pdf Mathematics Notes Form 1
Pdf Mathematics Notes Form 2
Pdf Mathematics Notes Form 3
Pdf Mathematics Notes Form 4
Pdf Mathematics Notes Form Four
Pdf Mathematics Notes Form One
Pdf Mathematics Notes Form Three
Pdf Mathematics Notes Form Two
Pdf Form 1 Mathematics Questions and Answers
Pdf Form 2 Mathematics Questions and Answers
Pdf Form 3 Mathematics Questions and Answers
Pdf Form 4 Mathematics Questions and Answers
Pdf Form Four Mathematics Questions and Answers
Pdf Form One Mathematics Questions and Answers
Pdf Form Three Mathematics Questions and Answers
Pdf Form Two Mathematics Questions and Answers
Pdf Free KCSE Past Papers and Marking Schemes
Pdf" Revision Questions Mathematics Form 1
Practical Mathematics Experiments Pdf
Practical Mathematics Question and Answer Pdf
Pre Mocks 2018
Preliminary Mathematics
Primary and Secondary Tillage Implements Ppt
Pte KNEC Past Papers
Questions and Answers Pdf Mathematics Form 1
Questions and Answers Pdf Mathematics Form 2
Questions and Answers Pdf Mathematics Form 3
Questions and Answers Pdf Mathematics Form 4
Questions and Answers Pdf Mathematics Form Four
Questions and Answers Pdf Mathematics Form One
Questions and Answers Pdf Mathematics Form Three
Questions and Answers Pdf Mathematics Form Two
Questions Based to Introduction to Mathematics
Questions on Gaseous Exchange in Humans
Questions on Introduction to Mathematics
Questions to Ask in Mathematics Class
Questions to Confuse Your Mathematics Teacher
Quizlet Mathematics Test
Quizlet Test Questions
Qustions in Mathematics and Answers
Revision
Revision Mathematics Notes and Questions?
Revision Quiz for Mathematics for Form Three
S.1 Mathematics Questions
S.2 Mathematics Questions
S.3 Mathematics Questions
S.4 Mathematics Questions
Sample Essays on Betrayal in the City
School Mathematics Notes
Secondary Mathematics Notes
Secondary Mathematics Notes Pdf
Secondary MathematicsNotes Pdf
Senior 1 Mathematics Notes
Senior 2 Mathematics Notes
Senior 3 Mathematics Notes
Senior 4 Mathematics Notes
Senior 5 Mathematics Notes
Senior 6 Mathematics Notes
Senior Five Mathematics Notes
Senior Four Mathematics Notes
Senior One Mathematics Notes
Senior Six Mathematics Notes
Senior Three Mathematics Notes
Senior Two Mathematics Notes
Simple Scientific Questions
Smart Questions to Ask a Mathematics Teacher
Snab Mathematics Revision Notes
Southwest Mock Paper 2 2016 Mathematics Only
Spm Mathematics Revision Notes
Spm Notes
Success Mathematics Spm Pdf
Success MathematicsSpm Pdf
Summary of Mathematics Form 3
Tahossa Past Papers
To Motivate a Form 4 KCSE Student
To Motivate a Form 4 Student
Topical Revision Material
Tricky Mathematics Questions and Answers
Tricky Mathematics Questions for Adults
Tricky Mathematics Questions With Answers
Tricky Mathematics Quiz Questions
Two Mathematics Revision Questions
University Mathematics Volume 3 Openstax
University Mathematics Volume 3 Pdf
University Mathematics Volume 4 Pdf
Ur Revision Guide IGCSE Mathematics
What Are the Types of Gametes
Working of Excretory System
Www.Mathematics Form One Notes.com
Www.Mathematics From One KLB.com
Www.form 1 Mathematics.com
Www.form 2 Mathematics.com
Www.form 3 Mathematics.com
Www.form 4 Mathematics.com
Www.form Four Mathematics.com
Www.form One Mathematics.com
Www.form Three Mathematics.com
Www.form Two Mathematics.com
Www.kusoma Notes
Www.kusoma Revision Materials
Www.kusoma.co.ke Mathematics Notes
Xtremepapers IGCSE Mathematics
Year 11 Mathematics
Z Notes Mathematics IGCSE
Znotes as Mathematics
"Pdf" Revision Questions Maths Form 1
"Pdf" Revision Questions Maths Form 2
"Pdf" Revision Questions Maths Form 3
"Pdf" Revision Questions Maths Form 4
"Pdf" Revision Questions Maths Form Four
"Pdf" Revision Questions Maths Form One
"Pdf" Revision Questions Maths Form Three
"Pdf" Revision Questions Maths Form Two
1 a a KCSE Past Papers
10th Grade Maths Questions and Answers
10th Grade Maths Test
11th Ncert Maths
12th Class Maths Book Free Download
2014 KCSE Marking Schemes
2014 Pdf KCSE Past Papers 2015
2015 Maths Essay Questions and Answers Form 4
2016 KCSE Papers
2016 KCSE Prediction Questions
2017 Maths Hsc Answers
2017 KCSE Prediction Questions
2018 Maths KCSE Leakage
2018 Maths KCSE Questions
2018 KCSE Busineness Studies
2018 KCSE Exam
2018 KCSE Leakage
2018 KCSE Prediction Questions
2018 KCSE Questions
2019 Maths KCSE Leakage
2019 Maths KCSE Questions
2019 KCSE Leakage
2019 KCSE Questions
9th Grade Maths Study Guide
A a a Maths Notes
a a a Maths Notes!
a a a MathsNotes!
A a KCSE Past Papers
A Biblical View of Social Justice
A Level Maths Biological Molecules Questions
A Level Maths Exam Questions by Topic
A Level Maths Notes Edexcel
A Level Maths Notes Xtremepapers
A Level Maths Past Papers
A Level Maths Questions and Answers
a Level Maths Questions and Answers
A Level Maths Questions and Answers (Pdf)
A Level Maths Questions and Answers Pdf
A Level Maths Questions by Topic Kidney Questions With Markschemes
A Level Maths Revision
A Level Maths Revision Edexcel
A Level Maths Revision Guide
A Level Maths Revision Notes
A Level Maths Revision Notes Pdf
A Level Maths Textbook Pdf
A Level Maths Year 1 / as Aqa Exam Questions by Topic
A Level Edexcel Notes a* Maths
aa Maths Form 3 Questions and Answers
Advance KCSE Past Papers
Advance-africa.com KCSE Rev Quiz
Advantages and Disadvantages.
All Maths Essays
All Maths Notes for Senior Two
All KCSE Past Papers Maths With Making Schemes
All Marking Schemes Questions and Answers
All Past K.c.s.e Questions With Answers
Alliance Mocks 2017
Ap Bio Quizzes
Ap Maths 1 Textbook Pdf
Ap Maths Essay Questions and Answers
Are Sourced From KNEC.
As Level Maths Notes
Atika Maths Notes
Atika School Maths Notes
B/s Book 2 Notes
Basic Maths Books Pdf
basic Maths Interview Questions and Answers Pdf
Basic Maths Interview Questions and Answers Pdf
Basic Maths Pdf
Basic Maths Questions and Answers
Basic Maths Questions and Answers Pdf
Bbc Bitesize Maths Ks3
Bihar Board Maths Objective Answer 2017
Bihar Board Maths Objective Answer 2018
Bio Answers
Bio Quesions
Maths 0478
Maths 101
Maths 12th
Maths 12th Class Notes Pdf
Maths 2019 Syllabus
Maths All KCSE Short Notes
Maths Answers
Maths Answers Online Free
Maths Answers Quizlet
Maths Bk 2 Notes
Maths Book 1
Maths Book 1 Notes
Maths Book 2
Maths Book 2 Notes
Maths Book 3
Maths Book 3 KLB
Maths Book 3 Notes
Maths Book 4
Maths Book 4 Notes
Maths Book 4 Pdf
Maths Book for Class 11
Maths Book Four
Maths Book Four Notes
Maths Book One
Maths Book One Notes
Maths Book Pdf Free Download
Maths Book Three
Maths Book Three Notes
Maths Book Three Pdf
Maths Book Two
Maths Book Two Notes
Maths Books Form Three
Maths Bowl Maths Study Guide
Maths Bowl Questions Maths
Maths Bowl Questions Earth Maths
Maths Bowl Questions Math
Maths Bowl Questions Middle School
Maths Brekthrough Form Two Notes
Maths Class 12 Ncert Solutions
Maths Class 12 Pdf
Maths Communication Syllabus
Maths Diagram Software
Maths Diagrams for Class 11
Maths Diagrams for Class 12
Maths Diagrams for Class 9
Maths Diagrams for Class-10
Maths Diagrams in Form 1
Maths Diagrams in Form 2
Maths Diagrams in Form 3
Maths Diagrams in Form 4
Maths Diagrams Pdf
Maths Diagrams to Label
Maths Essay Questions and Answers
Maths Essay Questions and Answers 2018
Maths Essay Questions and Answers Form 1
Maths Essay Questions and Answers Form 2
Maths Essay Questions and Answers Form 3
Maths Essay Questions and Answers Form 4
Maths Essay Questions and Answers Form 4 Pdf
Maths Essay Questions and Answers Pdf
Maths Essay Revision Q
Maths Essays and Answers
Maths Essays Form One to Form Four
Maths Essays Form One to Form Three
Maths Essays KCSE
Maths Essays Pdf
Maths Exam 1 Multiple Choice
Maths Exam 2 Advance
Maths Exam 2 Test
Maths Exam 2016
Maths Exam Form Four
Maths Exam Form One
Maths Exam Form Three
Maths Exam Form Two
Maths Exam Practice Test
Maths Exam Questions
Maths Exam Questions and Answers
Maths Exam Questions and Answers Pdf
Maths Exam Study Guide
Maths Exams
Maths Excretion Notes
Maths Exercise Form 4 With Answers
Maths Final Exam Answer Key
Maths Final Exam Answer Key 2016
Maths Final Exam Answer Key 2017
Maths Final Exam Answers 2018
Maths Final Exam Answers 2019
Maths Final Exam Questions and Answers
Maths Fom 1 Notes
Maths Fom 2 Notes
Maths Fom 3 Notes
Maths Fom 4 Notes
Maths Form 1
Maths Form 1 & 2 and Answers
Maths Form 1 and 2 Essays
Maths Form 1 and 2 Essays Questions and Answers
Maths Form 1 Chapter 1
Maths Form 1 Diagrams
Maths Form 1 Exams
Maths Form 1 Mid Year Exam
Maths Form 1 Notes
Maths Form 1 Notes and Questions
Maths Form 1 Notes Download
Maths Form 1 Notes Free Download
Maths Form 1 Notes GCSE
Maths Form 1 Notes KCSE-kcse
Maths Form 1 Notes Pdf
Maths Form 1 Notes Pdf Download
Maths Form 1 Past Papers
Maths Form 1 Pdf
Maths Form 1 Pressure
Maths Form 1 Question Papers
Maths Form 1 Questions
Maths Form 1 Questions and Answers
Maths Form 1 Questions and Answers Pdf
Maths Form 1 Quiz
Maths Form 1 Revision Questions
Maths Form 1 Summary Notes
Maths Form 1 Syllabus
Maths Form 1 Work
Maths Form 1-4 Notes
Maths Form 2
Maths Form 2 Chapter 1
Maths Form 2 Chapter 2
Maths Form 2 Diagrams
Maths Form 2 Exam Paper 2014
Maths Form 2 Exams
Maths Form 2 Notes
Maths Form 2 Notes and Questions
Maths Form 2 Notes GCSE
Maths Form 2 Notes KCSE-kcse
Maths Form 2 Notes Pdf
Maths Form 2 Notes Pdf Download
Maths Form 2 Past Papers
Maths Form 2 Pdf
Maths Form 2 Question Papers
Maths Form 2 Questions
Maths Form 2 Questions and Answers
Maths Form 2 Questions and Answers Pdf
Maths Form 2 Quiz
Maths Form 2 Revision Notes
Maths Form 2 Salts
Maths Form 2 Structure and Bonding
Maths Form 2 Summary Notes
Maths Form 2 Syllabus
Maths Form 2 Work
Maths Form 3
Maths Form 3 and 4 Essays
Maths Form 3 and 4 Essays Questions and Answers
Maths Form 3 Chapter 3
Maths Form 3 Classification
Maths Form 3 Diagrams
Maths Form 3 Ecology
Maths Form 3 Exams
Maths Form 3 Notes
Maths Form 3 Notes and Questions
Maths Form 3 Notes GCSE
Maths Form 3 Notes KCSE-kcse
Maths Form 3 Notes Pdf
Maths Form 3 Notes Pdf Download
Maths Form 3 Notes Topic 1
Maths Form 3 Past Papers
Maths Form 3 Pdf
Maths Form 3 Question Papers
Maths Form 3 Questions
Maths Form 3 Questions and Answers
Maths Form 3 Questions and Answers Pdf
Maths Form 3 Questions and Answers Term 3
Maths Form 3 Questions and Answers+pdf
Maths Form 3 Quiz
Maths Form 3 Revision Notes
Maths Form 3 Revision Questions
Maths Form 3 Summary Notes
Maths Form 3 Syllabus
Maths Form 3 Syllabus Pdf
Maths Form 3 Topics
Maths Form 3 Work
Maths Form 4
Maths Form 4 All Chapter
Maths Form 4 Chapter 1 Conversion of Units
Maths Form 4 Chapter 1 Exercise
Maths Form 4 Chapter 1 Exercise and Answers
Maths Form 4 Chapter 1 Exercise Pdf
Maths Form 4 Chapter 1 Mind Map
Maths Form 4 Chapter 2
Maths Form 4 Chapter 2 Exercise and Answers
Maths Form 4 Chapter 2 Exercise Pdf
Maths Form 4 Chapter 2 Experiment
Maths Form 4 Chapter 2 Formula
Maths Form 4 Chapter 2 Mind Map
Maths Form 4 Chapter 2 Momentum
Maths Form 4 Chapter 2 Notes Pdf
Maths Form 4 Chapter 2 Objective Questions and Answers
Maths Form 4 Chapter 2 Paper 2
Maths Form 4 Chapter 2 Slideshare
Maths Form 4 Chapter 3
Maths Form 4 Chapter 3 Questions and Answers
Maths Form 4 Chapter 4
Maths Form 4 Chapter 4 Notes Pdf
Maths Form 4 Chapter 5 Light Questions and Answers
Maths Form 4 Chapter 5 Notes Pdf
Maths Form 4 Diagrams
Maths Form 4 Exam Paper 1
Maths Form 4 Exams
Maths Form 4 Exercise
Maths Form 4 Exercise Pdf
Maths Form 4 Module With Answer
Maths Form 4 Note
Maths Form 4 Notes
Maths Form 4 Notes (Pdf)
Maths Form 4 Notes All Chapter Pdf
Maths Form 4 Notes and Questions
Maths Form 4 Notes Chapter 1
Maths Form 4 Notes Chapter 2
Maths Form 4 Notes Chapter 3
Maths Form 4 Notes Download
Maths Form 4 Notes Free Download
Maths Form 4 Notes GCSE
Maths Form 4 Notes KCSE-kcse
Maths Form 4 Notes Pdf
Maths Form 4 Notes Pdf Download
Maths Form 4 Paper 2 Questions and Answers
Maths Form 4 Past Papers
Maths Form 4 Question Papers
Maths Form 4 Questions
Maths Form 4 Questions and Answers
Maths Form 4 Questions and Answers Pdf
Maths Form 4 Quiz
Maths Form 4 Revision Notes
Maths Form 4 Schemes of Work
Maths Form 4 Summary Notes
Maths Form 4 Syllabus
Maths Form 4 Textbook Pdf
Maths Form 4 Work
Maths Form 5 Chapter 1 Exercise and Answers
Maths Form 5 Chapter 1 Notes Pdf
Maths Form 5 Chapter 2 Notes Pdf
Maths Form 5 Chapter 2 Slideshare
Maths Form 5 Chapter 3 Notes Pdf
Maths Form 5 Notes Pdf
Maths Form Four Book
Maths Form Four Notes
Maths Form Four Notes and Questions
Maths Form Four Notes GCSE
Maths Form Four Notes Pdf
Maths Form Four Past Papers
Maths Form Four Questions
Maths Form Four Questions and Answers
Maths Form Four Questions and Answers Pdf
Maths Form Four Quiz
Maths Form Four Study Notes
Maths Form Four Syllabus
Maths Form Four Topic 2
Maths Form Four Topic 4
Maths Form Four Topics
Maths Form Four Work
Maths Form One
Maths Form One Book
Maths Form One Book Pdf
Maths Form One Download Topic 1 Upto 3
Maths Form One Exam
Maths Form One Notes
Maths Form One Notes and Questions
Maths Form One Notes GCSE
Maths Form One Notes Pdf
Maths Form One Pdf
Maths Form One Questions
Maths Form One Questions and Answers
Maths Form One Questions and Answers Pdf
Maths Form One Questions and Their Answers
Maths Form One Quiz
Maths Form One Revision Question
Maths Form One Schemes of Work
Maths Form One Study Notes
Maths Form One Syllabus
Maths Form One Term Three Test
Maths Form One to Three Notes
Maths Form One Work
Maths Form Three
Maths Form Three Book
Maths Form Three Notes
Maths Form Three Notes and Questions
Maths Form Three Notes GCSE
Maths Form Three Questions and Answers
Maths Form Three Questions and Answers Pdf
Maths Form Three Quiz
Maths Form Three Reproduction
Maths Form Three Reproduction.
Maths Form Three Study Notes
Maths Form Three Work
Maths Form Three-questions and Answers
Maths Form Two
Maths Form Two Book
Maths Form Two Diagrams
Maths Form Two Notes
Maths Form Two Notes and Questions
Maths Form Two Notes GCSE
Maths Form Two Notes Pdf
Maths Form Two Notes-pdf
Maths Form Two Pdf
Maths Form Two Questions
Maths Form Two Questions and Answers
Maths Form Two Questions and Answers Pdf
Maths Form Two Quiz
Maths Form Two Study Notes
Maths Form Two Topics
Maths Form Two Work
Maths Form Two,schemes of Work
Maths Form2
Maths Form2 Textbook
Maths Game Form Four Question End Answers
Maths Grade 10 Exam Papers
Maths Hsc Pdf
Maths Human Reproduction Video
Maths IGCSE Past Papers Xtremepapers
Maths K.c.s.e 2017
Maths KCSE
Maths KCSE 2016
Maths KCSE 2017
Maths KCSE 2017 Paper 1
Maths KCSE Past Papers
Maths KCSE Questions
Maths KCSE Questions and Answer
Maths KCSE Quizzes & Answers
Maths KCSE Revision
Maths KCSE Revision Notes
Maths KCSE Setting Questions Form One and Two
Maths Ksce 2015
Maths Last Year K.c.s.e Questions
Maths Lesson Plan Form Two
Maths Made Familiar
Maths Mcq for Class 11
Maths Mcq for Class 12
Maths Mcq for Competitive Exams
Maths Mcq for Competitive Exams Pdf
Maths Mcq for Neet Pdf
Maths Mcq for Ssc
Maths Mcq Questions With Answers
Maths Mcq With Answers Pdf
Maths Mcqs for Class 12 Pdf
Maths Mcqs With Answers Pdf
Maths Mid Familia Form One
Maths Mock Papers
Maths Module Form 5
Maths Multiple Choice Questions and Answers Cxc
Maths Multiple Choice Questions and Answers Pdf
Maths Multiple Choice Questions With Answers Pdf
Maths Note
Maths Note Form Two All Chapters
Maths Notes
Maths Notes and Guestion and Answear
Maths Notes and Syllabus
Maths Notes Class 10
Maths Notes for Class 11 Pdf
Maths Notes for Class 12 Pdf
Maths Notes for High School Students
Maths Notes for IGCSE 2014
Maths Notes Form 1
Maths Notes Form 1 4
Maths Notes Form 1 Free Download
Maths Notes Form 1 KLB
Maths Notes Form 1 Pdf
Maths Notes Form 1-4
Maths Notes Form 1-4(1) Maths
Maths Notes Form 14
Maths Notes Form 2
Maths Notes Form 2 KLB
Maths Notes Form 2 Pdf
Maths Notes Form 2; Maths Notes
Maths Notes Form 3
Maths Notes Form 3 KLB
Maths Notes Form 3 Pdf
Maths Notes Form 4
Maths Notes Form 4 Chapter 2
Maths Notes Form 4 KLB
Maths Notes Form 4 Pdf
Maths Notes Form 4-pdf
Maths Notes Form Four
Maths Notes Form Four KLB
Maths Notes Form Four Pdf
Maths Notes Form One
Maths Notes Form One KLB
Maths Notes Form One Pdf
Maths Notes Form One to Form Four
Maths Notes Form Three
Maths Notes Form Three KLB
Maths Notes Form Three Pdf
Maths Notes Form Two
Maths Notes Form Two KLB
Maths Notes Form Two Pdf
Maths Notes Form2
Maths Notes IGCSE
Maths Notes Kenya
Maths Notes on Agroforestry
Maths Notes Pdf
Maths Notes:
Maths Objective Answer
Maths Objective Answer 2018
Maths Objective Questions for Competitive Exams
Maths Objective Questions for Competitive Exams Pdf
Maths Oral Exam Questions
Maths Paper 1
Maths Paper 1 2018 Marking Rules
Maths Paper 1 Notes
Maths Paper 1 Questions
Maths Paper 1 Questions and Answers
Maths Paper 1 Topics
Maths Paper 1 With Answers
Maths Paper 2
Maths Paper 2 2017
Maths Paper 2 2018 Marking Rules
Maths Paper 2 Questions and Answers
Maths Paper 2 Questions and Answers Pdf
Maths Paper 2 Revision
Maths Paper 2 Topics
Maths Paper 2018
Maths Paper 3 2018 Marking Rules
Maths Paper 3 Question and Answer
Maths Paper 3 Question Paper 2014 KCSE
Maths Paper 3 Question Paper 2015 KCSE
Maths Paper 3 Question Paper 2016 KCSE
Maths Paper 3 Question Paper 2017 KCSE
Maths Paper 3 Question Paper 2018 KCSE
Maths Paper 3 Questions and Answers
Maths Paper One Questions and Answers
Maths Paper One Topics
Maths Paper Two Qestions With Answers
Maths Paper1
Maths Paper2
Maths Paper3
Maths Paper4
Maths Past Papers
Maths Past Papers 2017
Maths Past Papers a Level
Maths Past Papers Form 1
Maths Past Papers Form 2
Maths Past Papers Form 3
Maths Past Papers O Level
Maths Pdf Download
Maths Pp1 KCSE 2016
Maths Practical Book Class 12 Pdf
Maths Practical Exam
Maths Practicals Form One
Maths Practicals Questions and Answers
Maths Practice Test 9th Grade
Maths Practice Test Answers
Maths Practice Test Questions and Answers
Maths Practice Test Quizlet
Maths Predicted Questions This Year KCSE
Maths Preparation Notes
Maths Pretest High School Pdf
Maths Question and Answer With Explanation
Maths Question and Answers 2019
Maths Question and Answers 2021
Maths Question and Answers 2022
Maths Question and Answers 2023
Maths Question and Answers Note
Maths Questions
Maths Questions and Answers
Maths Questions and Answers for High School
Maths Questions and Answers for High Schools
Maths Questions and Answers for High Schools Pdf
Maths Questions and Answers for Secondary Schools
Maths Questions and Answers Form 1
Maths Questions and Answers Form 2
Maths Questions and Answers Form 3
Maths Questions and Answers Form 4
Maths Questions and Answers Multiple Choice
Maths Questions and Answers Notes
Maths Questions and Answers O
Maths Questions and Answers Online
Maths Questions and Answers Pdf
Maths Questions and Answers Pdf for Class 12
Maths Questions and Answers Pdf for Competitive Exams
Maths Questions and Answers-form 2
Maths Questions for High School
Maths Questions for High School Students With Answers
Maths Questions for Senior 1
Maths Questions for Senior 2
Maths Questions for Senior 3
Maths Questions for Senior 4
Maths Questions for Senior 5
Maths Questions for Senior 6
Maths Questions for Senior Five
Maths Questions for Senior Four
Maths Questions for Senior One
Maths Questions for Senior Six
Maths Questions for Senior Three
Maths Questions for Senior Two
Maths Questions Form One
Maths Questions Multiple Choice
Maths Questions Quizlet
Maths Questions to Ask Your Teacher
Maths Quetion and Answer Form Four
Maths Quetion and Answer Form One
Maths Quetion and Answer Form Three
Maths Quetion and Answer Form Two
Maths Quiz for Class 9
Maths Quiz for Class 9 Maths
Maths Quiz Questions and Answers for Class 10
Maths Quiz Questions and Answers for Class 10 Pdf
Maths Quiz Questions and Answers for Class 12
Maths Quiz Questions and Answers for Class 9
Maths Quiz Questions and Answers for Class 9 Pdf
Maths Quiz Questions and Answers for High School
Maths Quiz Questions and Answers Multiple Choice
Maths Quiz Questions and Answers Pdf
Maths Quiz Questions for Class 12
Maths Quiz Questions for College Students
Maths Quiz With Answers
Maths Quiz With Answers Pdf
Maths Quizlet
Maths Revision
Maths Revision a Level
Maths Revision Maths Notes Maths
Maths Revision Exam
Maths Revision Examination
Maths Revision Form One
Maths Revision Notes
Maths Revision Notes Maths
Maths Revision Notes Form 1
Maths Revision Notes Form 2
Maths Revision Notes Form 3
Maths Revision Notes Form 4
Maths Revision Notes IGCSE
Maths Revision Paper One
Maths Revision Questions
Maths Revision Questions and Answers
Maths Revision Questions and Answers Form 1
Maths Revision Questions and Answers Form 2
Maths Revision Questions and Answers Form 3
Maths Revision Questions and Answers Form 4
Maths Revision Questions and Answers Form Four
Maths Revision Questions and Answers Form One
Maths Revision Questions and Answers Form Three
Maths Revision Questions and Answers Form Two
Maths Revision Questions Form 1
Maths Revision Questions Form 2
Maths Revision Questions Form 3
Maths Revision Questions Form 4
Maths Revision Questions Form Four
Maths Revision Questions Form One
Maths Revision Questions Form Three
Maths Revision Questions Form Two
Maths Revision Quiz
Maths Revision Test
Maths Secondary School Revision
Maths Simple Notes
Maths Spm Notes Download
Maths Spm Notes Pdf
Maths Spm Questions
Maths Study Form 2
Maths Study Guide
Maths Study Guide Answer Key
Maths Study Guide Answers
Maths Study Guide Maths Questions and Answers
Maths Study Guide Ib
Maths Study Guide Pdf
Maths Study Guides
Maths Study Notes
Maths Study Notes Materials Form 1 Pdf
Maths Study Notes Materials Form 2 3 Pdf
Maths Study Notes Materials Form 2 Pdf
Maths Study Notes Materials Form 3 Pdf
Maths Study Notes Materials Form 4 Pdf
Maths Syllabus in Kenya
Maths Syllabus Pdf
Maths Test 1 Quizlet
Maths Test Questions
Maths Test Questions and Answers
Maths Test Questions and Answers Pdf
Maths Topic One Form Four
Maths Topics Form One
Maths Unit 1 Quiz
Maths Vol 3
Maths | Revision Maths
Maths,form 4
Maths.form Four.topic Three
MathsExam Form Three
MathsModule Form 5
MathsNotes
MathsNotes for Class 11 Pdf
MathsNotes for Class 12 Pdf
MathsNotes Form 1
MathsNotes Form 1 Free Download
MathsNotes Form 2
MathsNotes Form 3
MathsNotes Form 3 Pdf
MathsNotes IGCSE
MathsNotes Pdf
MathsPast Papers
MathsQuestions and Answers Pdf
MathsSimple Notes
MathsSpm Notes Download
MathsSpm Notes Pdf
MathsSpm Questions
MathsStudy Guide Answers
MathsStudy Guide Pdf
MathsStudy Guides
Blologytextpapers
Bridge Maths
Business Past KCSE Past Papers
Maths Form 3 Notes Pdf
Maths Form 4 Notes Pdf
C R E Form One KLB
C R E Form One Oli Topic
C.r.e Form 1 Notes Kenya
C.r.e Form 2 Notes Kenya
C.r.e Form 3 Notes
C.r.e Form 3 Notes Kenya
C.r.e Form 3 Pdf
C.r.e Form 4 Notes Kenya
C.r.e Form One Notes Pdf
C.r.e Notes Form 1
C.r.e Revision Notes
C.r.e Short Notes
Cambridge IGCSE Maths
Cambridge IGCSE Maths 3rd Edition
Cambridge IGCSE Maths 3rd Edition Plus Cd South Asia Edition
Cambridge IGCSE Maths Answers
Cambridge IGCSE Maths Coursebook Pdf Download
Cambridge IGCSE Maths Practical Workbook
Cambridge IGCSE Maths Revision Guide Pdf
Cambridge IGCSE Maths Study and Revision Guide 2nd Edition Pdf
Cambridge IGCSE Maths Study and Revision Guide Pdf
Cambridge IGCSE Maths Workbook Free Download
Cambridge IGCSE Maths Workbook Pdf
Cambridge IGCSE® Maths Coursebook
Caucasian Chalk Circle Essay Questions
Chapter 1 Introduction to Maths
Chapter 1 Introduction to Maths Studies
Cie a Level Maths Notes 2016
Cie a Level Maths Notes Pdf
Cie Past Papers
Class 10 Maths Chapter 1 Mcqs
Class 8 Maths Notes KCSE-kcse
College Maths Notes
College Maths Practice Test
College Maths Quiz
College Maths Quiz Chapter 1
College Maths Quizlet
College Maths Study Guide
College Maths Study Guide Pdf
College Maths Test Questions and Answers
College Maths Volume 3 Pdf
College MathsNotes
Complete Maths for Cambridge IGCSE
Complete Maths for Cambridge IGCSE Revision Guide Pdf
County Mocks 2017
Cse Past Papers Maths 2017
Dl Maths Form 3 Pdf Kusoma
Download Maths Form 1
Download Maths Form 2
Download Maths Form 2 Notes
Download Maths Form 3
Download Maths Form 3 Notes
Download Maths Form 4
Download Maths Form Four
Download Maths Form One
Download Maths Form Three
Download Maths Form Two
Download Maths Notes Form 3
Download Maths Notes Form One
Download MathsNotes Form 3
Download Form Three Maths Notes
Download Free KCSE Past Papers Maths
Download Free KCSE Past Papers From KNEC.
Download KCSE Past Papers With Answers
Download KCSE Revision Notes
Download KLB Maths Book 2
Download KLB Maths Book 3
Download KLB Maths Book 4
Download Notes of Maths
Downloads | Maths | Form Four Exams | Exams
Downloads | Maths | Form One Exams | Exams
Downloads | Maths | Form Three Exams | Exams
Downloads | Maths | Form Two Exams | Exams
Downloads | KCSE Papers and Marking Schemes |
Dvance KCSE Past Papers
Easy Maths Questions
Edexcel a Level Maths B
Edexcel a Level Maths Notes Pdf
Edexcel a Level Maths Salters Nuffield
Edexcel A2 Maths Notes
Edexcel as Maths Revision Guide Pdf
Edexcel Maths A2 Revision Notes Pdf
Edexcel Maths Unit 2 Revision Notes
Edexcel GCSE Maths Revision Guide Pdf
Edexcel IGCSE Maths Past Papers
Edexcel IGCSE Maths Revision Guide Free Pdf Download
Edexcel IGCSE Maths Revision Guide Pdf
Edexcel IGCSE Maths Revision Guide Pdf Download
Electronics Form Four Notes
Energy Questions Maths Bowl
Essay Questions and Answers KCSE Maths Notes
Essay Questions and Answers on Betrayal in the City
Essay Questions Based on Betrayal in the City
Evolving World Maths Book 1 Pdf
Evolving World Maths Book 4 Notes
Evolving World Maths Book Form 1
Evolving World-history Book 3
Exam Notes for Maths 101
Exams KCSE Maths Paper 1 Questions and Answers
F3 Maths Test Paper
Find Download KCSE Past Papers With Answers
Find KCSE Maths Essay Questions and Answers
Form 1 Maths Exam
Form 1 Maths Notes
Form 1 Maths Questions and Answers
Form 1 Maths Questions and Answers Pdf
Form 1 Maths Revision Notes
Form 1 Maths Summurized Revision Pdf
Form 1 Maths Syllabus
Form 1 Maths Test Paper Pdf
Form 1 Maths Topics
Form 1 MathsNotes
Form 1 MathsQuestions and Answers
Form 1 MathsRevision Notes
Form 1 MathsSyllabus
Form 1 MathsTest Paper Pdf
Form 1 Past Papers
Form 1 Past Papers With Answers
Form 1 Revision Papers
Form 1 Subjects in Kenya
Form 2 Maths Exam
Form 2 Maths Exam Paper
Form 2 Maths Exam Paper 2016
Form 2 Maths Exam Paper Free Download
Form 2 Maths Exam Paper With Answer
Form 2 Maths Final Year Exam Paper 2
Form 2 Maths Notes
Form 2 Maths Notes and Revision Questions
Form 2 Maths Notes Pdf
Form 2 Maths Past Papers
Form 2 Maths Questions
Form 2 Maths Questions and Answers
Form 2 Maths Questions and Answers >
Form 2 Maths Questions and Answers Pdf
Form 2 Maths Revision Notes
Form 2 Maths Short Notes
Form 2 Maths Syllabus
Form 2 MathsExam Paper
Form 2 MathsExam Paper Free Download
Form 2 MathsExam Paper With Answer
Form 2 MathsFinal Year Exam Paper 2
Form 2 MathsPast Papers
Form 2 MathsRevision Notes
Form 2 MathsShort Notes
Form 2 MathsSyllabus
Form 2 Revision Papers
Form 2 Subjects in Kenya
Form 3 Maths Book
Form 3 Maths Exam
Form 3 Maths Exam Paper
Form 3 Maths Notes
Form 3 Maths Past Papers
Form 3 Maths Questions
Form 3 Maths Questions and Answers
Form 3 Maths Questions and Answers Pdf
Form 3 Maths Revision Notes
Form 3 Maths Syllabus
Form 3 MathsExam Paper
Form 3 MathsNotes
Form 3 MathsPast Papers
Form 3 MathsQuestions
Form 3 MathsQuestions and Answers Pdf
Form 3 MathsRevision Notes
Form 3 MathsSyllabus
Form 3 C.r.e
Form 3 Notes of Maths Topic on Fish
Form 3 Past Papers
Form 3 Revision Papers
Form 3 Subjects in Kenya
Form 4 Maths Exam
Form 4 Maths Notes
Form 4 Maths Notes Pdf
Form 4 Maths Questions and Answers
Form 4 Maths Questions and Answers Pdf
Form 4 Maths Revision Notes
Form 4 Maths Syllabus
Form 4 Maths Topics
Form 4 MathsNotes
Form 4 MathsRevision Notes
Form 4 MathsSyllabus
Form 4 MathsTopics
Form 4 Exam Papers
Form 4 Revision Papers
Form 4 Subjects in Kenya
Form 5 Maths Topics
Form 5 MathsTopics
Form Five Maths Notes
Form Five MathsNotes
Form Four Maths Book
Form Four Maths Notes
Form Four Maths Notes Pdf
Form Four Maths Questions and Answers
Form Four Maths Questions and Answers Pdf
Form Four Maths Revision Questions
Form Four Maths Syllabus
Form Four Maths Topics
Form Four MathsNotes
Form Four MathsQuestions and Answers
Form Four MathsQuestions and Answers Pdf
Form Four MathsTopics
Form Four Notes
Form Four Revision Papers
Form Four Subjects in Kenya
Form One Maths Book
Form One Maths Examination
Form One Maths First Topic
Form One Maths Lesson Plan
Form One Maths Notes Pdf
Form One Maths Past Papers Pdf
Form One Maths Questions
Form One Maths Questions and Answers
Form One Maths Questions and Answers Pdf
Form One Maths Revision Questions
Form One Maths Short Notes
Form One Maths Syllabus
Form One Maths Topics
Form One MathsExamination
Form One MathsPast Papers Pdf
Form One MathsQuestions and Answers
Form One MathsQuestions and Answers Pdf
Form One MathsTopics
Form One Exams
Form One Notes of Maths
Form One Past Papers
Form One Subjects in Kenya
Form One Term One Maths Exam
Form One Term One MathsExam
Form Three Maths Book
Form Three Maths Book Pdf
Form Three Maths Notes
Form Three Maths Notes Pdf
Form Three Maths Questions and Answers
Form Three Maths Questions and Answers Pdf
Form Three Maths Revision Questions
Form Three Maths Syllabus
Form Three Maths Topics
Form Three MathsNotes
Form Three MathsNotes Pdf
Form Three MathsQuestions and Answers
Form Three MathsQuestions and Answers Pdf
Form Three MathsTopics
Form Three Subjects in Kenya
Form Two Maths Book
Form Two Maths Cat
Form Two Maths Examination
Form Two Maths Notes
Form Two Maths Notes Pdf
Form Two Maths Past Papers
Form Two Maths Questions and Answers
Form Two Maths Questions and Answers Pdf
Form Two Maths Revision Questions
Form Two Maths Syllabus
Form Two Maths Topics
Form Two MathsNotes
Form Two MathsNotes Pdf
Form Two MathsQuestions and Answers
Form Two MathsQuestions and Answers Pdf
Form Two MathsSyllabus
Form Two MathsTopics
Form Two Notes
Form Two Subjects in Kenya
Free a-level Maths Revision App | Pass Your Maths Exams
Free Maths Form 1 Notes
Free Maths Notes Form 1
Free Maths Notes Pdf
Free MathsNotes Pdf
Free College Maths Practice Test
Free Form1,form2,form3 Past Papers Free KCSE Past Papers
Free KCSE Mocks 2015
Free KCSE Past Papers 2014
Free KCSE Past Papers KCSE Past
Free KCSE Past Papers Kenya,
Free KCSE Past Papers With Answers
Free KCSE Questions and Answers on Maths
Free KCSE Revision Notes
Free Marking Schemes
Free Mocks Online KCSE Answers Past Exams Question Papers
Free Revision Papers
From Three Notes Topic One KLB
Fun Maths Questions
Funny Maths Questions
Funny Maths Questions and Answers
Funny Maths Questions to Ask
Funny Maths Quotes
GCSE Maths Exam Questions and Answers
GCSE Maths Past Papers
GCSE Maths Revision
GCSE Maths Revision Notes
GCSE Maths Revision Notes Pdf
GCSE Maths Revision Notes Pdf 9-1
GCSE Maths Revision Questions and Answers
GCSE Maths Textbook Pdf
GCSE Maths Topics Pass My Exams: Easy Exam Revision Notes
Home Maths Notes Pdf
Home Maths Practice Test With Answers
Home Maths Quiz
Home Maths Quiz Pdf
Home Maths Test Questions and Answers
Home Maths Test Questions and Answers Pdf
Home Knowledge in Maths Human Body
Good Maths Questions to Ask
GRE Maths Practice Test
GRE Maths Subject Test Pdf
Handbook of Maths Pdf Free Download
Hard Maths Questions
Hard Maths Questions and Answers
Hard Maths Questions to Ask Your Teacher
Hard Maths Quiz Questions
Hard Form 3 Maths Question
High School Maths Final Exam Doc
High School Maths Final Exam Pdf
High School Maths Final Exam Questions
High School Maths Final Exam Questions and Answers
High School Maths Notes
High School Maths Practice Test
High School Maths Pretest With Answers
High School Maths Questions and Answers Pdf
High School Maths Study Guide
High School Maths Test Questions and Answers Pdf
High School MathsNotes
High School MathsStudy Guide
How to Answer KCSE Maths Question
How to Motivate a Form 4 Student
How to Motivate a KCSE Candidate
How to Motivate a KCSE Student
How to Pass Maths Questions & Answers Form 1&2 | Text Book
How to Revise Maths
How to Revise Effectively for KCSE
How to Study Maths: 5 Study Techniques to Master Maths
Hsc Maths 2018
Hsc Maths 2019
Https://www.knec.ac.ke/ Www.knec-portal.ac.ke/ KNEC Portal:
Ial Maths Notes
Ib Maths Cold War Notes
Ib Maths Notes
Ib Maths Notes Pdf
Ib Maths of the Americas Notes
Ib Maths of the Americas Study Guide
Ib Maths Paper 2 Study Guide
Ib Maths Question Bank by Topic
Ib Maths Study Guide Pdf
Ict Notes Form 1
IGCSE Maths Alternative to Practical Revision
IGCSE Maths Alternative to Practical Revision Notes
IGCSE Maths Book
IGCSE Maths Book Pdf Download
IGCSE Maths Notes
IGCSE Maths Notes 2017 Pdf
IGCSE Maths Notes Edexcel
IGCSE Maths Paper 2 Notes
IGCSE Maths Paper 6 Notes
IGCSE Maths Past Papers
IGCSE Maths Past Papers 2014
IGCSE Maths Past Papers 2017
IGCSE Maths Pdf
IGCSE Maths Pre Release Material 2018
IGCSE Maths Resources
IGCSE Maths Revision Guide
IGCSE Maths Revision Guide Free Download
IGCSE Maths Revision Guide Pdf Download
IGCSE Maths Revision Notes Pdf
IGCSE Maths Revision Worksheets
IGCSE Maths Workbook Pdf
IGCSE Maths Znotes
IGCSE MathsPast Papers
IGCSE Notes Maths
Importance of Agroforestry
Inorganic Maths Multiple Choice Questions With Answers Pdf
Inorganic Maths Questions and Answers Pdf
Interesting Maths Questions
Interesting Maths Questions and Answers
Interesting Questions to Ask About Maths
Intro to Maths Quiz
Introduction of Maths Form One
Introduction to Maths
Introduction to Maths Notes
Introduction to Maths Pdf
Introduction to MathsNotes
Is Agroforestry Sustainable?
K.c.s.e Answers Maths Paper One 2018
K.c.s.e Maths 2017
K.c.s.e Maths 2018
K.c.s.e Maths Paper 1 2017
K.c.s.e Mocks 2018
K.c.s.e Papers 2015
K.c.s.e Papers 2016
K.c.s.e Past Papers 2014
K.c.s.e.Maths Paper 2 Year 2018
K.c.s.e.results 2018 for Busia County
K.l.b Maths Form 3
K.l.b Maths Notes
K.l.b MathsNotes
Kasneb Past Papers for Colleges Maths Past Papers
KCSE 2010 Marking Scheme
KCSE 2010 Past Papers
KCSE 2011 Maths Paper 1
KCSE 2011 Marking Scheme
KCSE 2012 Maths Paper 2 Marking Scheme
KCSE 2012 Marking Schemes
KCSE 2013 Maths Paper 1
KCSE 2013 Marking Scheme
KCSE 2013 Marking Scheme Pdf
KCSE 2014
KCSE 2015 Maths Paper 2
KCSE 2015 Maths Paper 3
KCSE 2015 Marking Scheme
KCSE 2015 Past Papers
KCSE 2016 Maths Paper 1
KCSE 2016 Maths Paper 2
KCSE 2017 Maths Paper 1
KCSE 2017 Maths Paper 2
KCSE 2017 Hostory Papers With Answers.com
KCSE 2017 Marking Scheme
KCSE 2017 Papers
KCSE 2017 Papers and Marking Scheme
KCSE 2017 Papers Pdf
KCSE 2017 Past Papers
KCSE 2017 Prediction Pdf
KCSE 2018 Maths and Answers
KCSE 2018 Maths Prediction
KCSE 2018 Leakage
KCSE 2018 Marking Scheme
KCSE 2018 Papers
KCSE 2018 Prediction Pdf
KCSE 2018 Predictions
KCSE 2018 Questions
KCSE 2018 Questions and Answers
KCSE 2019 Leakage Maths
KCSE 2019 Marking Scheme
KCSE 2019 Questions
KCSE 2019 Questions and Answers
KCSE 2021 Questions
KCSE 2021 Questions and Answers
KCSE Answers
KCSE Answers Past Exams Question Papers Downloads |
KCSE Maths 2011
KCSE Maths 2016
KCSE Maths Diagramsbiology Revision Tips
KCSE Maths Essay Questions and Answers
KCSE Maths Essay Questions and Answers Pdf
KCSE Maths Essays
KCSE Maths Essays Pdf
KCSE Maths Marking Schemes
KCSE Maths Notes
KCSE Maths Notes Pdf
KCSE Maths Notes, Syllabus, Questions, Answers
KCSE Maths Paper 1
KCSE Maths Paper 1 2011
KCSE Maths Paper 1 2012
KCSE Maths Paper 1 2013
KCSE Maths Paper 1 2015
KCSE Maths Paper 1 2016
KCSE Maths Paper 1 2017
KCSE Maths Paper 1 2017 Pdf
KCSE Maths Paper 1 Questions and Answers
KCSE Maths Paper 2
KCSE Maths Paper 2 2012
KCSE Maths Paper 2 2012 KCSE Maths Paper 2 2015
KCSE Maths Paper 2 2013
KCSE Maths Paper 2 2014
KCSE Maths Paper 2 2015
KCSE Maths Paper 2 2016
KCSE Maths Paper 2 2017
KCSE Maths Paper 3
KCSE Maths Paper 3 2012
KCSE Maths Paper 3 2016
KCSE Maths Paper 3 2017
KCSE Maths Paper 3 Past Papers
KCSE Maths Past Papers
KCSE Maths Past Papers and Answers
KCSE Maths Past Papers Pdf
KCSE Maths Practical
KCSE Maths Practical 2015
KCSE Maths Practical 2016
KCSE Maths Practical Past Papers
KCSE Maths Practicals
KCSE Maths Practicals KCSE Maths Paper 1
KCSE Maths Question and Answer
KCSE Maths Questions and Answers
KCSE Maths Questions and Answers Ap Maths
KCSE Maths Revision
KCSE Maths Revision Notes
KCSE Maths Revision Papers
KCSE Maths Revision Questions
KCSE Maths Revision Questions and Answers
KCSE Maths Syllabus
KCSE MathsNotes
KCSE MathsPaper 1
KCSE MathsPaper 2
KCSE MathsPaper 2 Pdf
KCSE MathsSyllabus
KCSE Business Paper 1 2016
KCSE Business Past Papers
KCSE Maths Past Papers
KCSE Essay Questions in Betrayal in the City
KCSE Essays
KCSE Exam Papers 2018
KCSE Exam Papers Answers
KCSE Form 1 Maths Revision
KCSE Form 2 Maths Revision
KCSE Form 3 Maths Revision
KCSE Form 4 Maths Revision
KCSE Form Four Maths Revision
KCSE Form One Maths Revision
KCSE Form Three Maths Revision
KCSE Form Two Maths Revision
KCSE KCSE Past Papers KNEC
KCSE Leakage
KCSE Leakage Maths
KCSE Made Familiar Maths
KCSE Made Familiar Maths Pdf
KCSE Marking Scheme 2016
KCSE Marking Schemes
KCSE Marking Schemes 2017
KCSE Marking Schemes Pdf
KCSE Mock Exams
KCSE Mock Papers 2015
KCSE Mock Papers 2017
KCSE Mock Papers 2018
KCSE Mock Papers Pdf
KCSE Mock Papers Pdf 2018
KCSE Mock Papers Pdf KCSE Past Papers
KCSE Mocks 2017
KCSE Mocks 2018
KCSE Notes
KCSE Online Notes
KCSE Online Past Papers
KCSE Online Registration
KCSE Papers 2015
KCSE Papers and Marking Schemes | Exams
KCSE Past Papers
KCSE Past Papers 2007
KCSE Past Papers 2009
KCSE Past Papers 2010
KCSE Past Papers 2011
KCSE Past Papers 2011 Pdf
KCSE Past Papers 2012
KCSE Past Papers 2013
KCSE Past Papers 2013knec
KCSE Past Papers 2014
KCSE Past Papers 2014 Pdf
KCSE Past Papers 2015
KCSE Past Papers 2015 Marking Schemes
KCSE Past Papers 2015 Pdf
KCSE Past Papers 2016
KCSE Past Papers 2016 Pdf
KCSE Past Papers 2017
KCSE Past Papers 2017 Pdf
KCSE Past Papers 2018
KCSE Past Papers Maths
KCSE Past Papers Maths and Answers
KCSE Past Papers Maths Pdf
KCSE Past Papers Maths With Answers
KCSE Past Papers Mathsand Answers
KCSE Past Papers Maths and Answers
KCSE Past Papers KCSE and Answers
KCSE Past Papers KCSE and Answers Free Mocks Online
KCSE Past Papers Marking Scheme
KCSE Past Papers Pdf Download
KCSE Past Papers Pdf Download KCSE 2013
KCSE Past Papers With Answers
KCSE Past Papers Woodwork and Answers
KCSE Prediction 2017
KCSE Prediction 2018
KCSE Prediction 2018 Pdf
KCSE Prediction Papers 2018
KCSE Prediction Questions
KCSE Prediction Questions 2018
KCSE Prediction Questions and Answers
KCSE Questions
KCSE Questions and Answers
KCSE Questions and Answers.
KCSE Questions on Maths
KCSE Results, Online Registration, KCSE Result Slip.
KCSE Revision
KCSE Revision Notes
KCSE Revision Notes Maths
KCSE Revision Notes Pdf
KCSE Revision Papers
KCSE Revision Papers 2014
KCSE Revision Papers With Answers
KCSE Revision Question for Maths
KCSE Revision Questions
KCSE Revision Questions and Answers
KCSE Revision | Secondary School | Text Books | Text Book Centre
KCSE Syllabus Pdf
KCSE Trial 2017
KCSE Trial Exams 2017
Kenya Secondary School Maths Syllabus
Kenya Secondary School Maths Syllabus Pdf
Kenya Secondary School MathsSyllabus Pdf
Kenya Secondary School Syllabus Pdf
Kenya-kcse-christian Religious Education Syllabus
Kenyaplex KCSE Past Papers
Kenyaplex Past Papers for Secondary
KLB Maths Book 1 Download
KLB Maths Book 1 Notes
KLB Maths Book 1 Pdf
KLB Maths Book 2
KLB Maths Book 2 Notes
KLB Maths Book 2 Notes Pdf
KLB Maths Book 2 Pdf
KLB Maths Book 3 Notes
KLB Maths Book 3 Pdf
KLB Maths Book 3 Pdf Download
KLB Maths Book 4 Notes
KLB Maths Book 4 Pdf
KLB Maths Book 4 Pdf Download
KLB Maths Book 4 Topics
KLB Maths Book One
KLB Maths Form 1
KLB Maths Form 1 Notes
KLB Maths Form 1 Pdf
KLB Maths Form 2
KLB Maths Form 2 Book
KLB Maths Form 2 Notes
KLB Maths Form 2 Pdf
KLB Maths Form 2 Pdf Download
KLB Maths Form 2 Schemes of Work
KLB Maths Form 3
KLB Maths Form 3 Notes
KLB Maths Form 3 Notes Pdf
KLB Maths Form 3 Pdf
KLB Maths Form 3 Pdf Download
KLB Maths Form 4
KLB Maths Form 4 Notes
KLB Maths Form 4 Pdf
KLB Maths Form Four
KLB Maths Form Four Notes
KLB Maths Form One
KLB Maths Form One Notes
KLB Maths Form Three
KLB Maths Form Three Notes
KLB Maths Form Two
KLB Maths Form Two Notes
KLB Maths Notes
KLB Maths Notes Form 4
KLB Maths Pdf
KLB MathsNotes
KLB MathsNotes Form 4
KLB MathsPdf
KNEC Maths Syllabus
KNEC Examiners Portal KNEC Website
KNEC Ict Past Papers
KNEC Past Papers for Colleges
KNEC Past Papers Free Download
KNEC Past Papers Free Downloads
KNEC Past Papers Pdf
KNEC Portal Confirmation
KNEC Portal KCSE Results
KNEC Portal KNEC Past Papers for Colleges Kasneb Past Papers
KNEC Revision Papers
KNEC Technical Exams Past Papers
Kusoma Maths Notes
Kusoma Maths Notes Pdf
Kusoma Notes Maths
Kusoma.co.ke
Kusoma.com Past Papers
Learner Guide for Cambridge IGCSE Maths
Longhorn Maths Book 3 Pdf
Made Familiar Maths
Made Familiar Maths Pdf
Made Familiar Maths Questions
Maktaba Tetea Notes
Marking Scheme KCSE Maths Past Papers
Math Form2 Note
Mcqs About Gaseous Exchange
Middle School Maths Bowl Maths Questions
Mock Past Papers 2017
Mock Past Papers With Answers
Mokasa Mock 2017
More Than 1800 Maths Questions and Answers to Help You Study
Multiple Choice Questions on Maths
Necta Maths Past Papers
Necta Maths Practicals
Necta MathsPast Papers
Necta MathsPracticals
Necta Form Four Past Papers
Necta Past Papers Form 4
Necta Past Papers Form 4 2016
Necta Past Papers Form Six
Necta Past Papers Form Two
Necta Questions and Answers
Necta Review Questions
Notes Maths Form 1
Notes Maths Form 2
Notes Maths Form 3
Notes Maths Form 3 Notes Pdf
Notes Maths Form 3 Syllabus
Notes Maths Form 4 Syllabus
Notes on Maths Studies
Notes Za Maths 4m 2
Notes Za Maths Form One
Notes Za Maths Form Three
O Level Maths Practical Experiments
O Level Maths Questions and Answers Pdf
Orm Three Maths Notes
Papacambridge Maths IGCSE
Papers KNEC KCSE Online Past
Papers KNEC KCSE Results Past Papers
Past KCSE Papers
Past Paper Questions by Topic Maths
Past Papers 2014
Past Papers in Kenya
Pdf Maths Form 3
Pdf Maths Notes
Pdf Maths Notes Form 1
Pdf Maths Notes Form 2
Pdf Maths Notes Form 3
Pdf Maths Notes Form 4
Pdf Maths Notes Form Four
Pdf Maths Notes Form One
Pdf Maths Notes Form Three
Pdf Maths Notes Form Two
Pdf Form 1 Maths Questions and Answers
Pdf Form 2 Maths Questions and Answers
Pdf Form 3 Maths Questions and Answers
Pdf Form 4 Maths Questions and Answers
Pdf Form Four Maths Questions and Answers
Pdf Form One Maths Questions and Answers
Pdf Form Three Maths Questions and Answers
Pdf Form Two Maths Questions and Answers
Pdf Free KCSE Past Papers and Marking Schemes
Pdf" Revision Questions Maths Form 1
Practical Maths Experiments Pdf
Practical Maths Question and Answer Pdf
Pre Mocks 2018
Preliminary Maths
Pte KNEC Past Papers
Questions and Answers Pdf Maths Form 1
Questions and Answers Pdf Maths Form 2
Questions and Answers Pdf Maths Form 3
Questions and Answers Pdf Maths Form 4
Questions and Answers Pdf Maths Form Four
Questions and Answers Pdf Maths Form One
Questions and Answers Pdf Maths Form Three
Questions and Answers Pdf Maths Form Two
Questions Based to Introduction to Maths
Questions on Gaseous Exchange in Humans
Questions on Introduction to Maths
Questions to Ask in Maths Class
Questions to Confuse Your Maths Teacher
Quizlet Maths Test
Quizlet Test Questions
Qustions in Maths and Answers
Revision
Revision Maths Notes and Questions?
Revision Quiz for Maths for Form Three
S.1 Maths Questions
S.2 Maths Questions
S.3 Maths Questions
S.4 Maths Questions
School Maths Notes
Secondary Maths Notes
Secondary Maths Notes Pdf
Secondary MathsNotes Pdf
Senior 1 Maths Notes
Senior 2 Maths Notes
Senior 3 Maths Notes
Senior 4 Maths Notes
Senior 5 Maths Notes
Senior 6 Maths Notes
Senior Five Maths Notes
Senior Four Maths Notes
Senior One Maths Notes
Senior Six Maths Notes
Senior Three Maths Notes
Senior Two Maths Notes
Simple Scientific Questions
Smart Questions to Ask a Maths Teacher
Snab Maths Revision Notes
Southwest Mock Paper 2 2016 Maths Only
Spm Maths Revision Notes
Spm Notes
Success Maths Spm Pdf
Success MathsSpm Pdf
Summary of Maths Form 3
Tahossa Past Papers
To Motivate a Form 4 KCSE Student
To Motivate a Form 4 Student
Topical Revision Material
Tricky Maths Questions and Answers
Tricky Maths Questions for Adults
Tricky Maths Questions With Answers
Tricky Maths Quiz Questions
Two Maths Revision Questions
University Maths Volume 3 Openstax
University Maths Volume 3 Pdf
University Maths Volume 4 Pdf
Ur Revision Guide IGCSE Maths
Www.Maths Form One Notes.com
Www.Maths From One KLB.com
Www.form 1 Maths.com
Www.form 2 Maths.com
Www.form 3 Maths.com
Www.form 4 Maths.com
Www.form Four Maths.com
Www.form One Maths.com
Www.form Three Maths.com
Www.form Two Maths.com
Www.kusoma Notes
Www.kusoma Revision Materials
Www.kusoma.co.ke Maths Notes
Xtremepapers IGCSE Maths
Year 11 Maths
Z Notes Maths IGCSE
Znotes as Maths
2018 Mathematics Paper One Questions and Answers
2018 Mathematics Paper Two Questions and Answers
Advice to KCSE Candidates
Best Revision Books for KCSE
How to Pass an Exam Successfully
How to Pass KCSE 2018
How to Pass KCSE 2019
How to Pass KCSE Mathematics Paper
How to Pass KCSE Mathematics
How to Pass KCSE Mathematics
How to Pass KCSE 2019
K.c.s.e Mathematics Paper 1 2017
KCSE 2019 Prediction
KCSE Prediction 2019
KCSE Revision Tips
KCSE Mathematics Paper 1 2018
KCSE Mathematics Paper 2 2018
KCSE Mathematics Past Papers Pdf
KCSE Past Papers 2012
KCSE Past Papers 2017 Pdf
KCSE Past Papers 2018
KCSE Past Papers of Mathematics Pp2
KCSE Mathematics Past Papers Pdf
Advice to KCSE Candidates
Best Revision Books for KCSE
How to Pass an Exam Successfully
How to Pass KCSE 2018
How to Pass KCSE 2019
How to Pass KCSE Maths Paper
How to Pass KCSE Maths
How to Pass KCSE Maths
How to Pass KCSE 2019
K.c.s.e Maths Paper 1 2017
KCSE 2019 Prediction
KCSE Prediction 2019
KCSE Revision Tips
KCSE Maths Paper 1 2018
KCSE Maths Paper 2 2018
KCSE Maths Past Papers Pdf
KCSE Past Papers 2012
KCSE Past Papers 2017 Pdf
KCSE Past Papers 2018
KCSE Past Papers of Maths Pp2
KCSE Maths Past Papers Pdf
Maths KCSE Papers With Their Marking Schemes
Maths Paper 1 and Answers
KCSE 2017 Papers and Marking Scheme
KCSE 2019 Papers and Marking Scheme
KCSE Maths Paper 1 2018
KCSE Maths Paper 1 2019
KCSE Maths Paper 1 2019 Past Papers
KCSE Maths Paper 2 2017
KCSE Maths Paper 2 2018
KCSE Maths Paper 2 2019
KCSE Maths Paper 2 2019 Past Papers
KCSE Maths Paper 3 2019 Past Papers
KCSE Maths Past Papers and Answers
KCSE Marking Schemes Pdf
KCSE Past Papers 2015 Marking Schemes
KCSE Past Papers 2019 Marking Schemes
KCSE Past Papers Maths Paper 1 2019
KCSE Past Papers Maths Paper 2 2019
KCSE Past Papers Maths Paper 3 2019
Past Papers KCSE Maths Paper 1 2019
Past Papers KCSE Maths Paper 2 2019
Past Papers KCSE Maths Paper 3 2019
Mathematics KCSE Papers With Their Marking Schemes
Mathematics Paper 1 and Answers
KCSE 2017 Papers and Marking Scheme
KCSE 2019 Papers and Marking Scheme
KCSE Mathematics Paper 1 2018
KCSE Mathematics Paper 1 2019
KCSE Mathematics Paper 1 2019 Past Papers
KCSE Mathematics Paper 2 2017
KCSE Mathematics Paper 2 2018
KCSE Mathematics Paper 2 2019
KCSE Mathematics Paper 2 2019 Past Papers
KCSE Mathematics Paper 3 2019 Past Papers
KCSE Mathematics Past Papers and Answers
KCSE Marking Schemes Pdf
KCSE Past Papers 2015 Marking Schemes
KCSE Past Papers 2019 Marking Schemes
KCSE Past Papers Mathematics Paper 1 2019
KCSE Past Papers Mathematics Paper 2 2019
KCSE Past Papers Mathematics Paper 3 2019
Past Papers KCSE Mathematics Paper 1 2019
Past Papers KCSE Mathematics Paper 2 2019
Past Papers KCSE Mathematics Paper 3 2019
KCSE Mathematics Paper 1 2017
KCSE Mathematics Paper 1 2018
KCSE Mathematics Paper 2 2016
KCSE Mathematics Paper 2 2017 Marking Scheme
KCSE Mathematics Paper 2 2018
KCSE Mathematics Paper 2 2018 Pdf
KCSE Mathematics Past Papers Pdf
KCSE Past Papers of Mathematics Pp2
Maths KCSE 2017
K.C.S.E. Paper 1 Maths Revision Calculations
KCSE Maths Paper 1 2018
KCSE Mathematics Paper 1 2017
KCSE Mathematics Paper 1 Topics
KCSE Mathematics Paper 2 2018
KCSE Mathematics Paper 2 2018 Marking Scheme
KCSE Mathematics Paper 2 2018 Pdf
KCSE Mathematics Past Papers Pdf
Solving Problems Mathematics Paper 1 Pdf
Mathematics Form 1 Questions and Answers
Mathematics Paper 1 2018
Mathematics Paper 2 2018
Mathematics Paper 1 2019
Mathematics Paper 2 2019
Mathematics Paper 1 Notes
Mathematics Paper 1 Questions and Answers Pdf
Mathematics Paper 2 Questions and Answers
Mathematics Questions and Answers Form 2
KCSE Mathematics Paper 1 2018
KCSE Mathematics Paper 2 2018
KCSE Mathematics Paper 1 2017
KCSE Mathematics Paper 2 2017
KCSE Mathematics Paper 1 2019
KCSE Mathematics Paper 2 2019
Most Tested KCSE Mathematics Questions
Maths Form 1 Questions and Answers
Maths Paper 1 2018
Maths Paper 2 2018
Maths Paper 1 2019
Maths Paper 2 2019
Maths Paper 1 Notes
Maths Paper 1 Questions and Answers Pdf
Maths Paper 2 Questions and Answers
Maths Questions and Answers Form 2
KCSE Maths Paper 1 2018
KCSE Maths Paper 2 2018
KCSE Maths Paper 1 2017
KCSE Maths Paper 2 2017
KCSE Maths Paper 1 2019
KCSE Maths Paper 2 2019
Most Tested KCSE Maths Questions
4m1 Notes Viusasa
4m2 Notes Viusasa
4m3 Notes Viusasa
4m4 Notes Viusasa
Download on Viusasa - Download Now for Free
Elimu - Viusasa
Elimu Library | Notes, Exams, Lesson Plans, Schemes
Elimu Online
High School Notes - Revision Materials for Kenyan Schools
Https //www.viusasa.com/elimu Kenya
Notes Viusasa Elimu Form 1
Notes Viusasa Elimu Form 2
Notes Viusasa Elimu Form 3
Notes Viusasa Elimu Form 4
Notes Viusasa Elimu Form Four
Notes Viusasa Elimu Form One
Notes Viusasa Elimu Form Three
Notes Viusasa Elimu Form Two
Viusasa
Viusasa Education
Viusasa Elimu
Viusasa Elimu Class 6
Viusasa Elimu Form 1
Viusasa Elimu Form 1 Notes
Viusasa Elimu Form 2
Viusasa Elimu Form 2 Notes
Viusasa Elimu Form 3
Viusasa Elimu Form 3 Notes
Viusasa Elimu Form 4
Viusasa Elimu Form 4 Notes
Viusasa Elimu Form Four
Viusasa Elimu Form Four Notes
Viusasa Elimu Form One
Viusasa Elimu Form One Notes
Viusasa Elimu Form Three
Viusasa Elimu Form Three Notes
Viusasa Elimu Form Two
Viusasa Elimu Form Two Notes
Viusasa High School Notes - Revision Materials for Kenyan Schools
Viusasa Notes
Mathematics Mock Papers
Mathematics Paper 1 2019
Mathematics Paper 1 Notes
Mathematics Paper 1 Questions and Answers
Mathematics Paper 1 Questions and Answers Pdf
Mathematics Paper 2 Form 3
Mathematics Paper 2 Notes
Mathematics Paper 2 Questions and Answers Pdf
Mathematics Past Papers
Mathematics Past Papers Pdf
Mathematics Questions and Answers Pdf
Mathematics Revision Questions and Answers Pdf
Mathematics Revision Questions Pdf
Common Exam Questions in Mathematics Paper 1
Common Exam Questions in Mathematics Paper 2
Common Test Questions in Mathematics Paper 1
Common Tested Questions in Mathematics Paper 1
Commonly Tested Questions in Mathematics Paper 1
K.c.s.e.Mathematics Questions and Answers
KCSE 2019 Mathematics Paper 1 Marking Scheme
KCSE 2019 Mathematics Paper 2
KCSE 2019 Mathematics Paper 2 Marking Scheme
KCSE 2021 Prediction Questions and Answers
KCSE Mathematics Paper 1 2019
KCSE Mathematics Paper 2 2016
KCSE Mathematics Paper 2 2017
KCSE Mathematics Paper 2 2018
KCSE Mathematics Paper 2 2019
KCSE Mathematics Questions and Answers
Most Tested Questions in Mathematics Paper 1
Most Tested Questions in Mathematics Paper 2
Mostly Tested Questions in Mathematics Paper 1
Mostly Tested Questions in Mathematics Paper 2
A Level Maths Notes Uganda Pdf Download
Buddo Junior School Holiday Work
Maths Notes for a Level Pdf
Maths Notes Form 1
Maths Notes Form 3 the Mole
Maths Notes Form 4
Maths Notes O Level
Maths Notes O Level Uganda
Maths Notes O Level Uganda Pdf
Maths Notes Pdf
Download Maths Notes
Form 3 Maths Notes
Form 3 Maths Questions and Answers
Form Three Maths Syllabus Pdf
Gayaza High School Maths Notes
Gayaza High School Maths Notes Pdf
Gayaza High School Maths Past Papers
Gayaza High School Maths Past Papers Answers
Gayaza High School Maths Past Papers Questions and Answers
Gayaza High School E Learning
Gayaza High School Elearning Platform
Gayaza High School Examinations
Gayaza High School Holiday Work
Gayaza High School Notes
Gayaza High School Notes 2022
Gayaza High School Notes 2026
Gayaza High School Notes 2025
Gayaza High School Notes Pdf
Gayaza Junior School E Learning Platform
Gayaza Junior School Holiday Work
Gayaza O Level Maths Notes
Home › Gayaza High School | Elearning Platform
Kabojja Junior School Holiday Work Pdf
Klb Maths Book 3
Klb Maths Form 3 Teachers Guide
Klb Maths Notes
List of Ugandan E-learning Platforms for Students
Mirembe Junior School Holiday Work
Ntare School Past Papers
O Level Maths Notes Free Download
O Level Maths Notes in Uganda
O Level Maths Notes Pdf
O Level Maths Notes Uganda Pdf
O Level Maths Notes Uganda Pdf Download
O Level General - Home › Gayaza High School | Elearning
S.1 Maths Notes | Standard High School Zzana
S.3 Maths Notes
S.4 Maths 2 Notes | Standard High School Zzana
Seeta High School Elearning
Seeta High School Holiday Work
Seeta High School Notes
Seeta High School Notes Pdf
Seeta High School Past Papers
Seeta High School Past Papers Pdf
Senior 1 Maths Notes
Senior 1 Maths Notes in Uganda
Senior 1 Maths Notes Uganda
Senior 1 Maths Questions
Senior 1 Exams
Senior 1 Work
Senior 1 Work 2021
Senior 1 Work 2021 Uganda
Senior 2 Maths Notes
Senior 2 Maths Notes in Uganda
Senior 2 Maths Notes Uganda
Senior 2 Maths Questions
Senior 2 Exams
Senior 2 Work
Senior 2 Work 2021
Senior 2 Work 2021 Uganda
Senior 3 Maths Notes
Senior 3 Maths Notes in Uganda
Senior 3 Maths Notes Uganda
Senior 3 Maths Questions
Senior 3 Exams
Senior 3 Work
Senior 3 Work 2021
Senior 3 Work 2021 Uganda
Senior 4 Maths Notes
Senior 4 Maths Notes in Uganda
Senior 4 Maths Notes Uganda
Senior 4 Maths Questions
Senior 4 Exams
Senior 4 Work
Senior 4 Work 2021
Senior 4 Work 2021 Uganda
Senior Four Maths Notes
Senior Four Maths Notes in Uganda
Senior Four Maths Notes Uganda
Senior Four Maths Questions
Senior Four Exams
Senior Four Work
Senior Four Work 2021
Senior Four Work 2021 Uganda
Senior One Maths Notes
Senior One Maths Notes in Uganda
Senior One Maths Notes Uganda
Senior One Maths Questions
Senior One Exams
Senior One Work
Senior One Work 2021
Senior One Work 2021 Uganda
Senior Three Maths Notes
Senior Three Maths Notes in Uganda
Senior Three Maths Notes Uganda
Senior Three Maths Questions
Senior Three Exams
Senior Three Work
Senior Three Work 2021
Senior Three Work 2021 Uganda
Senior Two Maths Notes
Senior Two Maths Notes in Uganda
Senior Two Maths Notes Pdf
Senior Two Maths Notes Uganda
Senior Two Maths Questions
Senior Two Exams
Senior Two Work
Senior Two Work 2021
Senior Two Work 2021 Uganda
St Mary's Kitende E Learning
Standard High School Notes
Standard High School Zana a Level Notes
Standard High School Zana Com Notes
Standard High School Zana E Learning
Standard High School Zana E Learning Platform
Standard High School Zana E-learning Platform
Standard High School Zana Notes for Senior Two
Standard High School Zana Notes Pdf
Standard High School Zana Website
Standard High Zana Notes
Uace Maths Notes
Uace Maths Notes Pdf
Uce Maths Notes Pdf
A Level Mathematics Notes Uganda Pdf Download
Buddo Junior School Holiday Work
Mathematics Notes for a Level Pdf
Mathematics Notes Form 1
Mathematics Notes Form 3 the Mole
Mathematics Notes Form 4
Mathematics Notes O Level
Mathematics Notes O Level Uganda
Mathematics Notes O Level Uganda Pdf
Mathematics Notes Pdf
Download Mathematics Notes
Form 3 Mathematics Notes
Form 3 Mathematics Questions and Answers
Form Three Mathematics Syllabus Pdf
Gayaza High School Mathematics Notes
Gayaza High School Mathematics Notes Pdf
Gayaza High School Mathematics Past Papers
Gayaza High School Mathematics Past Papers Answers
Gayaza High School Mathematics Past Papers Questions and Answers
Gayaza High School E Learning
Gayaza High School Elearning Platform
Gayaza High School Examinations
Gayaza High School Holiday Work
Gayaza High School Notes
Gayaza High School Notes 2022
Gayaza High School Notes 2023
Gayaza High School Notes 2024
Gayaza High School Notes Pdf
Gayaza Junior School E Learning Platform
Gayaza Junior School Holiday Work
Gayaza O Level Mathematics Notes
Home › Gayaza High School | Elearning Platform
Kabojja Junior School Holiday Work Pdf
Klb Mathematics Book 3
Klb Mathematics Form 3 Teachers Guide
Klb Mathematics Notes
List of Ugandan E-learning Platforms for Students
Mirembe Junior School Holiday Work
Ntare School Past Papers
O Level Mathematics Notes Free Download
O Level Mathematics Notes in Uganda
O Level Mathematics Notes Pdf
O Level Mathematics Notes Uganda Pdf
O Level Mathematics Notes Uganda Pdf Download
O Level General - Home › Gayaza High School | Elearning
S.1 Mathematics Notes | Standard High School Zzana
S.3 Mathematics Notes
S.4 Mathematics 2 Notes | Standard High School Zzana
Seeta High School Elearning
Seeta High School Holiday Work
Seeta High School Notes
Seeta High School Notes Pdf
Seeta High School Past Papers
Seeta High School Past Papers Pdf
Senior 1 Mathematics Notes
Senior 1 Mathematics Notes in Uganda
Senior 1 Mathematics Notes Uganda
Senior 1 Mathematics Questions
Senior 1 Exams
Senior 1 Work
Senior 1 Work 2021
Senior 1 Work 2021 Uganda
Senior 2 Mathematics Notes
Senior 2 Mathematics Notes in Uganda
Senior 2 Mathematics Notes Uganda
Senior 2 Mathematics Questions
Senior 2 Exams
Senior 2 Work
Senior 2 Work 2021
Senior 2 Work 2021 Uganda
Senior 3 Mathematics Notes
Senior 3 Mathematics Notes in Uganda
Senior 3 Mathematics Notes Uganda
Senior 3 Mathematics Questions
Senior 3 Exams
Senior 3 Work
Senior 3 Work 2021
Senior 3 Work 2021 Uganda
Senior 4 Mathematics Notes
Senior 4 Mathematics Notes in Uganda
Senior 4 Mathematics Notes Uganda
Senior 4 Mathematics Questions
Senior 4 Exams
Senior 4 Work
Senior 4 Work 2021
Senior 4 Work 2021 Uganda
Senior Four Mathematics Notes
Senior Four Mathematics Notes in Uganda
Senior Four Mathematics Notes Uganda
Senior Four Mathematics Questions
Senior Four Exams
Senior Four Work
Senior Four Work 2021
Senior Four Work 2021 Uganda
Senior One Mathematics Notes
Senior One Mathematics Notes in Uganda
Senior One Mathematics Notes Uganda
Senior One Mathematics Questions
Senior One Exams
Senior One Work
Senior One Work 2021
Senior One Work 2021 Uganda
Senior Three Mathematics Notes
Senior Three Mathematics Notes in Uganda
Senior Three Mathematics Notes Uganda
Senior Three Mathematics Questions
Senior Three Exams
Senior Three Work
Senior Three Work 2021
Senior Three Work 2021 Uganda
Senior Two Mathematics Notes
Senior Two Mathematics Notes in Uganda
Senior Two Mathematics Notes Pdf
Senior Two Mathematics Notes Uganda
Senior Two Mathematics Questions
Senior Two Exams
Senior Two Work
Senior Two Work 2021
Senior Two Work 2021 Uganda
St Mary's Kitende E Learning
Standard High School Notes
Standard High School Zana a Level Notes
Standard High School Zana Com Notes
Standard High School Zana E Learning
Standard High School Zana E Learning Platform
Standard High School Zana E-learning Platform
Standard High School Zana Notes for Senior Two
Standard High School Zana Notes Pdf
Standard High School Zana Website
Standard High Zana Notes
Uace Mathematics Notes
Uace Mathematics Notes Pdf
Uce Mathematics Notes Pdf
Uce Mathematics Notes Pdf Download
Uce Past Papers
Uganda Secondary Schools E-learning Platform
Uneb Marking Guides Pdf
Uneb Past Papers and Answers Pdf
Uce Maths Notes Pdf Download
Uce Past Papers
Uganda Secondary Schools E-learning Platform
Uneb Marking Guides Pdf
Uneb Past Papers and Answers Pdf
Ntare School Past Papers
Seeta High School Notes Pdf
Seeta High School Past Papers
Seeta High School Past Papers Pdf
St Mary's Kitende Past Papers
Uce Mathematics Notes Pdf
Uce Past Papers
Uneb Marking Guides Pdf
Uneb Past Papers and Answers Pdf
Gayaza High School Mathematics Notes
Gayaza High School Notes Pdf
O Level Mathematics Notes in Uganda
O Level Maths Notes Free Download
Senior Two Mathematics Notes Pdf
Uace Mathematics Notes
Uace Mathematics Notes Pdf
Uce Math Notes Pdf
Uce Math Notes Pdf Download
Last Year Kcse Exams for Marths
Last Year Kcse Exams for Maths
Last Year Kcse Exams for Mathematics
Last Year Kcse Past Papers for Marths
Last Year Kcse Past Papers for Maths
Last Year Kcse Past Papers for Mathematics
Download Secondary Mathematics Mock Papers
Solving Problems Mathematics Paper 2 Pdf Download
Kcse 2021 Mathematics Paper 1 Marking Scheme
Kcse 2021 Mathematics Paper 2 Marking Scheme
Mathematics Paper 1 Questions and Answers Pdf
Kcse Mathematics Questions and Answers Pdf
Kcse Mock Papers Pdf 2020
Mathematics Paper 1 Questions and Answers Pdf 2020
Mathematics Paper 2 Questions and Answers Pdf








KCPE Results » List of National Schools in Kenya (Classified According to Clusters) » National Secondary Schools in Kenya » List of All Secondary Schools in Kenya Per County » Form 1 Intake - Selection Criteria, Selection List » KCSE Results » Secondary Schools in Kenya » KNEC - Kenya National Examinations Council
KCPE Results Performance » KNEC - Kenya National Examinations Council » KCSE Results
Scholarship 2026/27
Current Scholarships 2026/2027 - Fully Funded
Full Undergraduate Scholarships 2026 - 2027
Fully Funded Masters Scholarships 2026 - 27
PhD Scholarships for International Students - Fully Funded!
Funding Opportunities for Journalists 2026/2027
Funding for Entrepreneurs 2026/2027
***