Free KNEC KCPE Past Papers Mathematics 2012

KCPE Past Papers Mathematics 2012

KCPE Past Papers Mathematics 2012 - Free KCPE Mocks - KCPE Questions and Answers - Download Free KCPE Marking Schemes - KCPE Revision - KCPE Results
KENYA NATIONAL EXAMINATION COUNCIL

K.C.P.E 2012

Mathematics

Mathematics

The Kenya National Examinations Council

K.C.P.E 2012

DAY 1

Time: 2 hours

8.00 am — 10.00 am

Instructions to candidates (Please read these instructions carefully)

1. You have been given this question booklet and n separate answer sheet. The question booklet contains 50 questions.

2. Do any necessary rough work in this booklet.

3. When you have chosen your answer. mark it on the Answer sheet. not in this question booklet.

How to use the answer sheet

4. Use only an ordinary pencil.

5. Make Sure that you have written on the answer sheet:

Your index number

Your name

Name of your school

6. By drawing a dark line inside the correct numbered boxes mark your full Index Number (i.e. School Code Number and the three-figure Candidates Number) in the grid near the top of the answer sheet.

7. Do not make any marks outside the boxes.

8. Keep the sheet as clean as possible and do not fold it.

9. For each of the questions 1-50 four answers are given. The answers are lettered A, B, C and D. In each case only ONE of the four answers is correct. Choose the correct answer.

10. On the answer sheet the correct answer is to be shown by drawing a dark line inside the box in which the letter you have chosen is written.

Example

In the Question Booklet:

11. What is the value of 6(24-18)+6-4/6 A. 30

B. 25

10

28

The correct answer is C(10).

On the answer sheet:

1. [A] [B] [C] [D] 11. [A] [B] [C] [D] 21. [A] [B] [C] [D] 31. [A] [B] [C] [D] 41.[A] [B] [C] [D] In the set of boxes numbered I 1, the box with the letter C printed in it is marked.

11. Your dark line Must be within the box.

12. For each question Only one box is to be marked in each set of four box.

This Question Paper consists of 16 printed pages.

1. What is 20075303 written in words? A. Two hundred million seven hundred fifty eight thousand and three.

B. Two hundred million seventy five thousand eight hundred and three.

C. Twenty million seven hundred fifty eight thousand and three.

D. Twenty million seventy five thousand eight hundred and three.

2. In the number 14205, what is the difference between the total values of the digits 4 and 2?

A. 4000

B. 3800

C. 4200

D. 200

3. What is 468999975 rounded off to the nearest thousandths?

A. 5000

B. 4689.999

C. 4690.000

D. 46899998

4. What is the value of:

(16905 - 1500 + 1025 — 1225) / 5? A. 15205

B. 3121

C. 3041

D. 2631

5. Which one of the following expressions is correct? A. 7/8 > 3/4

B. 72.5 — 2.57 < 49.9 + 20.03

C. 506 + 45 > 330 + 222

D. 0.65 < 0.065

6. What is the value of 3/5 + 1/8 - 1/4 .+. 1/2

A. 33/40

B. 14/25

C. 1/5

D. 9/40

7. What is the next number in the pattern below?

2, 6, 12, 20, 30,--

8. What is the square root of the number obtained when 196 is multiplied by 4?

A. 28

B. 56

C. 392

D. 784

9. In the figure below line AB and CD are parallel.

Line EF is a transversal.

Which one of the following choices contains equal angles?

A. a and c

B. c and g

C. b and f

D. d and g

10. What is the value of 2b (a + c) + ac when a = b = 3 and c = 2? A. 66

B. 36

C. 30

D.21

11. Andona bought 50 pineapples at sh 30 each and paid sh 100 for transport to the market. During transportation 5 pineapples got spoilt. She sold the rest at sh 50 each. What percentage profit did she make?

A. 56 1/4

B. 46 7/8

C. 43 1/3

D. 40 5/8

12. lnterschool soccer competition started at Working SW!" 3.15 p.m. After 45 minutes, players went for a 15 minutes break. The game then took 55 minutes to end. At what time in the 24 hour system did the game end?

A. 17 10 h

B. 05 10 h

C. 16 55 h

D. 16 30 h

13. The figure below represents the net of a solid.

The net is folded to form the solid. How many edges will the solid have?

A. 4

B. 5

C. 8

D. 12

14. The table below shows the number of people who attended an agricultural show.

Male Adults: 986

Female Adults :3145

Children :5807

How many more children than adults attended the show?

A. 1676

B. 2662

C. 4131

D. 4821

15. A kiosk owner bought 10 litres of milk on Monday. On Tuesday and Wednesday, a total of 50 litres were bought. Equal numbers of litres were bought on Thursday and Friday. Altogether 120 litres were bought during the five days. In a Pie chart, what angle would represent the amount of milk bought on Friday?

A. 30°

B. 90°

C. 150°

D. 180°

16. Two pickups were used to collect garbage From a market. Each pickup carried 2 tonnes 300 kg of garbage per trip. Each pickup was to make five trips. After the fourth trip one of the pickups broke down and did not carry the garbage. What was the total mass of garbage collected? A. 23 tonnes 0 kg

B. 20 tonnes 700 kg

C. 18 tonnes 400 kg

D. ll tonnes 500 kg

17. A company gives a commission on sales above sh l00000. In a certain month a salesgirl received a commission of sh 36000 after selling goods worth sh 800000. What was the percentage commission offered?

A. 36

B. 4

C. 4 1/2

D. 5 1/7

18. Paint was stored in three containers of 48 litres, 72 litres and 30 litres. The paint in each container was then repacked into smaller containers. The amount of paint in each of the smaller containers was the same. What was the capacity of the largest container used to repack the paint?

A. 3 litres

B. 6 litres

C. 72 litres

D. 720 litres

19. Jane gave money to her three children. She gave 1/3 of the total amount to the first child and 2/5 of the remainder to the second child. She was then left with sh 2 400 which she gave to the third child.

How much money did she give out altogether?

A. sh9000

B. sh6000

C. sh4000

D. sh3600

20. The mean mass of four pupils was 49.5 kg. When the masses of another pupil and a teacher were included, the mean mass became 53 kg. If the mass of the pupil was 16kg less than that of the teacher, what was the teacher’s mass? A. 44 kg

B. 52 kg

C. 76 kg

D. 68 kg

21. On the triangle PQR drawn below, construct line RS parallel to line QP. Draw a perpendicular from P to meet line RS at T.

What is the length of the line PT‘?

A. 4.8 cm

B. 5.1 cm

C. 6.8 cm

D. 9.5 cm

22. In the year 2008, there were 850 pupils in a school of whom 3/5 were boys. In the year 2009, ten girls joined the school and twenty boys transferred to another school. What was the ratio of boys to girls in the school in the year 2009‘?

A. 3:2

B. 53:33

C. 13:8

D. 7:5

23. A farmer harvested 900 bags of maize. She sold 0.7 of the bags and gave 0.1 of the remainder to a charitable organization. She then kept the rest. How many bags of maize were kept?

A. 27

B. 180

C. 243

D. 270

24. What is the value of x in 3(x + 4) — 10 = 32? A. 16 2/3

B. 12 2/3

C. 11 1/3

D. 10

25. In a right-angled triangle the length of the hypotenuse is 40 cm. Which one of the following pairs are the possible lengths of the two shorter sides?

A. 12 cm, 5 cm

B. 25 cm, 15 cm

C. 24 cm, 7 cm

D. 32 cm, 24 cm

26. Muli obtained a total score of 180 marks in English, Mathematics and Science. His score in English was half the score obtained in Mathematics. The score in Mathematics was 10 more than the score obtained in Science.

If the score obtained in Science is represented by x, which one of the equations below can be used to get the value of X?

A. 2 1/2X + 15 = 180

B. 2 1/2X - 15 = 180

C. 4x + 30 = 180

D. x + 15 = 180

27. The table below shows inland postal charges for letters.

Wamu posted two letters each weighing 95 g and another one weighing 450 g.

How much money did he pay at the post office?

A. sh 120

B. sh 135

C. sh 155

D. sh 240

28. A trader deposited sh 300000 at a bank that paid compound interest at the rate of 5% pa. How much money was in her account in the bank. at the end of two years?

A. sh 330 750

B. sh 330 000

C. sh 315 000

D. sh 30 750

29. On a map of scale 1: 100000 a rectangular plot of land measures 7 cm by 4 cm.

What are t.he actual lengths of the plot in kilometres?

A. 70 000 by 40 000

B. 700 by 400

C. 70 by 40

D. 7 by 4

30. The number of tree seedlings planted in a certain season increased by 20%. If there were 24000 seedlings planted in that season, how many seedlings were there before the increase’!

A. 19 200

B. 20000

28 800

30 000

31. Which quadrilateral has all the properties listed below? All sides are equal

All angles are right angles

Diagonals are equal

Diagonals bisect each other at right angles

A. Square

B. Trapezium

C. Rectangle

D. Rhombus

32. Kioko bought the following items to donate to a charitable organization: .

2 bags of cabbage @ sh 2 500

4 bags of potatoes @ sh 2 000)

20 kg of cooking oil for sh 2 000

100 kg of sugar @ sh 96

50 loaves of bread @ sh 35

He was given a 10% discount for all his purchases. How much did he pay for the items?

A. sh 23 715

B. sh 26 350

C. sh 57 915

D. sh 28 985

33. Musa and Kayai left town P for town Q at the same time. Musa drove at an average speed of 80 km/h and reached town Q after 3 hours. Kayai dmvc at an average speed of 50 km/h for 1 1/2h and then continued with the journey at an average speed of 70 km/h. How many kilometres had Kayai to cover at the time Musa reached town Q?

A. 240

B. 180

C. 165

D. 60

34. A plot of land is in the shape of a semicircle of diameter 28 metres as shown below.

The plot was fenced by erecting posts 4 metres apart. How many posts were used? (Take n = 22/7) A. 12

B. 17

C. 18

D. 19

35. Fifteen painters can paint a number of houses in 12 days. If the number of painters is increased by 5, how many days less would it take the painters working at the same rate to paint the houses?

A. 24

B. 9

C. 4

D. 3

36. Construct triangle PQR in which PQ = 5cm, PR = 7cm and QR = 65cm. Bisect angle PRQ and let the bisector meet the line PQ at M. What is the size of angle PRM?

A. 22°

B. 44°

C. 63°

D. 95°

37. A cylindrical water tank has a diameter of 1.4 m and a height of 3 m. What is the volume of the tank in m3? (Take n = 22/7)

A. 4.62

B. 13.2

C. 16.28

D. 18.48

38. A baby woke up at 5.30 a.m. after sleeping for 7 hours 45 minutes. At what time in a.m./p.m. did the baby sleep?

A. 9.45 a.m

B. 1.15 a.m

C. 9.45 p.m

D. 2.15 p.m

39. The diagram below represents a metal solid made up of a cylindrical bar fixed onto a cube. The cylindrical bar is 20cm long and has a diameter of 7cm. Each side of the cube is 9cm long.

The surface of the solid was painted. What area in cm3 was painted? (Take n = 22/7)

A. 1499

B. 964.5

C. 926

D. 845

40. The table below shows the distance in kilometres from Avedi’s Home to School, Health Centre and Market.

One day Avedi left Home for the Market but passed through the Health Centre. Later, Avedi left the Market and went Home directly. How many kilometres did Avedi travel that day?

A. 14

B. 19

C. 18

D. 15

41. The perimeter of the isosceles triangle QRS shown below is 48 cm. The base of the triangle is 18cm.

What is the area of the triangle? A. 54 cm’

B. 108 cm’

C. 135 Cm:

D. 435 cm’

42. A factory packs water in half litre, one litre, two litre and five litre bottles. On a certain day, the factory packed 20 840 bottles of water.

Out of these, 8120 were half litre bottles and 3960 were two litre bottles. One litre bottles were 2000 more than the two litre bottles. The rest were five litre bottles. How many five litre bottles were there? A. 2 800

B. 6 760

C. 6 800

D. 18 040

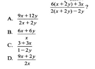
43. Which one of the expressions below is the simplest form of

44. At a school prize giving day the number of men was half that of women. The number of children was three times that of women. The number of women who attended was 3x. What was the sum of men and children?

A. 10 1/2x B. 2 1/2x C. 13 1/2x D. 21x 45. The cash price of a radio is sh 8000. The hire purchase price is 50% more than the cash price. Amina bought a radio on hire purchase by paying :1 deposit of sh 2400 and equal monthly instalments of sh 800. In how many months did she pay the instalments?

A. 18

B. 15

C. 12

D. 10

46. Mumbi paid sh l 800 for a chair after 10% discount was allowed. How much would she have paid for the chair had she been allowed a 12% discount?

A. sh 2000

B. sh 1760

C. sh 1584

D. sh 240

47. The graph below shows John’s journey from Kericho to Mombasa. On his way he stopped in two places

What was John’s average speed in km/h Working Space between the time he left the first stop and the time he arrived at the second stop.

A. 75 B. 74 2/7

c. 71 7/23

D. 52

48. The diagram below represents a vegetable working SP3“ garden which is in the shape of a rectangle and semi-circles.

What is the area of the garden in square metres? (Take n = 22/7)

A. 693

B. 1008

C. 1085

D. 1162

49. Safi packed 15 cartons each containing 20 bottles of juice. The amount of juice in each bottle was 500 ml. What was the total amount of the juice, in litres, packed by Safi?

A. 150

B. 1500

C. 15000

D. 150000

50. Which one of the nets shown below is the net of Working Space a closed cube?

Free KNEC KCPE Past Papers Mathematics 2012 Answers

KCPE 2012 ANSWERS

# Math

1 D

2 B

3 C

4 C

5 A

6 D

7 C

8 A

9 D

10 B

11 D

12 A

13 C

14 A

15 B

16 B

17 D

18 B

19 B

20 D

21 B

22 D

23 C

24 D

25 D

26 A

27 C

28 A

29 D

30 B

31 A

32 A

33 D

34 C

35 D

36 A

37 A

38 C

39 C

40 D

41 B

42 A

43 A

44 A

45 C

46 B

47 B

48 C

49 A

50 C

KCPE Results » List of National Schools in Kenya (Classified According to Clusters) » National Secondary Schools in Kenya » List of All Secondary Schools in Kenya Per County » Form 1 Intake - Selection Criteria, Selection List » KCSE Results » Secondary Schools in Kenya » KNEC - Kenya National Examinations Council KCPE Results Performance » KNEC - Kenya National Examinations Council » KCSE Results

Secondary School Scholarships in Kenya » Kenya Postgraduate Scholarships » Undergraduate Scholarships for Kenyan Students » Kenya Scholarships for Kenyan Students Studying in Kenya » Kenya Undergraduate Scholarships » The Kenya Youth Education Scholarship Fund - Scholarships Kenya - Scholarships KCSE Results » KCSE Results Top 100 Schools - Kenya Certificate of Secondary Education – KCSE » KCSE Top 100 Candidates » Kenya Certificate of Secondary Education – KCSE » KNEC - Kenya National Examinations Council » Secondary Schools in Kenya » KNEC - Kenya National Examinations Council

Kenya Scholarships for Undergraduate Students » Kenya Scholarships for Postgraduate Students » Undergraduate Scholarships for Kenyan Students » Kenya Undergraduate Scholarships » Full Undergraduate Scholarships for Kenyans » Kenya Postgraduate Scholarships » Scholarships & Grants » Undergraduate Scholarships » Universities in Kenya » Kenya Universities and Colleges Central Placement Service (KUCCPS) » Colleges in Kenya » KASNEB Registration & Results » Secondary Schools Scholarships in Kenya » Undergraduate & Graduate Scholarships for Kenyans

Powerful Motivational Quotes for Students » Success Quotes for Students » KCSE Motivational Quotes for KCSE Candidates » KCSE Success Quotes for KCSE Candidates

kcse biology essay questions and answers - kcse revision questions and answers - kcse chemistry questions and answers - kcse revision papers with answers - kcse past papers with answers - download kcse past papers with answers - kcse questions on the river and the source - kcse revision notes

KCSE Past Papers - KCPE and Answers - Free Mocks online - Kcse Answers Past Exams Question Papers - Downloads | KCSE Papers and Marking Schemes | Exams - KCSE Mathematics Paper 1 Questions and Answers - KCSE CRE Paper 1 Questions and Answers - knec past papers free downloads - kcse online registration - kcpe - kcse past papers - knec - knec portal - knec past papers for colleges - kasneb - past papers - kasneb past papers for colleges - cpa past papers - https://www.knec.ac.ke/ - www.knec-portal.ac.ke/ - KNEC PORTAL: KCSE results, online registration, KCSE Result slip. knec portal confirmation - knec portal kcse results - knec examiners portal - knec website

"Legitimate KCPE Results Available Now" #1 Best KCPE Results Website "Kapkateny" Primary KCPE Result 2022 "Kapkateny" Primary KCPE Result 2023 "Kapkateny" Primary KCPE Result 2024 Top KCPE Candidate Faith Mumo Speaks 10 Best Perfomed Schools KCPE 2022 10 Best Perfomed Schools KCPE 2023 10 Best Perfomed Schools KCPE 2024 2022 Date When KCPE Will Be Released 2022 Exam Results 2022 Exam Timetable 2022 K C.p.e Results Day of Announcement of Results 2022 K.c.p.e Narok County. 2022 K.c.p.e Result in West Pokot County 2022 KCPE 2022 KCPE Best Pupils in the Country 2022 KCPE Certificate 2022 KCPE Countrywide, Www.knec Result Nairobi County, Www.knec. KCPE Results 2022.ac.ke, Www.knec.ac.ke 2022 KCPE Results, 2022 KCPE Date of the Release of Exam 2022 KCPE Exam Release 2022 KCPE Exam Results 2022 Set for Release This Week 2022 KCPE Exam Results Set for Release in April 2022 2022 KCPE Grading System 2022 KCPE in Kisumu County 2022 KCPE Leakage 2022 KCPE Number One People in the Country 2022 KCPE Perfomance Kisii County 2022 KCPE Prediction Past Papers 2022 KCPE Prediction Questions and Answers 2022 KCPE Predictions Trial Exams With Answers 2022 KCPE Questions and Answers 2022 KCPE Ranking 2022 KCPE Release 2022 KCPE Release Date 2022 KCPE Release is? 2022 KCPE Result 2022 KCPE Result KCPE 2022 KCPE Results 2022 KCPE Results 2022! 2022 KCPE Results Date 2022 KCPE Results Day of Announcement of Results 2022 KCPE Results Online 2022 KCPE Results Online, KCPE, KCPE 2022, KCPE, KCPE Result 2022, Knec 2022, Knec2022, 2022 KCPE Online Results, 2022 KCPE Results Release 2022 KCPE Results Release Date 2022 KCPE Results Releasing Day 2022 KCPE Results to Be Announced in April 2022 2022 KCPE Results to Be Announced in Before Mid-april 2022 2022 KCPE Results to Be Announced in Early April 2022 2022 KCPE Results to Be Released 2022 KCPE Results to Be Released in April 2022 2022 KCPE Results to Be Released in Before Mid-april 2022 2022 KCPE Results to Be Released in Early April 2022 2022 KCPE Results Top 100 Schools 2022 KCPE Results Will Be Released in April 2022 2022 KCPE Results, Knec Website, Knec KCPE Results, KCPE Results Online, https://www.advance-africa.com/KCPE-results.html 2022 KCPE Resuts Online, 2022 Kenya Certificate of Primary Education, Check KCPE Results 2022online, 2022 KCPE Timetable 2022 KCPE to Be Released on? - When is Form Four Results Released - Time for KCPE2022 Realese - Time of KCPE Release - Date of Form 4 Results Announcement - at What Time Will the KCPE Results Be Announced 2022 KCPE Top 100 Schools 2022 KCPE Top Pupils in the Country 2022 KCPE Top Schools 2022 KCPE Will Be Relised on? 2022 KCPE, KCPE Assessments to Be Concluded 2022 KCPE, KCPE Knec Results 2022, KCPE Results of 2022, Knec.co.ke, Top 100 Candidates KCPE 2022, KCPE 2022 Release, 2022 Online KCPE Results, 2022KCPE Results, Check KCPE 2022 Results Online, Download KCPE Results 2022, 2022 Result KCPE Results 2022 Top 100 Schools 2022 Top KCPE Meru County Candidates 2022 Top Schools 2023 Date When KCPE Will Be Released 2023 Exam Results 2023 Exam Timetable 2023 K C.p.e Results Day of Announcement of Results 2023 K.c.p.e Narok County. 2023 K.c.p.e Result in West Pokot County 2023 KCPE 2023 KCPE Best Pupils in the Country 2023 KCPE Certificate 2023 KCPE Countrywide, Www.knec Result Nairobi County, Www.knec. KCPE Results 2023.ac.ke, Www.knec.ac.ke 2023 KCPE Results, 2023 KCPE Date of the Release of Exam 2023 KCPE Exam Release 2023 KCPE Exam Results 2023 Set for Release This Week 2023 KCPE Exam Results Set for Release in April 2023 2023 KCPE Grading System 2023 KCPE in Kisumu County 2023 KCPE Leakage 2023 KCPE Number One People in the Country 2023 KCPE Perfomance Kisii County 2023 KCPE Prediction Past Papers 2023 KCPE Prediction Questions and Answers 2023 KCPE Predictions Trial Exams With Answers 2023 KCPE Questions and Answers 2023 KCPE Ranking 2023 KCPE Release 2023 KCPE Release Date 2023 KCPE Release is? 2023 KCPE Result 2023 KCPE Result KCPE 2023 KCPE Results 2023 KCPE Results 2023! 2023 KCPE Results Date 2023 KCPE Results Day of Announcement of Results 2023 KCPE Results Online 2023 KCPE Results Online, KCPE, KCPE 2023, KCPE, KCPE Result 2023, Knec 2023, Knec2023, 2023 KCPE Online Results, 2023 KCPE Results Release 2023 KCPE Results Release Date 2023 KCPE Results Releasing Day 2023 KCPE Results to Be Announced in April 2023 2023 KCPE Results to Be Announced in Before Mid-april 2023 2023 KCPE Results to Be Announced in Early April 2023 2023 KCPE Results to Be Released 2023 KCPE Results to Be Released in April 2023 2023 KCPE Results to Be Released in Before Mid-april 2023 2023 KCPE Results to Be Released in Early April 2023 2023 KCPE Results Top 100 Schools 2023 KCPE Results Will Be Released in April 2023 2023 KCPE Results, Knec Website, Knec KCPE Results, KCPE Results Online, https://www.advance-africa.com/KCPE-results.html 2023 KCPE Resuts Online, 2023 Kenya Certificate of Primary Education, Check KCPE Results 2023online, 2023 KCPE Timetable 2023 KCPE to Be Released on? - When is Form Four Results Released - Time for KCPE2023 Realese - Time of KCPE Release - Date of Form 4 Results Announcement - at What Time Will the KCPE Results Be Announced 2023 KCPE Top 100 Schools 2023 KCPE Top Pupils in the Country 2023 KCPE Top Schools 2023 KCPE Will Be Relised on? 2023 KCPE, KCPE Assessments to Be Concluded 2023 KCPE, KCPE Knec Results 2023, KCPE Results of 2023, Knec.co.ke, Top 100 Candidates KCPE 2023, KCPE 2023 Release, 2023 Online KCPE Results, 2023KCPE Results, Check KCPE 2023 Results Online, Download KCPE Results 2023, 2023 Result KCPE Results 2023 Top 100 Schools 2023 Top KCPE Meru County Candidates 2023 Top Schools 2024 Date When KCPE Will Be Released 2024 Exam Results 2024 Exam Timetable 2024 K C.p.e Results Day of Announcement of Results 2024 K.c.p.e Narok County. 2024 K.c.p.e Result in West Pokot County 2024 KCPE 2024 KCPE Best Pupils in the Country 2024 KCPE Certificate 2024 KCPE Countrywide, Www.knec Result Nairobi County, Www.knec. KCPE Results 2024.ac.ke, Www.knec.ac.ke 2024 KCPE Results, 2024 KCPE Date of the Release of Exam 2024 KCPE Exam Release 2024 KCPE Exam Results 2024 Set for Release This Week 2024 KCPE Exam Results Set for Release in April 2024 2024 KCPE Grading System 2024 KCPE in Kisumu County 2024 KCPE Leakage 2024 KCPE Number One People in the Country 2024 KCPE Perfomance Kisii County 2024 KCPE Prediction Past Papers 2024 KCPE Prediction Questions and Answers 2024 KCPE Predictions Trial Exams With Answers 2024 KCPE Questions and Answers 2024 KCPE Ranking 2024 KCPE Release 2024 KCPE Release Date 2024 KCPE Release is? 2024 KCPE Result 2024 KCPE Result KCPE 2024 KCPE Results 2024 KCPE Results 2024! 2024 KCPE Results Date 2024 KCPE Results Day of Announcement of Results 2024 KCPE Results Online 2024 KCPE Results Online, KCPE, KCPE 2024, KCPE, KCPE Result 2024, Knec 2024, Knec2024, 2024 KCPE Online Results, 2024 KCPE Results Release 2024 KCPE Results Release Date 2024 KCPE Results Releasing Day 2024 KCPE Results to Be Announced in April 2024 2024 KCPE Results to Be Announced in Before Mid-april 2024 2024 KCPE Results to Be Announced in Early April 2024 2024 KCPE Results to Be Released 2024 KCPE Results to Be Released in April 2024 2024 KCPE Results to Be Released in Before Mid-april 2024 2024 KCPE Results to Be Released in Early April 2024 2024 KCPE Results Top 100 Schools 2024 KCPE Results Will Be Released in April 2024 2024 KCPE Results, Knec Website, Knec KCPE Results, KCPE Results Online, https://www.advance-africa.com/KCPE-results.html 2024 KCPE Resuts Online, 2024 Kenya Certificate of Primary Education, Check KCPE Results 2024online, 2024 KCPE Timetable 2024 KCPE to Be Released on? - When is Form Four Results Released - Time for KCPE2024 Realese - Time of KCPE Release - Date of Form 4 Results Announcement - at What Time Will the KCPE Results Be Announced 2024 KCPE Top 100 Schools 2024 KCPE Top Pupils in the Country 2024 KCPE Top Schools 2024 KCPE Will Be Relised on? 2024 KCPE, KCPE Assessments to Be Concluded 2024 KCPE, KCPE Knec Results 2024, KCPE Results of 2024, Knec.co.ke, Top 100 Candidates KCPE 2024, KCPE 2024 Release, 2024 Online KCPE Results, 2024KCPE Results, Check KCPE 2024 Results Online, Download KCPE Results 2024, 2024 Result KCPE Results 2024 Top 100 Schools 2024 Top KCPE Meru County Candidates 2024 Top Schools 28539308 All School Results 32. Nakuru County Top 100 Schools in 2022 KCSE 32. Nakuru County Top 100 Schools in 2023 KCSE 32. Nakuru County Top 100 Schools in 2024 KCSE Acacia Crest Academy KCPE Results 2022 Acacia Crest Academy KCPE Results 2023 Acacia Crest Academy KCPE Results 2024 Advance Africa KCPE Past Papers Advice to KCPE Candidates Amend 2022 KCPE Results 2022! Amend 2023 KCPE Results 2023! Amend 2024 KCPE Results 2024! Annoncing of KCPE and KCPE Resurlt 2022 Annoncing of KCPE and KCPE Resurlt 2023 Annoncing of KCPE and KCPE Resurlt 2024 Announcement Date for KCPE Announcement of KCPE Results 2022 Announcement of KCPE Results 2023 Announcement of KCPE Results 2024 Are 2022 KCPE Certificates Out? Are 2023 KCPE Certificates Out? Are 2024 KCPE Certificates Out? Are Result Relise Today Are Result Relise Today - Yes Baringo County KCPE Results 2022 Baringo County KCPE Results 2022/2022 Baringo County KCPE Results 2023 Baringo County KCPE Results 2023/2023 Baringo County KCPE Results 2024 Baringo County KCPE Results 2024/2024 Basic Education Regulations, 2015 Best Candidates in KCPE in Elgeyomarakwet Best Candidates KCPE in Whow Country Best is Subject in KCPE 2022 Best is Subject in KCPE 2023 Best is Subject in KCPE 2024 Best Performing Primary Schools in Nairobi Best Primary Schools in Bomet County Best Private Primary Schools in Kiambu County Best Private Primary Schools in Nairobi Best School KCPE Result 2022 Best School KCPE Result 2023 Best School KCPE Result 2024 Best Schools Busia County KCPE Result 2022 Best Schools Busia County KCPE Result 2023 Best Schools Busia County KCPE Result 2024 Best Students in KCPE Last Year Bishop Gatimu KCPE 2022 Results Bishop Gatimu KCPE 2023 Results Bishop Gatimu KCPE 2024 Results Bomet County KCPE Results Bomet County KCPE Results 2022 Bomet County KCPE Results 2022/2022 Bomet County KCPE Results 2023 Bomet County KCPE Results 2023/2023 Bomet County KCPE Results 2024 Bomet County KCPE Results 2024/2024 Bomet County KCPE Results, KCPE Results, KCPE 2022 Result Online, KCPE Online Results 2022, KCPE Results Online 2022, Bomet County KCPE Results, KCPE Results, KCPE 2023 Result Online, KCPE Online Results 2023, KCPE Results Online 2023, Bomet County KCPE Results, KCPE Results, KCPE 2024 Result Online, KCPE Online Results 2024, KCPE Results Online 2024, Breaking News About 2022 Release of KCPE Results Breaking News About 2023 Release of KCPE Results Breaking News About 2024 Release of KCPE Results Breaking News of Education KCPE Result Breaking News on KCPE Results Bungoma County KCPE Results Bungoma County KCPE Results 2022 Bungoma County KCPE Results 2022/2022 Bungoma County KCPE Results 2023 Bungoma County KCPE Results 2023/2023 Bungoma County KCPE Results 2024 Bungoma County KCPE Results 2024/2024 Bungoma KCPE Busia County KCPE Results 2022 Busia County KCPE Results 2022/2022 Busia County KCPE Results 2023 Busia County KCPE Results 2023/2023 Busia County KCPE Results 2024 Busia County KCPE Results 2024/2024 Can I Get My KCPE Certificate Online? Can I Get My KCPE Result Slip Online? Can Knec Change a Student Name in KCPE Certificate? Central KCPE Results 2022 Central KCPE Results 2022/2022 Central KCPE Results 2023 Central KCPE Results 2023/2023 Central KCPE Results 2024 Central KCPE Results 2024/2024 Check My KCPE Results, Finding KCPE Result 2022, How Can I Get KCPE Results List of Any School, How Can One Check KCPE 2022 Results on Line, Check My KCPE Results, Finding KCPE Result 2023, How Can I Get KCPE Results List of Any School, How Can One Check KCPE 2023 Results on Line, Check My KCPE Results, Finding KCPE Result 2024, How Can I Get KCPE Results List of Any School, How Can One Check KCPE 2024 Results on Line, Check Up KCPE 2022 Result via Okoa Jahazi Check Up KCPE 2023 Result via Okoa Jahazi Check Up KCPE 2024 Result via Okoa Jahazi Class 8 KCPE Results Released Class 8 Results Released Class Eight KCPE Results Released Class Eight Results Released Code for Cheking Result of K.c.p.e Common Questions on KCPE 2022 Common Questions on KCPE 2023 Common Questions on KCPE 2024 Commonly Questions on KCPE 2022 Commonly Questions on KCPE 2023 Commonly Questions on KCPE 2024 Cut Off Marks for National Schools 2022 Cut Off Marks for National Schools 2023 Cut Off Marks for National Schools 2024 Date at Which KCPE Results Will Be Announced Date at Which KCPE Results Will Be Released Date of Announcement of KCPE 2022 Date of Announcement of KCPE 2022 the Date of Releasing KCPE 2022 Exam When is KCPE Exam Being Releast 2022 KCPE Results Releasing Day When Are the KCPE Results Coming Out When Will KCPE Results Be Announced? When Will Be the Realese of KCPE Results When Will KCPE Results 2022 Be Out? KCPE Results of the Year 2022 Will Be Released on When? The Date When KCPE Results 2022 Will Be Released When Will KCPE Result Be Out? Knec;KCPE 2022 Results Release Date When is KCPE Exam Being Releast When Will KCPE Exam Annoced the Date of Releasing KCPE 2022 Exam KCPE Releasing Day KCPE 2022 Results Release Date When Will KCPE 2022 Results Be Out? Which Date is 2022 KCPE Results Coming Out? Release of KCPE Exams 2022 When is the K.c.p.e Results Being Announced KCPE 2022 Result Release Date? K.c.p.e Details Annouencement Period KCPE 2022 Results Release Date Breaking News About 2022 Release of KCPE Results Annoncing of KCPE and KCPE Resurlt 2022 When Will KCPE Results Be Released KCPE 2022 Results Release Date When Will Results of KCPE 2022 Be Released ? 2022 Date When KCPE Will Be Released KCPE 2022 Result Announcement. KCPE 2022 Results Date of Release Updates Annoncing of KCPE and KCPE Resurlt 2022 Date Pf 2022 KCPE Results Announcement by Matiagi Release Date for KCPE KCPE 2022 Result Release Date KCPE Results 2022 Announcement KCPE 2022 Results Date KCPE 2022 Release Dates Which is the Best School in Kenya KCPE When is KCPE Results is Being Released When Will 2022 KCPE Exam Be Released When Will KCPE Results Be Released When Will 2022 KCPE Rests Be Released When Do KCPE Results 2022 Announce Update on KCPE the Knec Breaking News KCPE 2022 Result Release Day Date of Release of KCPE Exams 2022 Announcement Date for KCPE When Will KCPE 2022 Results Be Released? When is the Release of KCPE 2022 2022 K C.p.e Results Day of Announcement of Results Date of Release of 2022 KCPE Results When Are KCPE Results 2022 Being Released 2022 KCPE to Be Released on? - When is Form Four Results Released - Time for KCPE2022 Realese - Time of KCPE Release - Date of Form 4 Results Announcement - at What Time Will the KCPE Results Be Announced? Date of Announcement of KCPE 2023 Date of Announcement of KCPE 2023 the Date of Releasing KCPE 2023 Exam When is KCPE Exam Being Releast 2023 KCPE Results Releasing Day When Are the KCPE Results Coming Out When Will KCPE Results Be Announced? When Will Be the Realese of KCPE Results When Will KCPE Results 2023 Be Out? KCPE Results of the Year 2023 Will Be Released on When? The Date When KCPE Results 2023 Will Be Released When Will KCPE Result Be Out? Knec;KCPE 2023 Results Release Date When is KCPE Exam Being Releast When Will KCPE Exam Annoced the Date of Releasing KCPE 2023 Exam KCPE Releasing Day KCPE 2023 Results Release Date When Will KCPE 2023 Results Be Out? Which Date is 2023 KCPE Results Coming Out? Release of KCPE Exams 2023 When is the K.c.p.e Results Being Announced KCPE 2023 Result Release Date? K.c.p.e Details Annouencement Period KCPE 2023 Results Release Date Breaking News About 2023 Release of KCPE Results Annoncing of KCPE and KCPE Resurlt 2023 When Will KCPE Results Be Released KCPE 2023 Results Release Date When Will Results of KCPE 2023 Be Released ? 2023 Date When KCPE Will Be Released KCPE 2023 Result Announcement. KCPE 2023 Results Date of Release Updates Annoncing of KCPE and KCPE Resurlt 2023 Date Pf 2023 KCPE Results Announcement by Matiagi Release Date for KCPE KCPE 2023 Result Release Date KCPE Results 2023 Announcement KCPE 2023 Results Date KCPE 2023 Release Dates Which is the Best School in Kenya KCPE When is KCPE Results is Being Released When Will 2023 KCPE Exam Be Released When Will KCPE Results Be Released When Will 2023 KCPE Rests Be Released When Do KCPE Results 2023 Announce Update on KCPE the Knec Breaking News KCPE 2023 Result Release Day Date of Release of KCPE Exams 2023 Announcement Date for KCPE When Will KCPE 2023 Results Be Released? When is the Release of KCPE 2023 2023 K C.p.e Results Day of Announcement of Results Date of Release of 2023 KCPE Results When Are KCPE Results 2023 Being Released 2023 KCPE to Be Released on? - When is Form Four Results Released - Time for KCPE2023 Realese - Time of KCPE Release - Date of Form 4 Results Announcement - at What Time Will the KCPE Results Be Announced? Date of Announcement of KCPE 2024 Date of Announcement of KCPE 2024 the Date of Releasing KCPE 2024 Exam When is KCPE Exam Being Releast 2024 KCPE Results Releasing Day When Are the KCPE Results Coming Out When Will KCPE Results Be Announced? When Will Be the Realese of KCPE Results When Will KCPE Results 2024 Be Out? KCPE Results of the Year 2024 Will Be Released on When? The Date When KCPE Results 2024 Will Be Released When Will KCPE Result Be Out? Knec;KCPE 2024 Results Release Date When is KCPE Exam Being Releast When Will KCPE Exam Annoced the Date of Releasing KCPE 2024 Exam KCPE Releasing Day KCPE 2024 Results Release Date When Will KCPE 2024 Results Be Out? Which Date is 2024 KCPE Results Coming Out? Release of KCPE Exams 2024 When is the K.c.p.e Results Being Announced KCPE 2024 Result Release Date? K.c.p.e Details Annouencement Period KCPE 2024 Results Release Date Breaking News About 2024 Release of KCPE Results Annoncing of KCPE and KCPE Resurlt 2024 When Will KCPE Results Be Released KCPE 2024 Results Release Date When Will Results of KCPE 2024 Be Released ? 2024 Date When KCPE Will Be Released KCPE 2024 Result Announcement. KCPE 2024 Results Date of Release Updates Annoncing of KCPE and KCPE Resurlt 2024 Date Pf 2024 KCPE Results Announcement by Matiagi Release Date for KCPE KCPE 2024 Result Release Date KCPE Results 2024 Announcement KCPE 2024 Results Date KCPE 2024 Release Dates Which is the Best School in Kenya KCPE When is KCPE Results is Being Released When Will 2024 KCPE Exam Be Released When Will KCPE Results Be Released When Will 2024 KCPE Rests Be Released When Do KCPE Results 2024 Announce Update on KCPE the Knec Breaking News KCPE 2024 Result Release Day Date of Release of KCPE Exams 2024 Announcement Date for KCPE When Will KCPE 2024 Results Be Released? When is the Release of KCPE 2024 2024 K C.p.e Results Day of Announcement of Results Date of Release of 2024 KCPE Results When Are KCPE Results 2024 Being Released 2024 KCPE to Be Released on? - When is Form Four Results Released - Time for KCPE2024 Realese - Time of KCPE Release - Date of Form 4 Results Announcement - at What Time Will the KCPE Results Be Announced? Date of Release KCPE Date of Release of 2022 KCPE Results Date of Release of 2023 KCPE Results Date of Release of 2024 KCPE Results Date of Release of KCPE Exams 2022 Date of Release of KCPE Exams 2023 Date of Release of KCPE Exams 2024 Date Pf 2022 KCPE Results Announcement by Matiagi Date Pf 2023 KCPE Results Announcement by Matiagi Date Pf 2024 KCPE Results Announcement by Matiagi Date When KCPE 2022 Exam Results Will Be Released Date When KCPE 2023 Exam Results Will Be Released Date When KCPE 2024 Exam Results Will Be Released Day of Announcement of Results KCPE 2022 Day of Announcement of Results KCPE 2023 Day of Announcement of Results KCPE 2024 Day to Be Realeased KCPE Results Day to Be Released KCPE Results Download KCPE Past Papers With Answers Download KCPE Results 2022 Download KCPE Results 2023 Download KCPE Results 2024 Download KCPE Results Samburu County Download KCPE Timetable 2022 Download KCPE Timetable 2023 Download KCPE Timetable 2024 Eastern KCPE Results 2022 Eastern KCPE Results 2022/2022 Eastern KCPE Results 2023 Eastern KCPE Results 2023/2023 Eastern KCPE Results 2024 Eastern KCPE Results 2024/2024 Education Act 2013 Kenya Education Act 2019 Kenya Education Act Kenya Pdf Elgeyo-marakwet County KCPE Results 2022 Elgeyo-marakwet County KCPE Results 2022/2022 Elgeyo-marakwet County KCPE Results 2023 Elgeyo-marakwet County KCPE Results 2023/2023 Elgeyo-marakwet County KCPE Results 2024 Elgeyo-marakwet County KCPE Results 2024/2024 Embu County KCPE Results 2022 Embu County KCPE Results 2022/2022 Embu County KCPE Results 2023 Embu County KCPE Results 2023/2023 Embu County KCPE Results 2024 Embu County KCPE Results 2024/2024 Faith Mumo Results Per Subject Find Out How Many Marks Are Deducted in KCPE Find Result of Top Pupils Narok Count Find School KCPE Result Find the Marks That Are Standardized in KCPE First Student in KCPE Last Year First Students in KCPE Last Year Form Four Results 2022 Form Four Results 2023 Form Four Results 2024 Garissa County KCPE Results 2022 Garissa County KCPE Results 2022/2022 Garissa County KCPE Results 2023 Garissa County KCPE Results 2023/2023 Garissa County KCPE Results 2024 Garissa County KCPE Results 2024/2024 Girls 2022 KCPE Results Girls 2023 KCPE Results Girls 2024 KCPE Results Grading System 2022 Grading System 2023 Grading System 2024 Grading System KCPE 2022 Grading System KCPE 2023 Grading System KCPE 2024 Green Garden School KCPE Results 2022 Green Garden School KCPE Results 2023 Green Garden School KCPE Results 2024 Habari Za K C P I Matokeo Have Many People Passed in KCPE 2022 Have Many People Passed in KCPE 2023 Have Many People Passed in KCPE 2024 Here is How to Get Results for the Whole School High Peak Junior Academy KCPE Results 2022 High Peak Junior Academy KCPE Results 2023 High Peak Junior Academy KCPE Results 2024 High School 2022 KCPE Results High School 2023 KCPE Results High School 2024 KCPE Results Highest KCPE Highest KCPE Marks Ever in Kenya Highest KCPE Results Ever Highest KCPE Results Now Highest KCPE Results This Year Highest KCPE Results Today Homa Bay County KCPE Results 2022 Homa Bay County KCPE Results 2022/2022 Homa Bay County KCPE Results 2023 Homa Bay County KCPE Results 2023/2023 Homa Bay County KCPE Results 2024 Homa Bay County KCPE Results 2024/2024 How Can I Change My Name in KCPE Certificate? How Can I Check My 2022 KCPE Results Online? How Can I Check My 2023 KCPE Results Online? How Can I Check My 2024 KCPE Results Online? How Can I Check My KCPE 2022? How Can I Check My KCPE 2023? How Can I Check My KCPE 2024? How Can I Check My KCPE Certificate is Genuine? How Can I Check My KCPE Registration 2022? How Can I Check My KCPE Registration 2023? How Can I Check My KCPE Registration 2024? How Can I Check My KCPE Results for 2022 Whole School? How Can I Check My KCPE Results for 2023 Whole School? How Can I Check My KCPE Results for 2024 Whole School? How Can I Check My KCPE Results Online? How Can I Check My Knec Certificate? How Can I Check My Knec Result via Sms? How Can I Check My Result in KCPE How Can I Get Good Marks in KCPE? How Can I Get KCPE Result 2022 by Sms? How Can I Get KCPE Result 2023 by Sms? How Can I Get KCPE Result 2024 by Sms? How Can I Get KCPE Result by Sms? How Can I Get KCPE Result From 2022 by Sms? How Can I Get KCPE Result From 2023 by Sms? How Can I Get KCPE Result From 2024 by Sms? How Can I Get My KCPE Results 2022? How Can I Get My KCPE Results 2023? How Can I Get My KCPE Results 2024? How Can I Get My KCPE Results Online 2022? How Can I Get My KCPE Results Online 2023? How Can I Get My KCPE Results Online 2024? How Can I Get My KCPE School Results? How Can I Retrieve My KCPE Certificate? How Can I Verify My Degree Certificate Online? How Do I Access Knec Portal? How Do I Check My KCPE Results 2022? How Do I Check My KCPE Results 2023? How Do I Check My KCPE Results 2024? How Do I Contact Knec? How Do I Get My College Knec Results? How Do I Get My KCPE Results 2022? How Do I Get My KCPE Results 2023? How Do I Get My KCPE Results 2024? How Do I Get My KCPE Results for the Whole School? How Do I Get My Original Certificate if I Lost It? How Do I Get Results for the Whole School How Do I Know My KCPE Score? How Do I Pass KCPE? How Do I Verify a Degree Certificate? How Do You Get B+ in KCSE? How Do You Get KCPE Results Per School? How Long Does KCPE Certificate Take to Be Released? How Many Days to KCPE 2022 How Many Days to KCPE 2023 How Many Days to KCPE 2024 How Many Marks Are Deducted in KCPE How Many Marks Are Standardized in KCPE How Many Marks Are Standardized in KCPE 2022 How Many Marks Are Standardized in KCPE 2023 How Many Marks Are Standardized in KCPE 2024 How Many Marks is Required in Kakamega How Many Marks the First Pupil Got in KCPE 2022 How Many Marks the First Pupil Got in KCPE 2023 How Many Marks the First Pupil Got in KCPE 2024 How Many Students Sat for KCPE 2022? How Many Students Sat for KCPE 2023? How Many Students Sat for KCPE 2024? How to Check 2022 KCPE Results Online, How to Check KCPE Results 2022, How to Check KCPE Results 2022 Online, How to Check 2022 KCPE Results via Sms and Online Portal How to Check 2023 KCPE Results Online, How to Check KCPE Results 2023, How to Check KCPE Results 2023 Online, How to Check 2023 KCPE Results via Sms and Online Portal How to Check 2024 KCPE Results Online, How to Check KCPE Results 2024, How to Check KCPE Results 2024 Online, How to Check 2024 KCPE Results via Sms and Online Portal How to Check K.c.p.e Examination Results Online How to Check KCPE 2022 Results Online How to Check KCPE 2023 Results Online How to Check KCPE 2024 Results Online How to Check KCPE Results How to Check KCPE Results 2022 How to Check KCPE Results 2022 Online, Online KCPE Results 2022, KCPE Result 2022, Www.knec.ac.ke KCPE Results 2022, Www.kenya National Examination Council.com, How to Check KCPE Results 2022 | KCPE 2022 Release Date How to Check KCPE Results 2023 How to Check KCPE Results 2023 Online, Online KCPE Results 2023, KCPE Result 2023, Www.knec.ac.ke KCPE Results 2023, Www.kenya National Examination Council.com, How to Check KCPE Results 2023 | KCPE 2023 Release Date How to Check KCPE Results 2024 How to Check KCPE Results 2024 Online, Online KCPE Results 2024, KCPE Result 2024, Www.knec.ac.ke KCPE Results 2024, Www.kenya National Examination Council.com, How to Check KCPE Results 2024 | KCPE 2024 Release Date How to Check KCPE Results for the Whole School How to Check KCPE Results for the Whole School 2022 How to Check KCPE Results for the Whole School 2023 How to Check KCPE Results for the Whole School 2024 How to Check KCPE Results Online How to Check KCPE Results Online 2022 How to Check KCPE Results Online 2023 How to Check KCPE Results Online 2024 How to Check KCPE Results Online, How to Download KCPE Results 2022 for Acertain School, How to Get KCPE Results 2022 Online, How to Check KCPE Results Online, How to Download KCPE Results 2023 for Acertain School, How to Get KCPE Results 2023 Online, How to Check KCPE Results Online, How to Download KCPE Results 2024 for Acertain School, How to Get KCPE Results 2024 Online, How to Check KCPE Results via Sms How to Check KCPE Results, 2022 KCPE Online Results, KCPE Results 2022 Online Check, Results KCPE 2022, How to Check KCPE Results, 2023 KCPE Online Results, KCPE Results 2023 Online Check, Results KCPE 2023, How to Check KCPE Results, 2024 KCPE Online Results, KCPE Results 2024 Online Check, Results KCPE 2024, How to Check Kenya National Examination Council 2022, How to Check the School KCPE Results 2022, How to Find KCPE Results 2022, How to Check Kenya National Examination Council 2023, How to Check the School KCPE Results 2023, How to Find KCPE Results 2023, How to Check Kenya National Examination Council 2024, How to Check the School KCPE Results 2024, How to Find KCPE Results 2024, How to Check Your KCPE Results Online How to Check Your KCPE Results Online. How Can I See the KCPE Results Online? Download KCPE Results. Below Are the Knec KCPE Online Results. How to Download KCPE Result Slip How to Download KCPE Result Slip Online How to Download the 2022 KCPE Results for the Whole School How to Download the 2023 KCPE Results for the Whole School How to Download the 2024 KCPE Results for the Whole School How to Get 2022 KCPE Results, Http/www KCPE/results. How to Get 2023 KCPE Results, Http/www KCPE/results. How to Get 2024 KCPE Results, Http/www KCPE/results. How to Get KCPE Results How to Get KCPE Results 2022 How to Get KCPE Results 2023 How to Get KCPE Results 2024 How to Get Your KCPE Index Number How to Know Your KCPE Score? How to Pass KCPE 2022 How to Pass KCPE 2023 How to Pass KCPE 2024 How to Pass KCPE Kiswahili How to Pass KCPE Mathematics How to Pass KCSE 2022 How to Pass KCSE 2023 How to Pass KCSE 2024 How to Receive the 2022 KCPE Results How to Receive the 2023 KCPE Results How to Receive the 2024 KCPE Results How Will I Get My KCPE Result Http://www.knec.ac.ke Http://www.knec.ac.ke, Knec Website, Knec Results 2022 KCPE, KCPE 2022 Results Online, KCPE 2022 Result, KCPE 2022 Results, KCPE 2022 Online Results, Http://www.knec.ac.ke, Knec Website, Knec Results 2023 KCPE, KCPE 2023 Results Online, KCPE 2023 Result, KCPE 2023 Results, KCPE 2023 Online Results, Http://www.knec.ac.ke, Knec Website, Knec Results 2024 KCPE, KCPE 2024 Results Online, KCPE 2024 Result, KCPE 2024 Results, KCPE 2024 Online Results, Http://www.knec.ac.ke/ Humility Was My Secret, Top Girl in 2022 KCPE Wants to Be Neurosurgeon Humility Was My Secret, Top Girl in 2023 KCPE Wants to Be Neurosurgeon Humility Was My Secret, Top Girl in 2024 KCPE Wants to Be Neurosurgeon I.want.sms.number.for.today.KCPE.result Impacts of Free Primary Education in Kenya In KCPE 2022 Students With 300+ In KCPE 2022 Students With 400+ In KCPE 2023 Students With 300+ In KCPE 2023 Students With 400+ In KCPE 2024 Students With 300+ In KCPE 2024 Students With 400+ Information on K.c.p.e Results Annunciation Is It Possible to Change Name in Educational Certificates? Is KCPE 2022 Results Out? Is KCPE 2022 Results Out? Yes Is KCPE 2023 Results Out? Is KCPE 2023 Results Out? Yes Is KCPE 2024 Results Out? Is KCPE 2024 Results Out? Yes Is KCPE Being Released Today Is KCPE Easy? Is KCPE Result Released? Isiolo County KCPE Results 2022 Isiolo County KCPE Results 2022/2022 Isiolo County KCPE Results 2023 Isiolo County KCPE Results 2023/2023 Isiolo County KCPE Results 2024 Isiolo County KCPE Results 2024/2024 Jobs in Europe 2022☆☛✅;australia Jobs for Foreigners With Visa Sponsorship. Nursing Australia Jobs for Foreigners With Visa Sponsorship. Unskilled Australia Jobs for Foreigners With Visa Sponsorship. Factory Worker Jobs, Driver Jobs, Farm Jobs, Nanny Jobs, Teaching Job 2022 Jobs in Europe 2023☆☛✅;australia Jobs for Foreigners With Visa Sponsorship. Nursing Australia Jobs for Foreigners With Visa Sponsorship. Unskilled Australia Jobs for Foreigners With Visa Sponsorship. Factory Worker Jobs, Driver Jobs, Farm Jobs, Nanny Jobs, Teaching Job 2023 Jobs in Europe 2024☆☛✅;australia Jobs for Foreigners With Visa Sponsorship. Nursing Australia Jobs for Foreigners With Visa Sponsorship. Unskilled Australia Jobs for Foreigners With Visa Sponsorship. Factory Worker Jobs, Driver Jobs, Farm Jobs, Nanny Jobs, Teaching Job 2024 K.c.p.e K.c.p.e 2022 Answers K.c.p.e 2022 Grading System K.c.p.e 2022 Mathematics K.c.p.e 2022 Prediction K.c.p.e 2023 Answers K.c.p.e 2023 Grading System K.c.p.e 2023 Mathematics K.c.p.e 2023 Prediction K.c.p.e 2024 Answers K.c.p.e 2024 Grading System K.c.p.e 2024 Mathematics K.c.p.e 2024 Prediction K.c.p.e Details Annouencement Period K.c.p.e Result 2022 Index Number 23528214006 K.c.p.e Result 2023 Index Number 23528214006 K.c.p.e Result 2024 Index Number 23528214006 K.c.p.e Results K.c.p.e Results 2022 K.c.p.e Results 2023 K.c.p.e Results 2024 K.c.p.e Results Kakamega County K.c.p.e Results Release K.c.p.e.2022 K.c.p.e.2023 K.c.p.e.2024 K.c.s.e 2022 Results K.c.s.e 2023 Results K.c.s.e 2024 Results K.c.s.e Results 2022 K.c.s.e Results 2023 K.c.s.e Results 2024 K.n.e.c, KCPE Results for 2022, KCPE Top 100 Schools, Www.KCPE Results.com, Www.knec.co.ke KCPE 2022 Results, 2022KCPE Results, K.n.e.c, KCPE Results for 2023, KCPE Top 100 Schools, Www.KCPE Results.com, Www.knec.co.ke KCPE 2023 Results, 2023KCPE Results, K.n.e.c, KCPE Results for 2024, KCPE Top 100 Schools, Www.KCPE Results.com, Www.knec.co.ke KCPE 2024 Results, 2024KCPE Results, Kajiado County KCPE Results 2022 Kajiado County KCPE Results 2022/2022 Kajiado County KCPE Results 2023 Kajiado County KCPE Results 2023/2023 Kajiado County KCPE Results 2024 Kajiado County KCPE Results 2024/2024 Kakamega County KCPE Results 2022 Kakamega County KCPE Results 2022/2022 Kakamega County KCPE Results 2023 Kakamega County KCPE Results 2023/2023 Kakamega County KCPE Results 2024 Kakamega County KCPE Results 2024/2024 Kakamega High School KCPE Results Karima Girls High School 2022 KCPE Results Karima Girls High School 2023 KCPE Results Karima Girls High School 2024 KCPE Results KCPE KCPE 2 21 Top Ten Schools in Nakuru KCPE 2022 KCPE 2022 Analysis KCPE 2022 Announcement KCPE 2022 Answers KCPE 2022 Dates KCPE 2022 Day of Announcement of Results KCPE 2022 December Timetable KCPE 2022 Exam Results to Be Announced Today KCPE 2022 Exams KCPE 2022 Grading System KCPE 2022 Grading System Per Subject KCPE 2022 KCPE Results 2022 KCPE 2022 Results Www.knec.ac.ke Knec Www.knec.ac.ke 2022 KCPE Results KCPE Results 2022 Www.knec.com Knec Results 2022 Top Schools in 2022 KCPE KCPE Results 2022 Knec KCPE Results 2022 Knec KCPE Results 2022 KCPE Results Online KCPE Timetable 2022 KCPE 2022 Results Ranking KCPE Results 2022 Top 100 Schools KCPE Results 2022 Top 100 Schools KCPE Results 2022 Top 100 Schools Knec KCPE Results 2022 Top 100 Schools KCPE 2022 Top Schools in KCPE 2022 KCPE 2022 KCPE Results 2022 Knec Results for Technical Institutions Http://www.knec.ac.ke 2022 KCPE Results Www. Knec. Ac. Ke Knec Results for Technical Colleges Knec Results 2022 Www.knec.ac.ke 2022 KCPE Results Knec Results for Colleges Knec KCPE Results Www.knec.co.ke Knec.ac.ke Knec Results Www.knec Knec.com Knec Website Knec 2022 Results Www.knec.com 2022 KCPE 2022 Results Knec KCPE 2022 Results Www.knec.ac.ke 2022 Results Www.kneck.com Knec Results Online Www.knec.ke Knec Results for Colleges 2022 Www.kneck.ac.ke Knec.co.ke Knec Technical Exams Results Www.knec.ac Knec 2022 Knec Result 2022 Knec KCPE Results 2022 Knec News Http://www.knec.ac.ke/ Www.knec .ac.ke KCPE Top Schools 2022 KCPE Results Knec Exam Results Knec Result KCPE 2022 KCPE 2022 Results Ranking Knec Results 2022 Kneck Results 2022 KCPE Results Online KCPE Result 2022 Kuccps Cluster Points KCPE Results 2022 Knec KCPE Results 2022 Knec KCPE Results KCPE Top Schools 2022 2022 KCPE Result KCPE 2022 Result KCPE Results Knec KCPE Results Knec KCPE Results 2022 2022 Top Schools Top 100 Schools in KCPE 2022 KCPE Results 2022 Top 100 Schools KCPE 2022 Results Top 100 Schools Knec KCPE 2022 Results KCPE 2022 Top Schools KCPE Online Results Top Schools in KCPE 2022 KCPE Timetable 2022 2022 KCPE Results Top 100 Schools KCPE 2022 Results Online KCPE Results 2022 Release Date KCPE Result Slip Download Makueni County KCPE Results 2022 Knec 2022 KCPE Result KCPE Results 2022 Online Top 100 Schools in KCPE 2022 Results Top Schools KCPE 2022 KCPE 2022 Grading System 2022 KCPE Top 100 Schools in KCPE 2022 Released in 2022 Top 100 KCPE 2022 Top 100 Schools in 2022 KCPE Online KCPE Results 2022 KCPE2022 KCPE Results 2022 Top 100 Schools Top KCPE Schools 2022 KCPE Results 2022 Top 100 Schools KCPE 2022 Top 100 Schools KCPE Online KCPE 2022 Announcement KCPE Results for 2022 2022 KCPE Results Online Online KCPE Results KCPE 2022 Online Results 2022 KCPE Results Www.knec.ac.ke 2022 KCPE Results Http://www.knec.ac.ke/ Www.knec .ac.ke Www.KCPE Results 2022 KCPE Results of 2022 KCPE Ranking 2022 KCPE 2022 Ranking KCPE Performance 2022 KCPE 2022 Results Release Date KCPE Results 2022 Top Schools Top 100 Schools in 2022 KCPE Results 2022 KCPE Ranking KCPE Registration 2022 How to Check KCPE Results Online Www.knec.ac.ke 2022 KCPE Results KCPE 2022 Results Ranking When Will KCPE Results 2022 Be Released KCPE 2022 Results Release Date Www.knec.com 2022 2022 KCPE Top Schools Knec KCPE Results KCPE 2022 Grading System Kakamega High School KCPE Results KCPE Results 2022 Knec 2022 KCPE Results Www.kneck.com Knec KCPE Results 2022 KCPE Results for 2022 Release of KCPE Results 2022 2022 KCPE Results Date 2022 KCPE Grading System KCPE 2022 Results Knec KCPE 2022 Results KCPE Release Date 2022 KCPE Results of 2022 When Will KCPE 2022 Be Released KCPE2022 KCPE Grades and Points KCPE Results Release KCPE 2022 Results Per School KCPE 2022 Results Release Dates KCPE Registration 2022 KCPE Results When Are KCPE Results 2022 Being Released KCPE Results Announcement KCPE Results News 2022 KCPE Results KCPE Release Date Www.knec.ke KCPE Results 2022 Release 2022 KCPE Release KCPE Release 2022 KCPE Results Release Date KCPE Grading System 2022 KCPE KCPE Results 2022 Release Date KCPE 2022 Results Announcement 2022 KCPE Release Date When Will KCPE 2022 Results Be Released 2022 KCPE Results Release Release of KCPE 2022 Release of KCPE 2022 Results KCPE Timetable 2022 Release of 2022 KCPE Results KCPE Results Release Date KCPE 2022 Results KCPE 2022 Result KCPE 2022 Release 2022 KCPE Result KCPE Result 2022 KCPE KCPE Results 2022 KCPE Results 2022 Release Date Www.knec.co.ke KCPE Result 2022 KCPE 2022 Announcement Www.knec Knec Website 2022 KCPE Results KCPE Results Online KCPE 2022 Release Date Knec Knec News Www.knec.ac.ke Knec Grading System 2022 Knec KCPE Results Www.kneck.com Www.knec.com Knec.com Www.kneck.com Www.knec.co.ke Knec KCPE 2022 Results Knec Latest News Knec KCPE Results 2022 Www.knec.com 2022 Knec 2022 Results Knec Results 2022 Www.knec.ke Knec Results Knec.ac.ke Www.knec.ac.ke Knec KCPE Results KCPE Results Online Knec Results 2022 KCPE 2022 Announcement KCPE Result Slip 2022 Knec Website Www.knec Knec Grading System 2022 Knec.com Knec KCPE Results 2022 Knec.ac.ke KCPE Grading System 2022 KCPE Results 2022 Release Date KCPE Results 2022 Top 100 Schools Knec Exams 2022.grading Knec KCPE Results KCPE 2022 Results Ranking Knec KCPE Results 2022 KCPE 2022 Results Per School Knec Grading System 2022 Top 100 Schools in KCPE 2022 Released in 2022 KCPE 2022 Grading System School KCPE Results 2022 Top Schools in Machakos County KCPE 2022 KCPE Results Slip Bishop Gatimu KCPE 2022 Results Karima Girls High School 2022 KCPE Results 2022 KCPE Grading System Top Schools in Embu County KCPE 2022 KCPE Result 2022 KCPE Results 2022 Online Mangu High School 2022 KCPE Results KCPE 2022 Results Top 100 Schools KCPE 2022 Results KCPE Result Slip Download How to Download KCPE Result Slip KCPE Results 2022 Top 100 Schools Knec KCPE Results KCPE Results 2022 Alliance High School 2022 KCPE Results How to Download KCPE Result Slip KCPE Results Slip KCPE Result Slip 2022 KCPE Results 2022 Top 100 Schools KCPE Result Slip 2022 KCPE Results 2022 KCPE 2022 Results Moi Girls Isinya 2022 KCPE Results Girls 2022 KCPE Results Knec KCPE Results KCPE Results KCPE 2022 Grading System KCPE Results Release KCPE 2022 KCPE Results 2022 Top 100 Schools KCPE Grading System 2022 2022 KCPE Results KCPE 2022 Results Ranking KCPE Results Online KCPE 2022 Grading System KCPE Result 2022 Www.knec.ac.ke Knec Www.knec.com Knec KCPE Results Www.knec.co.ke Knec KCPE Results Knec Results Knec.ac.ke Http://www.knec.ac.ke Knec Website Knec KCPE Results 2022 Knec 2022 KCPE Results Knec 2022 Results Knec KCPE 2022 Results Www.knec Knec.co.ke Www.knec.com 2022 Knec.com Www.kneck.com Knec Result Knec KCPE 2022 Knec KCPE Www.knec.ac.com Knec Grading System 2022 Knec Result 2022 Www.knec.ac.ke/ Www.knec-results.ac.ke Knec KCPE Result 2022 KCPE 2022 Results KCPE Results 2022 How to Check KCPE Results Online Bungoma County KCPE Results Knec Exam Results KCPE Results 2022 Knec Results for Colleges KCPE 2022 Results Top 100 Schools Www.KCPE 2022 KCPE Result Slip Download KCPE 2022 Results KCPE 2022 KCPE Knec Results Knec Results KCPE 2022 KCPE Result 2022 Top 100 How to Check KCPE Results 2022 Knec News 2022 KCPE Exam Release Top 100 KCPE 2022 KCPE2022 KCPE 2022 Result KCPE Results 2022 Online How to Check KCPE Results Top Student KCPE 2022 KCPE 2022 Results Online Knec KCPE Result Www.knec Results.com Knec Results 2022 KCPE Kiambu County 2022 KCPE Results Www.KCPE Results 2022.com KCPE2022 Results Knec KCPE Result KCPE Results 2022 Top 100 Schools Top 100 KCPE Candidates 2022 Kitui County KCPE Results 2022 How to Get KCPE Results 2022 KCPE Results 2022 Top 100 Schools KCPE Exam Results Online KCPE Results 2022 2022 KCPE How to Check KCPE Results via Sms KCPE Code Bomet County KCPE Results Top Students KCPE 2022 2022 KCPE Results Online KCPE Results 2022 Top 100 Schools How to Check KCPE Results for the Whole School KCPE Results 2022 Release Date KCPE 2022 Results Ranking 2022 KCPE Results KCPE Results 2022 Top 100 Schools KCPE Results 2022 Per School Knec KCPE 2022 Results Download KCPE Grades and Points - Date for Release of KCPE - Date of Releasing 2022 KCPE Results - KCPE Results 2022 Release Date - Knec News Today KCPE 2022 KCPE Results 2022 KCPE 2022 Results Www.knec.ac.ke Knec Www.knec.ac.ke 2022 KCPE Results KCPE Results 2022 Www.knec.com Knec Results 2022 Top Schools in 2022 KCPE KCPE Results 2022 Knec KCPE Results 2022 Knec KCPE Results 2022 KCPE Results Online KCPE Timetable 2022 KCPE 2022 Results Ranking KCPE Results 2022 Top 100 Schools KCPE Results 2022 Top 100 Schools KCPE Results 2022 Top 100 Schools Knec KCPE Results 2022 Top 100 Schools KCPE 2022 Top Schools in KCPE 2022 KCPE 2022 KCPE Results 2022 Knec Results for Technical Institutions Http://www.knec.ac.ke 2022 KCPE Results Www. Knec. Ac. Ke Knec Results for Technical Colleges Knec Results 2022 Www.knec.ac.ke 2022 KCPE Results Knec Results for Colleges Knec KCPE Results Www.knec.co.ke Knec.ac.ke Knec Results Www.knec Knec.com Knec Website Knec 2022 Results Www.knec.com 2022 KCPE 2022 Results Knec KCPE 2022 Results Www.knec.ac.ke 2022 Results Www.kneck.com Knec Results Online Www.knec.ke Knec Results for Colleges 2022 Www.kneck.ac.ke Knec.co.ke Knec Technical Exams Results Www.knec.ac Knec 2022 Knec Result 2022 Knec KCPE Results 2022 Knec News Http://www.knec.ac.ke/ Www.knec .ac.ke KCPE Top Schools 2022 KCPE Results Knec Exam Results Knec Result KCPE 2022 KCPE 2022 Results Ranking Knec Results 2022 Kneck Results 2022 KCPE Results Online KCPE Result 2022 Kuccps Cluster Points KCPE Results 2022 Knec KCPE Results 2022 Knec KCPE Results KCPE Top Schools 2022 2022 KCPE Result KCPE 2022 Result KCPE Results Knec KCPE Results Knec KCPE Results 2022 2022 Top Schools Top 100 Schools in KCPE 2022 KCPE Results 2022 Top 100 Schools KCPE 2022 Results Top 100 Schools Knec KCPE 2022 Results KCPE 2022 Top Schools KCPE Online Results Top Schools in KCPE 2022 KCPE Timetable 2022 2022 KCPE Results Top 100 Schools KCPE 2022 Results Online KCPE Results 2022 Release Date KCPE Result Slip Download Makueni County KCPE Results 2022 Knec 2022 KCPE Result KCPE Results 2022 Online Top 100 Schools in KCPE 2022 Results Top Schools KCPE 2022 KCPE 2022 Grading System 2022 KCPE Top 100 Schools in KCPE 2022 Released in 2022 Top 100 KCPE 2022 Top 100 Schools in 2022 KCPE Online KCPE Results 2022 KCPE2022 KCPE Results 2022 Top 100 Schools Top KCPE Schools 2022 KCPE Results 2022 Top 100 Schools KCPE 2022 Top 100 Schools KCPE Online KCPE 2022 Announcement KCPE Results for 2022 2022 KCPE Results Online Online KCPE Results KCPE 2022 Online Results 2022 KCPE Results Www.knec.ac.ke 2022 KCPE Results Http://www.knec.ac.ke/ Www.knec .ac.ke Www.KCPE Results 2022 KCPE Results of 2022 KCPE Ranking 2022 KCPE 2022 Ranking KCPE Performance 2022 KCPE 2022 Results Release Date KCPE Results 2022 Top Schools Top 100 Schools in 2022 KCPE Results 2022 KCPE Ranking KCPE Registration 2022 How to Check KCPE Results Online Www.knec.ac.ke 2022 KCPE Results KCPE 2022 Results Ranking When Will KCPE Results 2022 Be Released KCPE 2022 Results Release Date Www.knec.com 2022 2022 KCPE Top Schools Knec KCPE Results KCPE 2022 Grading System Kakamega High School KCPE Results KCPE Results 2022 Knec 2022 KCPE Results Www.kneck.com Knec KCPE Results 2022 KCPE Results for 2022 Release of KCPE Results 2022 2022 KCPE Results Date 2022 KCPE Grading System KCPE 2022 Results Knec KCPE 2022 Results KCPE Release Date 2022 KCPE Results of 2022 When Will KCPE 2022 Be Released KCPE2022 KCPE Grades and Points KCPE Results Release KCPE 2022 Results Per School KCPE 2022 Results Release Dates KCPE Registration 2022 KCPE Results When Are KCPE Results 2022 Being Released KCPE Results Announcement KCPE Results News 2022 KCPE Results KCPE Release Date Www.knec.ke KCPE Results 2022 Release 2022 KCPE Release KCPE Release 2022 KCPE Results Release Date KCPE Grading System 2022 KCPE KCPE Results 2022 Release Date KCPE 2022 Results Announcement 2022 KCPE Release Date When Will KCPE 2022 Results Be Released 2022 KCPE Results Release Release of KCPE 2022 Release of KCPE 2022 Results KCPE Timetable 2022 Release of 2022 KCPE Results KCPE Results Release Date KCPE 2022 Results KCPE 2022 Result KCPE 2022 Release 2022 KCPE Result KCPE Result 2022 KCPE KCPE Results 2022 KCPE Results 2022 Release Date Www.knec.co.ke KCPE Result 2022 KCPE 2022 Announcement Www.knec Knec Website 2022 KCPE Results KCPE Results Online KCPE 2022 Release Date Knec Knec News Www.knec.ac.ke Knec Grading System 2022 Knec KCPE Results Www.kneck.com Www.knec.com Knec.com Www.kneck.com Www.knec.co.ke Knec KCPE 2022 Results Knec Latest News Knec KCPE Results 2022 Www.knec.com 2022 Knec 2022 Results Knec Results 2022 Www.knec.ke Knec Results Knec.ac.ke Www.knec.ac.ke Knec KCPE Results KCPE Results Online Knec Results 2022 KCPE 2022 Announcement KCPE Result Slip 2022 Knec Website Www.knec Knec Grading System 2022 Knec.com Knec KCPE Results 2022 Knec.ac.ke KCPE Grading System 2022 KCPE Results 2022 Release Date KCPE Results 2022 Top 100 Schools Knec Exams 2022.grading Knec KCPE Results KCPE 2022 Results Ranking Knec KCPE Results 2022 KCPE 2022 Results Per School Knec Grading System 2022 Top 100 Schools in KCPE 2022 Released in 2022 KCPE 2022 Grading System School KCPE Results 2022 Top Schools in Machakos County KCPE 2022 KCPE Results Slip Bishop Gatimu KCPE 2022 Results Karima Girls High School 2022 KCPE Results 2022 KCPE Grading System Top Schools in Embu County KCPE 2022 KCPE Result 2022 KCPE Results 2022 Online Mangu High School 2022 KCPE Results KCPE 2022 Results Top 100 Schools KCPE 2022 Results KCPE Result Slip Download How to Download KCPE Result Slip KCPE Results 2022 Top 100 Schools Knec KCPE Results KCPE Results 2022 School 2022 KCPE Results How to Download KCPE Result Slip KCPE Results Slip KCPE Result Slip 2022 KCPE Results 2022 Top 100 Schools KCPE Result Slip 2022 KCPE Results 2022 KCPE 2022 Results Moi Girls Isinya 2022 KCPE Results Girls 2022 KCPE Results Knec KCPE Results KCPE Results KCPE 2022 Grading System KCPE Results Release KCPE 2022 KCPE Results 2022 Top 100 Schools KCPE Grading System 2022 2022 KCPE Results KCPE 2022 Results Ranking KCPE Results Online KCPE 2022 Grading System KCPE Result 2022 Www.knec.ac.ke Knec Www.knec.com Knec KCPE Results Www.knec.co.ke Knec KCPE Results Knec Results Knec.ac.ke Http://www.knec.ac.ke Knec Website Knec KCPE Results 2022 Knec 2022 KCPE Results Knec 2022 Results Knec KCPE 2022 Results Www.knec Knec.co.ke Www.knec.com 2022 Knec.com Www.kneck.com Knec Result Knec KCPE 2022 Knec KCPE Www.knec.ac.com Knec Grading System 2022 Knec Result 2022 Www.knec.ac.ke/ Www.knec-results.ac.ke Knec KCPE Result 2022 KCPE 2022 Results KCPE Results 2022 How to Check KCPE Results Online Bungoma County KCPE Results Knec Exam Results KCPE Results 2022 Knec Results for Colleges KCPE 2022 Results Top 100 Schools Www.KCPE 2022 KCPE Result Slip Download KCPE 2022 Results KCPE 2022 KCPE Knec Results Knec Results KCPE 2022 KCPE Result 2022 Top 100 How to Check KCPE Results 2022 Knec News 2022 KCPE Exam Release Top 100 KCPE 2022 KCPE2022 KCPE 2022 Result KCPE Results 2022 Online How to Check KCPE Results Top Student KCPE 2022 KCPE 2022 Results Online Knec KCPE Result Www.knec Results.com Knec Results 2022 KCPE Kiambu County 2022 KCPE Results Www.KCPE Results 2022.com KCPE2022 Results Knec KCPE Result KCPE Results 2022 Top 100 Schools Top 100 KCPE Candidates 2022 Kitui County KCPE Results 2022 How to Get KCPE Results 2022 KCPE Results 2022 Top 100 Schools KCPE Exam Results Online KCPE Results 2022 2022 KCPE How to Check KCPE Results via Sms KCPE Code Bomet County KCPE Results Top Students KCPE 2022 2022 KCPE Results Online KCPE Results 2022 Top 100 Schools How to Check KCPE Results for the Whole School KCPE Results 2022 Release Date KCPE 2022 Results Ranking 2022 KCPE Results KCPE Results 2022 Top 100 Schools KCPE Results 2022 Per School Knec KCPE 2022 Results Download KCPE Grades and Points KCPE 2022 Leakage KCPE 2022 Leakage Biology KCPE 2022 Marking Scheme KCPE 2022 Maths KCPE 2022 News KCPE 2022 Online Results KCPE 2022 Online Results, KCPE 2022 Results Online, KCPE 2022 Result, KCPE Results 2022, 2022 KCPE Results Online, 2022 KCPE Online Results, KCPE 2022 Papers KCPE 2022 Prediction KCPE 2022 Prediction Questions KCPE 2022 Prediction Questions and Answers KCPE 2022 Ranking KCPE 2022 Release KCPE 2022 Release Date KCPE 2022 Release Dates KCPE 2022 Released; Receive Your KCPE 2022 Results KCPE 2022 Result KCPE 2022 Result Announcement. KCPE 2022 Result Release Date KCPE 2022 Result Release Date? KCPE 2022 Result Release Day KCPE 2022 Result Slips, Online KCPE 2022 Results, KCPE Results 2022, KCPE Results, KCPE, KCPE 2022, 2022 KCPE Results, KCPE 2022 Results, KCPE Result 2022, KCPE Class of 2022, KCPE Class of 2022, 2022 KCPE, KCPE Results 2022, KCPE Knec Results, KCPE Results Online for Knec, Www.knec.com, KCPE 2022 Result, KCPE 2022 Results, KCPE 2022 Results, Knec Website KCPE Results 2022, KCPE 2022 Result, KCPE. Results 2022, K.n.e.c Website, KCPE 2022. Online Results, KCPE Knec Results, KCPE Result, KCPE 2022 Result, Top 100 Schools in 2022 KCPE Results, KCPE 2022 Online, KCPE Result Online, Release of 2022 KCPE Results, KCPE 2022 Result, Top 100 Schools in KCPE 2022, KCPE2022, 2022 KCPE Results Online, 2022 KCPE Result, 2022 KCPE Results, KCPE 2022, KCPE Online, KCPE Results Kenya 2022, KCPE 2022 Results KCPE 2022 Results Analysis KCPE 2022 Results Announcement KCPE 2022 Results Baringo County KCPE 2022 Results Bomet County KCPE 2022 Results Bungoma County KCPE 2022 Results Busia County KCPE 2022 Results Central KCPE 2022 Results Date KCPE 2022 Results Date of Release Updates KCPE 2022 Results Download KCPE 2022 Results Eastern KCPE 2022 Results Elgeyo-marakwet County KCPE 2022 Results Embu County KCPE 2022 Results Garissa County KCPE 2022 Results Homa Bay County KCPE 2022 Results Isiolo County KCPE 2022 Results Kajiado County KCPE 2022 Results Kakamega County KCPE 2022 Results Kericho County KCPE 2022 Results Kiambu County KCPE 2022 Results Kilifi County KCPE 2022 Results Kirinyaga County KCPE 2022 Results Kisii County KCPE 2022 Results Kisumu County KCPE 2022 Results Kitui County KCPE 2022 Results Kwale County KCPE 2022 Results Laikipia County KCPE 2022 Results Lamu County KCPE 2022 Results Machakos County KCPE 2022 Results Makueni County KCPE 2022 Results Mandera County KCPE 2022 Results Marsabit County KCPE 2022 Results Meru County KCPE 2022 Results Migori County KCPE 2022 Results Mombasa County KCPE 2022 Results Murang'a County KCPE 2022 Results Nairobi KCPE 2022 Results Nairobi County KCPE 2022 Results Nakuru County KCPE 2022 Results Nandi County KCPE 2022 Results Narok County KCPE 2022 Results North Eastern KCPE 2022 Results Nyamira County KCPE 2022 Results Nyandarua County KCPE 2022 Results Nyanza KCPE 2022 Results Nyeri County KCPE 2022 Results Online KCPE 2022 Results Online Check, KCPE Results 2022 Per School, Top 100 Candidates KCPE 2022, Www.knec.co.ke KCPE 2022 Results, KCPE 2022 Results Out KCPE 2022 Results Out Tomorrow KCPE 2022 Results Per School KCPE 2022 Results Ranking KCPE 2022 Results Release KCPE 2022 Results Release Date KCPE 2022 Results Release Date by Knec KCPE 2022 Results Release Dates KCPE 2022 Results Release Day KCPE 2022 Results Release Day and Dates KCPE 2022 Results Rift Valley KCPE 2022 Results Samburu County KCPE 2022 Results Siaya County KCPE 2022 Results Taita-taveta County KCPE 2022 Results Tana River County KCPE 2022 Results Tharaka-nithi County KCPE 2022 Results Top 100 Schools KCPE 2022 Results Top 100 Students KCPE 2022 Results Top Schools KCPE 2022 Results Trans-nzoia County KCPE 2022 Results Turkana County KCPE 2022 Results Uasin Gishu County KCPE 2022 Results Vihiga County KCPE 2022 Results Wajir County KCPE 2022 Results West Pokot County KCPE 2022 Results Western KCPE 2022 Results Will Be Released Tomorrow KCPE 2022 Results, KCPE 2022 Online Results, KCPE Results 2022 Top 100 Schools, Knec KCPE 2022, Online KCPE Results, 2022 KCPE Results, KCPE 2022 Results, KCPE 2022 Results, KCPE, 2022 KCPE Results, KCPE Result 2022, KCPE Results 2022 Top 100 Schools, KCPE Results Online, KCPE Results 2022 Online, KCPE 2022 Results, Knec., Online KCPE Results, Top 100 Schools KCPE 2022, https://www.advance-africa.com/KCPE-results.html, KCPE 2022 Revised Final Timetable Download KCPE 2022 School Ranking KCPE 2022 Science KCPE 2022 Timetable KCPE 2022 Timetable Exam KCPE 2022 Timetable Pdf KCPE 2022 Top 100 Schools KCPE 2022 Top Schools KCPE 2022, Knec KCPE Results 2022, KCPE 2022 Results, KCPE, Knec Results, Knec KCPE Results 2022, Knec Results 2022, KCPE 2022/2022 Results Baringo County KCPE 2022/2022 Results Bomet County KCPE 2022/2022 Results Bungoma County KCPE 2022/2022 Results Busia County KCPE 2022/2022 Results Central KCPE 2022/2022 Results Eastern KCPE 2022/2022 Results Elgeyo-marakwet County KCPE 2022/2022 Results Embu County KCPE 2022/2022 Results Garissa County KCPE 2022/2022 Results Homa Bay County KCPE 2022/2022 Results Isiolo County KCPE 2022/2022 Results Kajiado County KCPE 2022/2022 Results Kakamega County KCPE 2022/2022 Results Kericho County KCPE 2022/2022 Results Kiambu County KCPE 2022/2022 Results Kilifi County KCPE 2022/2022 Results Kirinyaga County KCPE 2022/2022 Results Kisii County KCPE 2022/2022 Results Kisumu County KCPE 2022/2022 Results Kitui County KCPE 2022/2022 Results Kwale County KCPE 2022/2022 Results Laikipia County KCPE 2022/2022 Results Lamu County KCPE 2022/2022 Results Machakos County KCPE 2022/2022 Results Makueni County KCPE 2022/2022 Results Mandera County KCPE 2022/2022 Results Marsabit County KCPE 2022/2022 Results Meru County KCPE 2022/2022 Results Migori County KCPE 2022/2022 Results Mombasa County KCPE 2022/2022 Results Murang'a County KCPE 2022/2022 Results Nairobi KCPE 2022/2022 Results Nairobi County KCPE 2022/2022 Results Nakuru County KCPE 2022/2022 Results Nandi County KCPE 2022/2022 Results Narok County KCPE 2022/2022 Results North Eastern KCPE 2022/2022 Results Nyamira County KCPE 2022/2022 Results Nyandarua County KCPE 2022/2022 Results Nyanza KCPE 2022/2022 Results Nyeri County KCPE 2022/2022 Results Rift Valley KCPE 2022/2022 Results Samburu County KCPE 2022/2022 Results Siaya County KCPE 2022/2022 Results Taita-taveta County KCPE 2022/2022 Results Tana River County KCPE 2022/2022 Results Tharaka-nithi County KCPE 2022/2022 Results Trans-nzoia County KCPE 2022/2022 Results Turkana County KCPE 2022/2022 Results Uasin Gishu County KCPE 2022/2022 Results Vihiga County KCPE 2022/2022 Results Wajir County KCPE 2022/2022 Results West Pokot County KCPE 2022/2022 Results Western KCPE 2022online Result, KCPE Results 2022 Knec, KCPE Results2022, KCPE Results 2022 Online, Knec KCPE, Knec KCPE Results 2022 Online, KCPE 2023 KCPE 2023 Analysis KCPE 2023 Announcement KCPE 2023 Answers KCPE 2023 Dates KCPE 2023 Day of Announcement of Results KCPE 2023 December Timetable KCPE 2023 Exam Results to Be Announced Today KCPE 2023 Exams KCPE 2023 Grading System KCPE 2023 Grading System Per Subject KCPE 2023 KCPE Results 2023 KCPE 2023 Results Www.knec.ac.ke Knec Www.knec.ac.ke 2023 KCPE Results KCPE Results 2023 Www.knec.com Knec Results 2023 Top Schools in 2023 KCPE KCPE Results 2023 Knec KCPE Results 2023 Knec KCPE Results 2023 KCPE Results Online KCPE Timetable 2023 KCPE 2023 Results Ranking KCPE Results 2023 Top 100 Schools KCPE Results 2023 Top 100 Schools KCPE Results 2023 Top 100 Schools Knec KCPE Results 2023 Top 100 Schools KCPE 2023 Top Schools in KCPE 2023 KCPE 2023 KCPE Results 2023 Knec Results for Technical Institutions Http://www.knec.ac.ke 2023 KCPE Results Www. Knec. Ac. Ke Knec Results for Technical Colleges Knec Results 2023 Www.knec.ac.ke 2023 KCPE Results Knec Results for Colleges Knec KCPE Results Www.knec.co.ke Knec.ac.ke Knec Results Www.knec Knec.com Knec Website Knec 2023 Results Www.knec.com 2023 KCPE 2023 Results Knec KCPE 2023 Results Www.knec.ac.ke 2023 Results Www.kneck.com Knec Results Online Www.knec.ke Knec Results for Colleges 2023 Www.kneck.ac.ke Knec.co.ke Knec Technical Exams Results Www.knec.ac Knec 2023 Knec Result 2023 Knec KCPE Results 2023 Knec News Http://www.knec.ac.ke/ Www.knec .ac.ke KCPE Top Schools 2023 KCPE Results Knec Exam Results Knec Result KCPE 2023 KCPE 2023 Results Ranking Knec Results 2023 Kneck Results 2023 KCPE Results Online KCPE Result 2023 Kuccps Cluster Points KCPE Results 2023 Knec KCPE Results 2023 Knec KCPE Results KCPE Top Schools 2023 2023 KCPE Result KCPE 2023 Result KCPE Results Knec KCPE Results Knec KCPE Results 2023 2023 Top Schools Top 100 Schools in KCPE 2023 KCPE Results 2023 Top 100 Schools KCPE 2023 Results Top 100 Schools Knec KCPE 2023 Results KCPE 2023 Top Schools KCPE Online Results Top Schools in KCPE 2023 KCPE Timetable 2023 2023 KCPE Results Top 100 Schools KCPE 2023 Results Online KCPE Results 2023 Release Date KCPE Result Slip Download Makueni County KCPE Results 2023 Knec 2023 KCPE Result KCPE Results 2023 Online Top 100 Schools in KCPE 2023 Results Top Schools KCPE 2023 KCPE 2023 Grading System 2023 KCPE Top 100 Schools in KCPE 2023 Released in 2023 Top 100 KCPE 2023 Top 100 Schools in 2023 KCPE Online KCPE Results 2023 KCPE2023 KCPE Results 2023 Top 100 Schools Top KCPE Schools 2023 KCPE Results 2023 Top 100 Schools KCPE 2023 Top 100 Schools KCPE Online KCPE 2023 Announcement KCPE Results for 2023 2023 KCPE Results Online Online KCPE Results KCPE 2023 Online Results 2023 KCPE Results Www.knec.ac.ke 2023 KCPE Results Http://www.knec.ac.ke/ Www.knec .ac.ke Www.KCPE Results 2023 KCPE Results of 2023 KCPE Ranking 2023 KCPE 2023 Ranking KCPE Performance 2023 KCPE 2023 Results Release Date KCPE Results 2023 Top Schools Top 100 Schools in 2023 KCPE Results 2023 KCPE Ranking KCPE Registration 2023 How to Check KCPE Results Online Www.knec.ac.ke 2023 KCPE Results KCPE 2023 Results Ranking When Will KCPE Results 2023 Be Released KCPE 2023 Results Release Date Www.knec.com 2023 2023 KCPE Top Schools Knec KCPE Results KCPE 2023 Grading System Kakamega High School KCPE Results KCPE Results 2023 Knec 2023 KCPE Results Www.kneck.com Knec KCPE Results 2023 KCPE Results for 2023 Release of KCPE Results 2023 2023 KCPE Results Date 2023 KCPE Grading System KCPE 2023 Results Knec KCPE 2023 Results KCPE Release Date 2023 KCPE Results of 2023 When Will KCPE 2023 Be Released KCPE2023 KCPE Grades and Points KCPE Results Release KCPE 2023 Results Per School KCPE 2023 Results Release Dates KCPE Registration 2023 KCPE Results When Are KCPE Results 2023 Being Released KCPE Results Announcement KCPE Results News 2023 KCPE Results KCPE Release Date Www.knec.ke KCPE Results 2023 Release 2023 KCPE Release KCPE Release 2023 KCPE Results Release Date KCPE Grading System 2023 KCPE KCPE Results 2023 Release Date KCPE 2023 Results Announcement 2023 KCPE Release Date When Will KCPE 2023 Results Be Released 2023 KCPE Results Release Release of KCPE 2023 Release of KCPE 2023 Results KCPE Timetable 2023 Release of 2023 KCPE Results KCPE Results Release Date KCPE 2023 Results KCPE 2023 Result KCPE 2023 Release 2023 KCPE Result KCPE Result 2023 KCPE KCPE Results 2023 KCPE Results 2023 Release Date Www.knec.co.ke KCPE Result 2023 KCPE 2023 Announcement Www.knec Knec Website 2023 KCPE Results KCPE Results Online KCPE 2023 Release Date Knec Knec News Www.knec.ac.ke Knec Grading System 2023 Knec KCPE Results Www.kneck.com Www.knec.com Knec.com Www.kneck.com Www.knec.co.ke Knec KCPE 2023 Results Knec Latest News Knec KCPE Results 2023 Www.knec.com 2023 Knec 2023 Results Knec Results 2023 Www.knec.ke Knec Results Knec.ac.ke Www.knec.ac.ke Knec KCPE Results KCPE Results Online Knec Results 2023 KCPE 2023 Announcement KCPE Result Slip 2023 Knec Website Www.knec Knec Grading System 2023 Knec.com Knec KCPE Results 2023 Knec.ac.ke KCPE Grading System 2023 KCPE Results 2023 Release Date KCPE Results 2023 Top 100 Schools Knec Exams 2023.grading Knec KCPE Results KCPE 2023 Results Ranking Knec KCPE Results 2023 KCPE 2023 Results Per School Knec Grading System 2023 Top 100 Schools in KCPE 2023 Released in 2023 KCPE 2023 Grading System School KCPE Results 2023 Top Schools in Machakos County KCPE 2023 KCPE Results Slip Bishop Gatimu KCPE 2023 Results Karima Girls High School 2023 KCPE Results 2023 KCPE Grading System Top Schools in Embu County KCPE 2023 KCPE Result 2023 KCPE Results 2023 Online Mangu High School 2023 KCPE Results KCPE 2023 Results Top 100 Schools KCPE 2023 Results KCPE Result Slip Download How to Download KCPE Result Slip KCPE Results 2023 Top 100 Schools Knec KCPE Results KCPE Results 2023 Alliance High School 2023 KCPE Results How to Download KCPE Result Slip KCPE Results Slip KCPE Result Slip 2023 KCPE Results 2023 Top 100 Schools KCPE Result Slip 2023 KCPE Results 2023 KCPE 2023 Results Moi Girls Isinya 2023 KCPE Results Girls 2023 KCPE Results Knec KCPE Results KCPE Results KCPE 2023 Grading System KCPE Results Release KCPE 2023 KCPE Results 2023 Top 100 Schools KCPE Grading System 2023 2023 KCPE Results KCPE 2023 Results Ranking KCPE Results Online KCPE 2023 Grading System KCPE Result 2023 Www.knec.ac.ke Knec Www.knec.com Knec KCPE Results Www.knec.co.ke Knec KCPE Results Knec Results Knec.ac.ke Http://www.knec.ac.ke Knec Website Knec KCPE Results 2023 Knec 2023 KCPE Results Knec 2023 Results Knec KCPE 2023 Results Www.knec Knec.co.ke Www.knec.com 2023 Knec.com Www.kneck.com Knec Result Knec KCPE 2023 Knec KCPE Www.knec.ac.com Knec Grading System 2023 Knec Result 2023 Www.knec.ac.ke/ Www.knec-results.ac.ke Knec KCPE Result 2023 KCPE 2023 Results KCPE Results 2023 How to Check KCPE Results Online Bungoma County KCPE Results Knec Exam Results KCPE Results 2023 Knec Results for Colleges KCPE 2023 Results Top 100 Schools Www.KCPE 2023 KCPE Result Slip Download KCPE 2023 Results KCPE 2023 KCPE Knec Results Knec Results KCPE 2023 KCPE Result 2023 Top 100 How to Check KCPE Results 2023 Knec News 2023 KCPE Exam Release Top 100 KCPE 2023 KCPE2023 KCPE 2023 Result KCPE Results 2023 Online How to Check KCPE Results Top Student KCPE 2023 KCPE 2023 Results Online Knec KCPE Result Www.knec Results.com Knec Results 2023 KCPE Kiambu County 2023 KCPE Results Www.KCPE Results 2023.com KCPE2023 Results Knec KCPE Result KCPE Results 2023 Top 100 Schools Top 100 KCPE Candidates 2023 Kitui County KCPE Results 2023 How to Get KCPE Results 2023 KCPE Results 2023 Top 100 Schools KCPE Exam Results Online KCPE Results 2023 2023 KCPE How to Check KCPE Results via Sms KCPE Code Bomet County KCPE Results Top Students KCPE 2023 2023 KCPE Results Online KCPE Results 2023 Top 100 Schools How to Check KCPE Results for the Whole School KCPE Results 2023 Release Date KCPE 2023 Results Ranking 2023 KCPE Results KCPE Results 2023 Top 100 Schools KCPE Results 2023 Per School Knec KCPE 2023 Results Download KCPE Grades and Points - Date for Release of KCPE - Date of Releasing 2023 KCPE Results - KCPE Results 2023 Release Date - Knec News Today KCPE 2023 KCPE Results 2023 KCPE 2023 Results Www.knec.ac.ke Knec Www.knec.ac.ke 2023 KCPE Results KCPE Results 2023 Www.knec.com Knec Results 2023 Top Schools in 2023 KCPE KCPE Results 2023 Knec KCPE Results 2023 Knec KCPE Results 2023 KCPE Results Online KCPE Timetable 2023 KCPE 2023 Results Ranking KCPE Results 2023 Top 100 Schools KCPE Results 2023 Top 100 Schools KCPE Results 2023 Top 100 Schools Knec KCPE Results 2023 Top 100 Schools KCPE 2023 Top Schools in KCPE 2023 KCPE 2023 KCPE Results 2023 Knec Results for Technical Institutions Http://www.knec.ac.ke 2023 KCPE Results Www. Knec. Ac. Ke Knec Results for Technical Colleges Knec Results 2023 Www.knec.ac.ke 2023 KCPE Results Knec Results for Colleges Knec KCPE Results Www.knec.co.ke Knec.ac.ke Knec Results Www.knec Knec.com Knec Website Knec 2023 Results Www.knec.com 2023 KCPE 2023 Results Knec KCPE 2023 Results Www.knec.ac.ke 2023 Results Www.kneck.com Knec Results Online Www.knec.ke Knec Results for Colleges 2023 Www.kneck.ac.ke Knec.co.ke Knec Technical Exams Results Www.knec.ac Knec 2023 Knec Result 2023 Knec KCPE Results 2023 Knec News Http://www.knec.ac.ke/ Www.knec .ac.ke KCPE Top Schools 2023 KCPE Results Knec Exam Results Knec Result KCPE 2023 KCPE 2023 Results Ranking Knec Results 2023 Kneck Results 2023 KCPE Results Online KCPE Result 2023 Kuccps Cluster Points KCPE Results 2023 Knec KCPE Results 2023 Knec KCPE Results KCPE Top Schools 2023 2023 KCPE Result KCPE 2023 Result KCPE Results Knec KCPE Results Knec KCPE Results 2023 2023 Top Schools Top 100 Schools in KCPE 2023 KCPE Results 2023 Top 100 Schools KCPE 2023 Results Top 100 Schools Knec KCPE 2023 Results KCPE 2023 Top Schools KCPE Online Results Top Schools in KCPE 2023 KCPE Timetable 2023 2023 KCPE Results Top 100 Schools KCPE 2023 Results Online KCPE Results 2023 Release Date KCPE Result Slip Download Makueni County KCPE Results 2023 Knec 2023 KCPE Result KCPE Results 2023 Online Top 100 Schools in KCPE 2023 Results Top Schools KCPE 2023 KCPE 2023 Grading System 2023 KCPE Top 100 Schools in KCPE 2023 Released in 2023 Top 100 KCPE 2023 Top 100 Schools in 2023 KCPE Online KCPE Results 2023 KCPE2023 KCPE Results 2023 Top 100 Schools Top KCPE Schools 2023 KCPE Results 2023 Top 100 Schools KCPE 2023 Top 100 Schools KCPE Online KCPE 2023 Announcement KCPE Results for 2023 2023 KCPE Results Online Online KCPE Results KCPE 2023 Online Results 2023 KCPE Results Www.knec.ac.ke 2023 KCPE Results Http://www.knec.ac.ke/ Www.knec .ac.ke Www.KCPE Results 2023 KCPE Results of 2023 KCPE Ranking 2023 KCPE 2023 Ranking KCPE Performance 2023 KCPE 2023 Results Release Date KCPE Results 2023 Top Schools Top 100 Schools in 2023 KCPE Results 2023 KCPE Ranking KCPE Registration 2023 How to Check KCPE Results Online Www.knec.ac.ke 2023 KCPE Results KCPE 2023 Results Ranking When Will KCPE Results 2023 Be Released KCPE 2023 Results Release Date Www.knec.com 2023 2023 KCPE Top Schools Knec KCPE Results KCPE 2023 Grading System Kakamega High School KCPE Results KCPE Results 2023 Knec 2023 KCPE Results Www.kneck.com Knec KCPE Results 2023 KCPE Results for 2023 Release of KCPE Results 2023 2023 KCPE Results Date 2023 KCPE Grading System KCPE 2023 Results Knec KCPE 2023 Results KCPE Release Date 2023 KCPE Results of 2023 When Will KCPE 2023 Be Released KCPE2023 KCPE Grades and Points KCPE Results Release KCPE 2023 Results Per School KCPE 2023 Results Release Dates KCPE Registration 2023 KCPE Results When Are KCPE Results 2023 Being Released KCPE Results Announcement KCPE Results News 2023 KCPE Results KCPE Release Date Www.knec.ke KCPE Results 2023 Release 2023 KCPE Release KCPE Release 2023 KCPE Results Release Date KCPE Grading System 2023 KCPE KCPE Results 2023 Release Date KCPE 2023 Results Announcement 2023 KCPE Release Date When Will KCPE 2023 Results Be Released 2023 KCPE Results Release Release of KCPE 2023 Release of KCPE 2023 Results KCPE Timetable 2023 Release of 2023 KCPE Results KCPE Results Release Date KCPE 2023 Results KCPE 2023 Result KCPE 2023 Release 2023 KCPE Result KCPE Result 2023 KCPE KCPE Results 2023 KCPE Results 2023 Release Date Www.knec.co.ke KCPE Result 2023 KCPE 2023 Announcement Www.knec Knec Website 2023 KCPE Results KCPE Results Online KCPE 2023 Release Date Knec Knec News Www.knec.ac.ke Knec Grading System 2023 Knec KCPE Results Www.kneck.com Www.knec.com Knec.com Www.kneck.com Www.knec.co.ke Knec KCPE 2023 Results Knec Latest News Knec KCPE Results 2023 Www.knec.com 2023 Knec 2023 Results Knec Results 2023 Www.knec.ke Knec Results Knec.ac.ke Www.knec.ac.ke Knec KCPE Results KCPE Results Online Knec Results 2023 KCPE 2023 Announcement KCPE Result Slip 2023 Knec Website Www.knec Knec Grading System 2023 Knec.com Knec KCPE Results 2023 Knec.ac.ke KCPE Grading System 2023 KCPE Results 2023 Release Date KCPE Results 2023 Top 100 Schools Knec Exams 2023.grading Knec KCPE Results KCPE 2023 Results Ranking Knec KCPE Results 2023 KCPE 2023 Results Per School Knec Grading System 2023 Top 100 Schools in KCPE 2023 Released in 2023 KCPE 2023 Grading System School KCPE Results 2023 Top Schools in Machakos County KCPE 2023 KCPE Results Slip Bishop Gatimu KCPE 2023 Results Karima Girls High School 2023 KCPE Results 2023 KCPE Grading System Top Schools in Embu County KCPE 2023 KCPE Result 2023 KCPE Results 2023 Online Mangu High School 2023 KCPE Results KCPE 2023 Results Top 100 Schools KCPE 2023 Results KCPE Result Slip Download How to Download KCPE Result Slip KCPE Results 2023 Top 100 Schools Knec KCPE Results KCPE Results 2023 School 2023 KCPE Results How to Download KCPE Result Slip KCPE Results Slip KCPE Result Slip 2023 KCPE Results 2023 Top 100 Schools KCPE Result Slip 2023 KCPE Results 2023 KCPE 2023 Results Moi Girls Isinya 2023 KCPE Results Girls 2023 KCPE Results Knec KCPE Results KCPE Results KCPE 2023 Grading System KCPE Results Release KCPE 2023 KCPE Results 2023 Top 100 Schools KCPE Grading System 2023 2023 KCPE Results KCPE 2023 Results Ranking KCPE Results Online KCPE 2023 Grading System KCPE Result 2023 Www.knec.ac.ke Knec Www.knec.com Knec KCPE Results Www.knec.co.ke Knec KCPE Results Knec Results Knec.ac.ke Http://www.knec.ac.ke Knec Website Knec KCPE Results 2023 Knec 2023 KCPE Results Knec 2023 Results Knec KCPE 2023 Results Www.knec Knec.co.ke Www.knec.com 2023 Knec.com Www.kneck.com Knec Result Knec KCPE 2023 Knec KCPE Www.knec.ac.com Knec Grading System 2023 Knec Result 2023 Www.knec.ac.ke/ Www.knec-results.ac.ke Knec KCPE Result 2023 KCPE 2023 Results KCPE Results 2023 How to Check KCPE Results Online Bungoma County KCPE Results Knec Exam Results KCPE Results 2023 Knec Results for Colleges KCPE 2023 Results Top 100 Schools Www.KCPE 2023 KCPE Result Slip Download KCPE 2023 Results KCPE 2023 KCPE Knec Results Knec Results KCPE 2023 KCPE Result 2023 Top 100 How to Check KCPE Results 2023 Knec News 2023 KCPE Exam Release Top 100 KCPE 2023 KCPE2023 KCPE 2023 Result KCPE Results 2023 Online How to Check KCPE Results Top Student KCPE 2023 KCPE 2023 Results Online Knec KCPE Result Www.knec Results.com Knec Results 2023 KCPE Kiambu County 2023 KCPE Results Www.KCPE Results 2023.com KCPE2023 Results Knec KCPE Result KCPE Results 2023 Top 100 Schools Top 100 KCPE Candidates 2023 Kitui County KCPE Results 2023 How to Get KCPE Results 2023 KCPE Results 2023 Top 100 Schools KCPE Exam Results Online KCPE Results 2023 2023 KCPE How to Check KCPE Results via Sms KCPE Code Bomet County KCPE Results Top Students KCPE 2023 2023 KCPE Results Online KCPE Results 2023 Top 100 Schools How to Check KCPE Results for the Whole School KCPE Results 2023 Release Date KCPE 2023 Results Ranking 2023 KCPE Results KCPE Results 2023 Top 100 Schools KCPE Results 2023 Per School Knec KCPE 2023 Results Download KCPE Grades and Points KCPE 2023 Leakage KCPE 2023 Leakage Biology KCPE 2023 Marking Scheme KCPE 2023 Maths KCPE 2023 News KCPE 2023 Online Results KCPE 2023 Online Results, KCPE 2023 Results Online, KCPE 2023 Result, KCPE Results 2023, 2023 KCPE Results Online, 2023 KCPE Online Results, KCPE 2023 Papers KCPE 2023 Prediction KCPE 2023 Prediction Questions KCPE 2023 Prediction Questions and Answers KCPE 2023 Ranking KCPE 2023 Release KCPE 2023 Release Date KCPE 2023 Release Dates KCPE 2023 Released; Receive Your KCPE 2023 Results KCPE 2023 Result KCPE 2023 Result Announcement. KCPE 2023 Result Release Date KCPE 2023 Result Release Date? KCPE 2023 Result Release Day KCPE 2023 Result Slips, Online KCPE 2023 Results, KCPE Results 2023, KCPE Results, KCPE, KCPE 2023, 2023 KCPE Results, KCPE 2023 Results, KCPE Result 2023, KCPE Class of 2023, KCPE Class of 2023, 2023 KCPE, KCPE Results 2023, KCPE Knec Results, KCPE Results Online for Knec, Www.knec.com, KCPE 2023 Result, KCPE 2023 Results, KCPE 2023 Results, Knec Website KCPE Results 2023, KCPE 2023 Result, KCPE. Results 2023, K.n.e.c Website, KCPE 2023. Online Results, KCPE Knec Results, KCPE Result, KCPE 2023 Result, Top 100 Schools in 2023 KCPE Results, KCPE 2023 Online, KCPE Result Online, Release of 2023 KCPE Results, KCPE 2023 Result, Top 100 Schools in KCPE 2023, KCPE2023, 2023 KCPE Results Online, 2023 KCPE Result, 2023 KCPE Results, KCPE 2023, KCPE Online, KCPE Results Kenya 2023, KCPE 2023 Results KCPE 2023 Results Analysis KCPE 2023 Results Announcement KCPE 2023 Results Baringo County KCPE 2023 Results Bomet County KCPE 2023 Results Bungoma County KCPE 2023 Results Busia County KCPE 2023 Results Central KCPE 2023 Results Date KCPE 2023 Results Date of Release Updates KCPE 2023 Results Download KCPE 2023 Results Eastern KCPE 2023 Results Elgeyo-marakwet County KCPE 2023 Results Embu County KCPE 2023 Results Garissa County KCPE 2023 Results Homa Bay County KCPE 2023 Results Isiolo County KCPE 2023 Results Kajiado County KCPE 2023 Results Kakamega County KCPE 2023 Results Kericho County KCPE 2023 Results Kiambu County KCPE 2023 Results Kilifi County KCPE 2023 Results Kirinyaga County KCPE 2023 Results Kisii County KCPE 2023 Results Kisumu County KCPE 2023 Results Kitui County KCPE 2023 Results Kwale County KCPE 2023 Results Laikipia County KCPE 2023 Results Lamu County KCPE 2023 Results Machakos County KCPE 2023 Results Makueni County KCPE 2023 Results Mandera County KCPE 2023 Results Marsabit County KCPE 2023 Results Meru County KCPE 2023 Results Migori County KCPE 2023 Results Mombasa County KCPE 2023 Results Murang'a County KCPE 2023 Results Nairobi KCPE 2023 Results Nairobi County KCPE 2023 Results Nakuru County KCPE 2023 Results Nandi County KCPE 2023 Results Narok County KCPE 2023 Results North Eastern KCPE 2023 Results Nyamira County KCPE 2023 Results Nyandarua County KCPE 2023 Results Nyanza KCPE 2023 Results Nyeri County KCPE 2023 Results Online KCPE 2023 Results Online Check, KCPE Results 2023 Per School, Top 100 Candidates KCPE 2023, Www.knec.co.ke KCPE 2023 Results, KCPE 2023 Results Out KCPE 2023 Results Out Tomorrow KCPE 2023 Results Per School KCPE 2023 Results Ranking KCPE 2023 Results Release KCPE 2023 Results Release Date KCPE 2023 Results Release Date by Knec KCPE 2023 Results Release Dates KCPE 2023 Results Release Day KCPE 2023 Results Release Day and Dates KCPE 2023 Results Rift Valley KCPE 2023 Results Samburu County KCPE 2023 Results Siaya County KCPE 2023 Results Taita-taveta County KCPE 2023 Results Tana River County KCPE 2023 Results Tharaka-nithi County KCPE 2023 Results Top 100 Schools KCPE 2023 Results Top 100 Students KCPE 2023 Results Top Schools KCPE 2023 Results Trans-nzoia County KCPE 2023 Results Turkana County KCPE 2023 Results Uasin Gishu County KCPE 2023 Results Vihiga County KCPE 2023 Results Wajir County KCPE 2023 Results West Pokot County KCPE 2023 Results Western KCPE 2023 Results Will Be Released Tomorrow KCPE 2023 Results, KCPE 2023 Online Results, KCPE Results 2023 Top 100 Schools, Knec KCPE 2023, Online KCPE Results, 2023 KCPE Results, KCPE 2023 Results, KCPE 2023 Results, KCPE, 2023 KCPE Results, KCPE Result 2023, KCPE Results 2023 Top 100 Schools, KCPE Results Online, KCPE Results 2023 Online, KCPE 2023 Results, Knec., Online KCPE Results, Top 100 Schools KCPE 2023, https://www.advance-africa.com/KCPE-results.html, KCPE 2023 Revised Final Timetable Download KCPE 2023 School Ranking KCPE 2023 Science KCPE 2023 Timetable KCPE 2023 Timetable Exam KCPE 2023 Timetable Pdf KCPE 2023 Top 100 Schools KCPE 2023 Top Schools KCPE 2023, Knec KCPE Results 2023, KCPE 2023 Results, KCPE, Knec Results, Knec KCPE Results 2023, Knec Results 2023, KCPE 2023/2023 Results Baringo County KCPE 2023/2023 Results Bomet County KCPE 2023/2023 Results Bungoma County KCPE 2023/2023 Results Busia County KCPE 2023/2023 Results Central KCPE 2023/2023 Results Eastern KCPE 2023/2023 Results Elgeyo-marakwet County KCPE 2023/2023 Results Embu County KCPE 2023/2023 Results Garissa County KCPE 2023/2023 Results Homa Bay County KCPE 2023/2023 Results Isiolo County KCPE 2023/2023 Results Kajiado County KCPE 2023/2023 Results Kakamega County KCPE 2023/2023 Results Kericho County KCPE 2023/2023 Results Kiambu County KCPE 2023/2023 Results Kilifi County KCPE 2023/2023 Results Kirinyaga County KCPE 2023/2023 Results Kisii County KCPE 2023/2023 Results Kisumu County KCPE 2023/2023 Results Kitui County KCPE 2023/2023 Results Kwale County KCPE 2023/2023 Results Laikipia County KCPE 2023/2023 Results Lamu County KCPE 2023/2023 Results Machakos County KCPE 2023/2023 Results Makueni County KCPE 2023/2023 Results Mandera County KCPE 2023/2023 Results Marsabit County KCPE 2023/2023 Results Meru County KCPE 2023/2023 Results Migori County KCPE 2023/2023 Results Mombasa County KCPE 2023/2023 Results Murang'a County KCPE 2023/2023 Results Nairobi KCPE 2023/2023 Results Nairobi County KCPE 2023/2023 Results Nakuru County KCPE 2023/2023 Results Nandi County KCPE 2023/2023 Results Narok County KCPE 2023/2023 Results North Eastern KCPE 2023/2023 Results Nyamira County KCPE 2023/2023 Results Nyandarua County KCPE 2023/2023 Results Nyanza KCPE 2023/2023 Results Nyeri County KCPE 2023/2023 Results Rift Valley KCPE 2023/2023 Results Samburu County KCPE 2023/2023 Results Siaya County KCPE 2023/2023 Results Taita-taveta County KCPE 2023/2023 Results Tana River County KCPE 2023/2023 Results Tharaka-nithi County KCPE 2023/2023 Results Trans-nzoia County KCPE 2023/2023 Results Turkana County KCPE 2023/2023 Results Uasin Gishu County KCPE 2023/2023 Results Vihiga County KCPE 2023/2023 Results Wajir County KCPE 2023/2023 Results West Pokot County KCPE 2023/2023 Results Western KCPE 2023online Result, KCPE Results 2023 Knec, KCPE Results2023, KCPE Results 2023 Online, Knec KCPE, Knec KCPE Results 2023 Online, KCPE 2024 KCPE 2024 Analysis KCPE 2024 Announcement KCPE 2024 Answers KCPE 2024 Dates KCPE 2024 Day of Announcement of Results KCPE 2024 December Timetable KCPE 2024 Exam Results to Be Announced Today KCPE 2024 Exams KCPE 2024 Grading System KCPE 2024 Grading System Per Subject KCPE 2024 KCPE Results 2024 KCPE 2024 Results Www.knec.ac.ke Knec Www.knec.ac.ke 2024 KCPE Results KCPE Results 2024 Www.knec.com Knec Results 2024 Top Schools in 2024 KCPE KCPE Results 2024 Knec KCPE Results 2024 Knec KCPE Results 2024 KCPE Results Online KCPE Timetable 2024 KCPE 2024 Results Ranking KCPE Results 2024 Top 100 Schools KCPE Results 2024 Top 100 Schools KCPE Results 2024 Top 100 Schools Knec KCPE Results 2024 Top 100 Schools KCPE 2024 Top Schools in KCPE 2024 KCPE 2024 KCPE Results 2024 Knec Results for Technical Institutions Http://www.knec.ac.ke 2024 KCPE Results Www. Knec. Ac. Ke Knec Results for Technical Colleges Knec Results 2024 Www.knec.ac.ke 2024 KCPE Results Knec Results for Colleges Knec KCPE Results Www.knec.co.ke Knec.ac.ke Knec Results Www.knec Knec.com Knec Website Knec 2024 Results Www.knec.com 2024 KCPE 2024 Results Knec KCPE 2024 Results Www.knec.ac.ke 2024 Results Www.kneck.com Knec Results Online Www.knec.ke Knec Results for Colleges 2024 Www.kneck.ac.ke Knec.co.ke Knec Technical Exams Results Www.knec.ac Knec 2024 Knec Result 2024 Knec KCPE Results 2024 Knec News Http://www.knec.ac.ke/ Www.knec .ac.ke KCPE Top Schools 2024 KCPE Results Knec Exam Results Knec Result KCPE 2024 KCPE 2024 Results Ranking Knec Results 2024 Kneck Results 2024 KCPE Results Online KCPE Result 2024 Kuccps Cluster Points KCPE Results 2024 Knec KCPE Results 2024 Knec KCPE Results KCPE Top Schools 2024 2024 KCPE Result KCPE 2024 Result KCPE Results Knec KCPE Results Knec KCPE Results 2024 2024 Top Schools Top 100 Schools in KCPE 2024 KCPE Results 2024 Top 100 Schools KCPE 2024 Results Top 100 Schools Knec KCPE 2024 Results KCPE 2024 Top Schools KCPE Online Results Top Schools in KCPE 2024 KCPE Timetable 2024 2024 KCPE Results Top 100 Schools KCPE 2024 Results Online KCPE Results 2024 Release Date KCPE Result Slip Download Makueni County KCPE Results 2024 Knec 2024 KCPE Result KCPE Results 2024 Online Top 100 Schools in KCPE 2024 Results Top Schools KCPE 2024 KCPE 2024 Grading System 2024 KCPE Top 100 Schools in KCPE 2024 Released in 2024 Top 100 KCPE 2024 Top 100 Schools in 2024 KCPE Online KCPE Results 2024 KCPE2024 KCPE Results 2024 Top 100 Schools Top KCPE Schools 2024 KCPE Results 2024 Top 100 Schools KCPE 2024 Top 100 Schools KCPE Online KCPE 2024 Announcement KCPE Results for 2024 2024 KCPE Results Online Online KCPE Results KCPE 2024 Online Results 2024 KCPE Results Www.knec.ac.ke 2024 KCPE Results Http://www.knec.ac.ke/ Www.knec .ac.ke Www.KCPE Results 2024 KCPE Results of 2024 KCPE Ranking 2024 KCPE 2024 Ranking KCPE Performance 2024 KCPE 2024 Results Release Date KCPE Results 2024 Top Schools Top 100 Schools in 2024 KCPE Results 2024 KCPE Ranking KCPE Registration 2024 How to Check KCPE Results Online Www.knec.ac.ke 2024 KCPE Results KCPE 2024 Results Ranking When Will KCPE Results 2024 Be Released KCPE 2024 Results Release Date Www.knec.com 2024 2024 KCPE Top Schools Knec KCPE Results KCPE 2024 Grading System Kakamega High School KCPE Results KCPE Results 2024 Knec 2024 KCPE Results Www.kneck.com Knec KCPE Results 2024 KCPE Results for 2024 Release of KCPE Results 2024 2024 KCPE Results Date 2024 KCPE Grading System KCPE 2024 Results Knec KCPE 2024 Results KCPE Release Date 2024 KCPE Results of 2024 When Will KCPE 2024 Be Released KCPE2024 KCPE Grades and Points KCPE Results Release KCPE 2024 Results Per School KCPE 2024 Results Release Dates KCPE Registration 2024 KCPE Results When Are KCPE Results 2024 Being Released KCPE Results Announcement KCPE Results News 2024 KCPE Results KCPE Release Date Www.knec.ke KCPE Results 2024 Release 2024 KCPE Release KCPE Release 2024 KCPE Results Release Date KCPE Grading System 2024 KCPE KCPE Results 2024 Release Date KCPE 2024 Results Announcement 2024 KCPE Release Date When Will KCPE 2024 Results Be Released 2024 KCPE Results Release Release of KCPE 2024 Release of KCPE 2024 Results KCPE Timetable 2024 Release of 2024 KCPE Results KCPE Results Release Date KCPE 2024 Results KCPE 2024 Result KCPE 2024 Release 2024 KCPE Result KCPE Result 2024 KCPE KCPE Results 2024 KCPE Results 2024 Release Date Www.knec.co.ke KCPE Result 2024 KCPE 2024 Announcement Www.knec Knec Website 2024 KCPE Results KCPE Results Online KCPE 2024 Release Date Knec Knec News Www.knec.ac.ke Knec Grading System 2024 Knec KCPE Results Www.kneck.com Www.knec.com Knec.com Www.kneck.com Www.knec.co.ke Knec KCPE 2024 Results Knec Latest News Knec KCPE Results 2024 Www.knec.com 2024 Knec 2024 Results Knec Results 2024 Www.knec.ke Knec Results Knec.ac.ke Www.knec.ac.ke Knec KCPE Results KCPE Results Online Knec Results 2024 KCPE 2024 Announcement KCPE Result Slip 2024 Knec Website Www.knec Knec Grading System 2024 Knec.com Knec KCPE Results 2024 Knec.ac.ke KCPE Grading System 2024 KCPE Results 2024 Release Date KCPE Results 2024 Top 100 Schools Knec Exams 2024.grading Knec KCPE Results KCPE 2024 Results Ranking Knec KCPE Results 2024 KCPE 2024 Results Per School Knec Grading System 2024 Top 100 Schools in KCPE 2024 Released in 2024 KCPE 2024 Grading System School KCPE Results 2024 Top Schools in Machakos County KCPE 2024 KCPE Results Slip Bishop Gatimu KCPE 2024 Results Karima Girls High School 2024 KCPE Results 2024 KCPE Grading System Top Schools in Embu County KCPE 2024 KCPE Result 2024 KCPE Results 2024 Online Mangu High School 2024 KCPE Results KCPE 2024 Results Top 100 Schools KCPE 2024 Results KCPE Result Slip Download How to Download KCPE Result Slip KCPE Results 2024 Top 100 Schools Knec KCPE Results KCPE Results 2024 Alliance High School 2024 KCPE Results How to Download KCPE Result Slip KCPE Results Slip KCPE Result Slip 2024 KCPE Results 2024 Top 100 Schools KCPE Result Slip 2024 KCPE Results 2024 KCPE 2024 Results Moi Girls Isinya 2024 KCPE Results Girls 2024 KCPE Results Knec KCPE Results KCPE Results KCPE 2024 Grading System KCPE Results Release KCPE 2024 KCPE Results 2024 Top 100 Schools KCPE Grading System 2024 2024 KCPE Results KCPE 2024 Results Ranking KCPE Results Online KCPE 2024 Grading System KCPE Result 2024 Www.knec.ac.ke Knec Www.knec.com Knec KCPE Results Www.knec.co.ke Knec KCPE Results Knec Results Knec.ac.ke Http://www.knec.ac.ke Knec Website Knec KCPE Results 2024 Knec 2024 KCPE Results Knec 2024 Results Knec KCPE 2024 Results Www.knec Knec.co.ke Www.knec.com 2024 Knec.com Www.kneck.com Knec Result Knec KCPE 2024 Knec KCPE Www.knec.ac.com Knec Grading System 2024 Knec Result 2024 Www.knec.ac.ke/ Www.knec-results.ac.ke Knec KCPE Result 2024 KCPE 2024 Results KCPE Results 2024 How to Check KCPE Results Online Bungoma County KCPE Results Knec Exam Results KCPE Results 2024 Knec Results for Colleges KCPE 2024 Results Top 100 Schools Www.KCPE 2024 KCPE Result Slip Download KCPE 2024 Results KCPE 2024 KCPE Knec Results Knec Results KCPE 2024 KCPE Result 2024 Top 100 How to Check KCPE Results 2024 Knec News 2024 KCPE Exam Release Top 100 KCPE 2024 KCPE2024 KCPE 2024 Result KCPE Results 2024 Online How to Check KCPE Results Top Student KCPE 2024 KCPE 2024 Results Online Knec KCPE Result Www.knec Results.com Knec Results 2024 KCPE Kiambu County 2024 KCPE Results Www.KCPE Results 2024.com KCPE2024 Results Knec KCPE Result KCPE Results 2024 Top 100 Schools Top 100 KCPE Candidates 2024 Kitui County KCPE Results 2024 How to Get KCPE Results 2024 KCPE Results 2024 Top 100 Schools KCPE Exam Results Online KCPE Results 2024 2024 KCPE How to Check KCPE Results via Sms KCPE Code Bomet County KCPE Results Top Students KCPE 2024 2024 KCPE Results Online KCPE Results 2024 Top 100 Schools How to Check KCPE Results for the Whole School KCPE Results 2024 Release Date KCPE 2024 Results Ranking 2024 KCPE Results KCPE Results 2024 Top 100 Schools KCPE Results 2024 Per School Knec KCPE 2024 Results Download KCPE Grades and Points - Date for Release of KCPE - Date of Releasing 2024 KCPE Results - KCPE Results 2024 Release Date - Knec News Today KCPE 2024 KCPE Results 2024 KCPE 2024 Results Www.knec.ac.ke Knec Www.knec.ac.ke 2024 KCPE Results KCPE Results 2024 Www.knec.com Knec Results 2024 Top Schools in 2024 KCPE KCPE Results 2024 Knec KCPE Results 2024 Knec KCPE Results 2024 KCPE Results Online KCPE Timetable 2024 KCPE 2024 Results Ranking KCPE Results 2024 Top 100 Schools KCPE Results 2024 Top 100 Schools KCPE Results 2024 Top 100 Schools Knec KCPE Results 2024 Top 100 Schools KCPE 2024 Top Schools in KCPE 2024 KCPE 2024 KCPE Results 2024 Knec Results for Technical Institutions Http://www.knec.ac.ke 2024 KCPE Results Www. Knec. Ac. Ke Knec Results for Technical Colleges Knec Results 2024 Www.knec.ac.ke 2024 KCPE Results Knec Results for Colleges Knec KCPE Results Www.knec.co.ke Knec.ac.ke Knec Results Www.knec Knec.com Knec Website Knec 2024 Results Www.knec.com 2024 KCPE 2024 Results Knec KCPE 2024 Results Www.knec.ac.ke 2024 Results Www.kneck.com Knec Results Online Www.knec.ke Knec Results for Colleges 2024 Www.kneck.ac.ke Knec.co.ke Knec Technical Exams Results Www.knec.ac Knec 2024 Knec Result 2024 Knec KCPE Results 2024 Knec News Http://www.knec.ac.ke/ Www.knec .ac.ke KCPE Top Schools 2024 KCPE Results Knec Exam Results Knec Result KCPE 2024 KCPE 2024 Results Ranking Knec Results 2024 Kneck Results 2024 KCPE Results Online KCPE Result 2024 Kuccps Cluster Points KCPE Results 2024 Knec KCPE Results 2024 Knec KCPE Results KCPE Top Schools 2024 2024 KCPE Result KCPE 2024 Result KCPE Results Knec KCPE Results Knec KCPE Results 2024 2024 Top Schools Top 100 Schools in KCPE 2024 KCPE Results 2024 Top 100 Schools KCPE 2024 Results Top 100 Schools Knec KCPE 2024 Results KCPE 2024 Top Schools KCPE Online Results Top Schools in KCPE 2024 KCPE Timetable 2024 2024 KCPE Results Top 100 Schools KCPE 2024 Results Online KCPE Results 2024 Release Date KCPE Result Slip Download Makueni County KCPE Results 2024 Knec 2024 KCPE Result KCPE Results 2024 Online Top 100 Schools in KCPE 2024 Results Top Schools KCPE 2024 KCPE 2024 Grading System 2024 KCPE Top 100 Schools in KCPE 2024 Released in 2024 Top 100 KCPE 2024 Top 100 Schools in 2024 KCPE Online KCPE Results 2024 KCPE2024 KCPE Results 2024 Top 100 Schools Top KCPE Schools 2024 KCPE Results 2024 Top 100 Schools KCPE 2024 Top 100 Schools KCPE Online KCPE 2024 Announcement KCPE Results for 2024 2024 KCPE Results Online Online KCPE Results KCPE 2024 Online Results 2024 KCPE Results Www.knec.ac.ke 2024 KCPE Results Http://www.knec.ac.ke/ Www.knec .ac.ke Www.KCPE Results 2024 KCPE Results of 2024 KCPE Ranking 2024 KCPE 2024 Ranking KCPE Performance 2024 KCPE 2024 Results Release Date KCPE Results 2024 Top Schools Top 100 Schools in 2024 KCPE Results 2024 KCPE Ranking KCPE Registration 2024 How to Check KCPE Results Online Www.knec.ac.ke 2024 KCPE Results KCPE 2024 Results Ranking When Will KCPE Results 2024 Be Released KCPE 2024 Results Release Date Www.knec.com 2024 2024 KCPE Top Schools Knec KCPE Results KCPE 2024 Grading System Kakamega High School KCPE Results KCPE Results 2024 Knec 2024 KCPE Results Www.kneck.com Knec KCPE Results 2024 KCPE Results for 2024 Release of KCPE Results 2024 2024 KCPE Results Date 2024 KCPE Grading System KCPE 2024 Results Knec KCPE 2024 Results KCPE Release Date 2024 KCPE Results of 2024 When Will KCPE 2024 Be Released KCPE2024 KCPE Grades and Points KCPE Results Release KCPE 2024 Results Per School KCPE 2024 Results Release Dates KCPE Registration 2024 KCPE Results When Are KCPE Results 2024 Being Released KCPE Results Announcement KCPE Results News 2024 KCPE Results KCPE Release Date Www.knec.ke KCPE Results 2024 Release 2024 KCPE Release KCPE Release 2024 KCPE Results Release Date KCPE Grading System 2024 KCPE KCPE Results 2024 Release Date KCPE 2024 Results Announcement 2024 KCPE Release Date When Will KCPE 2024 Results Be Released 2024 KCPE Results Release Release of KCPE 2024 Release of KCPE 2024 Results KCPE Timetable 2024 Release of 2024 KCPE Results KCPE Results Release Date KCPE 2024 Results KCPE 2024 Result KCPE 2024 Release 2024 KCPE Result KCPE Result 2024 KCPE KCPE Results 2024 KCPE Results 2024 Release Date Www.knec.co.ke KCPE Result 2024 KCPE 2024 Announcement Www.knec Knec Website 2024 KCPE Results KCPE Results Online KCPE 2024 Release Date Knec Knec News Www.knec.ac.ke Knec Grading System 2024 Knec KCPE Results Www.kneck.com Www.knec.com Knec.com Www.kneck.com Www.knec.co.ke Knec KCPE 2024 Results Knec Latest News Knec KCPE Results 2024 Www.knec.com 2024 Knec 2024 Results Knec Results 2024 Www.knec.ke Knec Results Knec.ac.ke Www.knec.ac.ke Knec KCPE Results KCPE Results Online Knec Results 2024 KCPE 2024 Announcement KCPE Result Slip 2024 Knec Website Www.knec Knec Grading System 2024 Knec.com Knec KCPE Results 2024 Knec.ac.ke KCPE Grading System 2024 KCPE Results 2024 Release Date KCPE Results 2024 Top 100 Schools Knec Exams 2024.grading Knec KCPE Results KCPE 2024 Results Ranking Knec KCPE Results 2024 KCPE 2024 Results Per School Knec Grading System 2024 Top 100 Schools in KCPE 2024 Released in 2024 KCPE 2024 Grading System School KCPE Results 2024 Top Schools in Machakos County KCPE 2024 KCPE Results Slip Bishop Gatimu KCPE 2024 Results Karima Girls High School 2024 KCPE Results 2024 KCPE Grading System Top Schools in Embu County KCPE 2024 KCPE Result 2024 KCPE Results 2024 Online Mangu High School 2024 KCPE Results KCPE 2024 Results Top 100 Schools KCPE 2024 Results KCPE Result Slip Download How to Download KCPE Result Slip KCPE Results 2024 Top 100 Schools Knec KCPE Results KCPE Results 2024 School 2024 KCPE Results How to Download KCPE Result Slip KCPE Results Slip KCPE Result Slip 2024 KCPE Results 2024 Top 100 Schools KCPE Result Slip 2024 KCPE Results 2024 KCPE 2024 Results Moi Girls Isinya 2024 KCPE Results Girls 2024 KCPE Results Knec KCPE Results KCPE Results KCPE 2024 Grading System KCPE Results Release KCPE 2024 KCPE Results 2024 Top 100 Schools KCPE Grading System 2024 2024 KCPE Results KCPE 2024 Results Ranking KCPE Results Online KCPE 2024 Grading System KCPE Result 2024 Www.knec.ac.ke Knec Www.knec.com Knec KCPE Results Www.knec.co.ke Knec KCPE Results Knec Results Knec.ac.ke Http://www.knec.ac.ke Knec Website Knec KCPE Results 2024 Knec 2024 KCPE Results Knec 2024 Results Knec KCPE 2024 Results Www.knec Knec.co.ke Www.knec.com 2024 Knec.com Www.kneck.com Knec Result Knec KCPE 2024 Knec KCPE Www.knec.ac.com Knec Grading System 2024 Knec Result 2024 Www.knec.ac.ke/ Www.knec-results.ac.ke Knec KCPE Result 2024 KCPE 2024 Results KCPE Results 2024 How to Check KCPE Results Online Bungoma County KCPE Results Knec Exam Results KCPE Results 2024 Knec Results for Colleges KCPE 2024 Results Top 100 Schools Www.KCPE 2024 KCPE Result Slip Download KCPE 2024 Results KCPE 2024 KCPE Knec Results Knec Results KCPE 2024 KCPE Result 2024 Top 100 How to Check KCPE Results 2024 Knec News 2024 KCPE Exam Release Top 100 KCPE 2024 KCPE2024 KCPE 2024 Result KCPE Results 2024 Online How to Check KCPE Results Top Student KCPE 2024 KCPE 2024 Results Online Knec KCPE Result Www.knec Results.com Knec Results 2024 KCPE Kiambu County 2024 KCPE Results Www.KCPE Results 2024.com KCPE2024 Results Knec KCPE Result KCPE Results 2024 Top 100 Schools Top 100 KCPE Candidates 2024 Kitui County KCPE Results 2024 How to Get KCPE Results 2024 KCPE Results 2024 Top 100 Schools KCPE Exam Results Online KCPE Results 2024 2024 KCPE How to Check KCPE Results via Sms KCPE Code Bomet County KCPE Results Top Students KCPE 2024 2024 KCPE Results Online KCPE Results 2024 Top 100 Schools How to Check KCPE Results for the Whole School KCPE Results 2024 Release Date KCPE 2024 Results Ranking 2024 KCPE Results KCPE Results 2024 Top 100 Schools KCPE Results 2024 Per School Knec KCPE 2024 Results Download KCPE Grades and Points KCPE 2024 Leakage KCPE 2024 Leakage Biology KCPE 2024 Marking Scheme KCPE 2024 Maths KCPE 2024 News KCPE 2024 Online Results KCPE 2024 Online Results, KCPE 2024 Results Online, KCPE 2024 Result, KCPE Results 2024, 2024 KCPE Results Online, 2024 KCPE Online Results, KCPE 2024 Papers KCPE 2024 Prediction KCPE 2024 Prediction Questions KCPE 2024 Prediction Questions and Answers KCPE 2024 Ranking KCPE 2024 Release KCPE 2024 Release Date KCPE 2024 Release Dates KCPE 2024 Released; Receive Your KCPE 2024 Results KCPE 2024 Result KCPE 2024 Result Announcement. KCPE 2024 Result Release Date KCPE 2024 Result Release Date? KCPE 2024 Result Release Day KCPE 2024 Result Slips, Online KCPE 2024 Results, KCPE Results 2024, KCPE Results, KCPE, KCPE 2024, 2024 KCPE Results, KCPE 2024 Results, KCPE Result 2024, KCPE Class of 2024, KCPE Class of 2024, 2024 KCPE, KCPE Results 2024, KCPE Knec Results, KCPE Results Online for Knec, Www.knec.com, KCPE 2024 Result, KCPE 2024 Results, KCPE 2024 Results, Knec Website KCPE Results 2024, KCPE 2024 Result, KCPE. Results 2024, K.n.e.c Website, KCPE 2024. Online Results, KCPE Knec Results, KCPE Result, KCPE 2024 Result, Top 100 Schools in 2024 KCPE Results, KCPE 2024 Online, KCPE Result Online, Release of 2024 KCPE Results, KCPE 2024 Result, Top 100 Schools in KCPE 2024, KCPE2024, 2024 KCPE Results Online, 2024 KCPE Result, 2024 KCPE Results, KCPE 2024, KCPE Online, KCPE Results Kenya 2024, KCPE 2024 Results KCPE 2024 Results Analysis KCPE 2024 Results Announcement KCPE 2024 Results Baringo County KCPE 2024 Results Bomet County KCPE 2024 Results Bungoma County KCPE 2024 Results Busia County KCPE 2024 Results Central KCPE 2024 Results Date KCPE 2024 Results Date of Release Updates KCPE 2024 Results Download KCPE 2024 Results Eastern KCPE 2024 Results Elgeyo-marakwet County KCPE 2024 Results Embu County KCPE 2024 Results Garissa County KCPE 2024 Results Homa Bay County KCPE 2024 Results Isiolo County KCPE 2024 Results Kajiado County KCPE 2024 Results Kakamega County KCPE 2024 Results Kericho County KCPE 2024 Results Kiambu County KCPE 2024 Results Kilifi County KCPE 2024 Results Kirinyaga County KCPE 2024 Results Kisii County KCPE 2024 Results Kisumu County KCPE 2024 Results Kitui County KCPE 2024 Results Kwale County KCPE 2024 Results Laikipia County KCPE 2024 Results Lamu County KCPE 2024 Results Machakos County KCPE 2024 Results Makueni County KCPE 2024 Results Mandera County KCPE 2024 Results Marsabit County KCPE 2024 Results Meru County KCPE 2024 Results Migori County KCPE 2024 Results Mombasa County KCPE 2024 Results Murang'a County KCPE 2024 Results Nairobi KCPE 2024 Results Nairobi County KCPE 2024 Results Nakuru County KCPE 2024 Results Nandi County KCPE 2024 Results Narok County KCPE 2024 Results North Eastern KCPE 2024 Results Nyamira County KCPE 2024 Results Nyandarua County KCPE 2024 Results Nyanza KCPE 2024 Results Nyeri County KCPE 2024 Results Online KCPE 2024 Results Online Check, KCPE Results 2024 Per School, Top 100 Candidates KCPE 2024, Www.knec.co.ke KCPE 2024 Results, KCPE 2024 Results Out KCPE 2024 Results Out Tomorrow KCPE 2024 Results Per School KCPE 2024 Results Ranking KCPE 2024 Results Release KCPE 2024 Results Release Date KCPE 2024 Results Release Date by Knec KCPE 2024 Results Release Dates KCPE 2024 Results Release Day KCPE 2024 Results Release Day and Dates KCPE 2024 Results Rift Valley KCPE 2024 Results Samburu County KCPE 2024 Results Siaya County KCPE 2024 Results Taita-taveta County KCPE 2024 Results Tana River County KCPE 2024 Results Tharaka-nithi County KCPE 2024 Results Top 100 Schools KCPE 2024 Results Top 100 Students KCPE 2024 Results Top Schools KCPE 2024 Results Trans-nzoia County KCPE 2024 Results Turkana County KCPE 2024 Results Uasin Gishu County KCPE 2024 Results Vihiga County KCPE 2024 Results Wajir County KCPE 2024 Results West Pokot County KCPE 2024 Results Western KCPE 2024 Results Will Be Released Tomorrow KCPE 2024 Results, KCPE 2024 Online Results, KCPE Results 2024 Top 100 Schools, Knec KCPE 2024, Online KCPE Results, 2024 KCPE Results, KCPE 2024 Results, KCPE 2024 Results, KCPE, 2024 KCPE Results, KCPE Result 2024, KCPE Results 2024 Top 100 Schools, KCPE Results Online, KCPE Results 2024 Online, KCPE 2024 Results, Knec., Online KCPE Results, Top 100 Schools KCPE 2024, https://www.advance-africa.com/KCPE-results.html, KCPE 2024 Revised Final Timetable Download KCPE 2024 School Ranking KCPE 2024 Science KCPE 2024 Timetable KCPE 2024 Timetable Exam KCPE 2024 Timetable Pdf KCPE 2024 Top 100 Schools KCPE 2024 Top Schools KCPE 2024, Knec KCPE Results 2024, KCPE 2024 Results, KCPE, Knec Results, Knec KCPE Results 2024, Knec Results 2024, KCPE 2024/2024 Results Baringo County KCPE 2024/2024 Results Bomet County KCPE 2024/2024 Results Bungoma County KCPE 2024/2024 Results Busia County KCPE 2024/2024 Results Central KCPE 2024/2024 Results Eastern KCPE 2024/2024 Results Elgeyo-marakwet County KCPE 2024/2024 Results Embu County KCPE 2024/2024 Results Garissa County KCPE 2024/2024 Results Homa Bay County KCPE 2024/2024 Results Isiolo County KCPE 2024/2024 Results Kajiado County KCPE 2024/2024 Results Kakamega County KCPE 2024/2024 Results Kericho County KCPE 2024/2024 Results Kiambu County KCPE 2024/2024 Results Kilifi County KCPE 2024/2024 Results Kirinyaga County KCPE 2024/2024 Results Kisii County KCPE 2024/2024 Results Kisumu County KCPE 2024/2024 Results Kitui County KCPE 2024/2024 Results Kwale County KCPE 2024/2024 Results Laikipia County KCPE 2024/2024 Results Lamu County KCPE 2024/2024 Results Machakos County KCPE 2024/2024 Results Makueni County KCPE 2024/2024 Results Mandera County KCPE 2024/2024 Results Marsabit County KCPE 2024/2024 Results Meru County KCPE 2024/2024 Results Migori County KCPE 2024/2024 Results Mombasa County KCPE 2024/2024 Results Murang'a County KCPE 2024/2024 Results Nairobi KCPE 2024/2024 Results Nairobi County KCPE 2024/2024 Results Nakuru County KCPE 2024/2024 Results Nandi County KCPE 2024/2024 Results Narok County KCPE 2024/2024 Results North Eastern KCPE 2024/2024 Results Nyamira County KCPE 2024/2024 Results Nyandarua County KCPE 2024/2024 Results Nyanza KCPE 2024/2024 Results Nyeri County KCPE 2024/2024 Results Rift Valley KCPE 2024/2024 Results Samburu County KCPE 2024/2024 Results Siaya County KCPE 2024/2024 Results Taita-taveta County KCPE 2024/2024 Results Tana River County KCPE 2024/2024 Results Tharaka-nithi County KCPE 2024/2024 Results Trans-nzoia County KCPE 2024/2024 Results Turkana County KCPE 2024/2024 Results Uasin Gishu County KCPE 2024/2024 Results Vihiga County KCPE 2024/2024 Results Wajir County KCPE 2024/2024 Results West Pokot County KCPE 2024/2024 Results Western KCPE 2024online Result, KCPE Results 2024 Knec, KCPE Results2024, KCPE Results 2024 Online, Knec KCPE, Knec KCPE Results 2024 Online, KCPE and KCPE 2022 Exams KCPE and KCPE 2023 Exams KCPE and KCPE 2024 Exams KCPE and KCPE Dates 2022 KCPE and KCPE Dates 2023 KCPE and KCPE Dates 2024 KCPE and KCPE Exam Dates 2022 KCPE and KCPE Exam Dates 2023 KCPE and KCPE Exam Dates 2024 KCPE Answers KCPE Best Schools KCPE Biology Essay Questions and Answers KCPE Biology Practicals KCPE Biology Questions and Answers KCPE Breaking News KCPE Breaking News 2022 KCPE Breaking News 2023 KCPE Breaking News 2024 KCPE Certificate Download KCPE Chemistry Past Papers KCPE Code KCPE Code for Asking Results KCPE Dates 2022 KCPE Dates 2022 Kenya KCPE Dates 2023 KCPE Dates 2023 Kenya KCPE Dates 2024 KCPE Dates 2024 Kenya KCPE Download KCPE Exam 2022 Results Portal KCPE Exam 2023 Results Portal KCPE Exam 2024 Results Portal KCPE Exam Dates 2022 KCPE Exam Dates 2023 KCPE Exam Dates 2024 KCPE Exam Results KCPE Exams 2022 KCPE Exams 2023 KCPE Exams 2024 KCPE Grades and Points KCPE Grading 2022 KCPE Grading 2023 KCPE Grading 2024 KCPE Grading System KCPE Grading System 2022 KCPE Grading System 2022 Per Subject KCPE Grading System 2023 KCPE Grading System 2023 Per Subject KCPE Grading System 2024 KCPE Grading System 2024 Per Subject KCPE Grading System Per Subject KCPE Knec Results KCPE Knec Results, Knec 2022 KCPE Results, Knec Results Online, Online KCPE 2022 Results, Www.KCPE Results, Knec KCPE Result, Check KCPE Results Online, KCPE Knec Results, Knec 2023 KCPE Results, Knec Results Online, Online KCPE 2023 Results, Www.KCPE Results, Knec KCPE Result, Check KCPE Results Online, KCPE Knec Results, Knec 2024 KCPE Results, Knec Results Online, Online KCPE 2024 Results, Www.KCPE Results, Knec KCPE Result, Check KCPE Results Online, KCPE Leakage 2022 KCPE Leakage 2023 KCPE Leakage 2024 KCPE Marking Schemes KCPE Marks for Extra County Schools KCPE Marks for National Schools KCPE News KCPE News 2022 KCPE News 2023 KCPE News 2024 KCPE Online KCPE Online Results KCPE Online Results, Top 100 Schools KCPE 2022, KCPE Online Results 2022, Online 2022 KCPE Results, 2022 KCPE Result, How to Check for My 2022 Result KCPE, KCPE Online Results, Top 100 Schools KCPE 2023, KCPE Online Results 2023, Online 2023 KCPE Results, 2023 KCPE Result, How to Check for My 2023 Result KCPE, KCPE Online Results, Top 100 Schools KCPE 2024, KCPE Online Results 2024, Online 2024 KCPE Results, 2024 KCPE Result, How to Check for My 2024 Result KCPE, KCPE Past Exam Papers KCPE Past Papers KCPE Past Papers 2022 KCPE Past Papers 2023 KCPE Past Papers 2024 KCPE Performance KCPE Performance 2022 KCPE Performance 2023 KCPE Performance 2024 KCPE Prediction 2022 KCPE Prediction 2023 KCPE Prediction 2024 KCPE Questions 2022 KCPE Questions 2023 KCPE Questions 2024 KCPE Questions and Answers KCPE Ranking 2022 KCPE Ranking 2023 KCPE Ranking 2024 KCPE Registration KCPE Registration 2022 KCPE Registration 2023 KCPE Registration 2024 KCPE Release KCPE Release 2022 KCPE Release 2023 KCPE Release 2024 KCPE Release Date KCPE Release Date 2022 KCPE Release Date 2023 KCPE Release Date 2024 KCPE Release, Knec KCPE Results 2022 Online, Knec Results KCPE 2022, How to Check KCPE Results Online, the Kenya National Examination Council, KCPE Release, Knec KCPE Results 2023 Online, Knec Results KCPE 2023, How to Check KCPE Results Online, the Kenya National Examination Council, KCPE Release, Knec KCPE Results 2024 Online, Knec Results KCPE 2024, How to Check KCPE Results Online, the Kenya National Examination Council, KCPE Releasing Day KCPE Result KCPE Result 2022 KCPE Result 2022 KCPE Results KCPE Result 2022 Top 100 KCPE Result 2022, KCPE 2022 Results Online Check, KCPE Results 2022 Per School, Top 100 Students Nationally KCPE 2022, KCPE Results of 2022, KCPE Result 2022, Www.knec.ac.ke 2022 KCPE Results, Top 100 Schools KCPE 2022, KCPE Results for 2022, KCPE Results Top 100 Schools, KCPE Result 2023 KCPE Result 2023 KCPE Results KCPE Result 2023 Top 100 KCPE Result 2023, KCPE 2023 Results Online Check, KCPE Results 2023 Per School, Top 100 Students Nationally KCPE 2023, KCPE Results of 2023, KCPE Result 2023, Www.knec.ac.ke 2023 KCPE Results, Top 100 Schools KCPE 2023, KCPE Results for 2023, KCPE Results Top 100 Schools, KCPE Result 2024 KCPE Result 2024 KCPE Results KCPE Result 2024 Top 100 KCPE Result 2024, KCPE 2024 Results Online Check, KCPE Results 2024 Per School, Top 100 Students Nationally KCPE 2024, KCPE Results of 2024, KCPE Result 2024, Www.knec.ac.ke 2024 KCPE Results, Top 100 Schools KCPE 2024, KCPE Results for 2024, KCPE Results Top 100 Schools, KCPE Result Annous KCPE Result Slip 2022 KCPE Result Slip 2023 KCPE Result Slip 2024 KCPE Result Slip Download KCPE Result Slip Download 2022 KCPE Result Slip Download 2023 KCPE Result Slip Download 2024 KCPE Result Slip, KCPE Result Slip 2022, 2022 KCPE Result Slip, Online KCPE Results 2022, KCPE 2022 Result Slip, Bomet County KCPE Results, KCPE Result Slip, KCPE Result Slip 2023, 2023 KCPE Result Slip, Online KCPE Results 2023, KCPE 2023 Result Slip, Bomet County KCPE Results, KCPE Result Slip, KCPE Result Slip 2024, 2024 KCPE Result Slip, Online KCPE Results 2024, KCPE 2024 Result Slip, Bomet County KCPE Results, KCPE Results KCPE Results 2022 KCPE Results 2022 Announcement KCPE Results 2022 Date KCPE Results 2022 Downloads, KCPE Results 2022 Per County, Knec 2022 KCPE Results, Knec KCPE Online Results 2022, KCPE Results 2022 Full List KCPE Results 2022 Kenya KCPE Results 2022 Live KCPE Results 2022 Online KCPE Results 2022 Online, KCPE Results 2022 Top 100 Schools, KCPE 2022 Result, KCPE Results 2022, K.n.e.c, KCPE Results 2022 Per County KCPE Results 2022 Per School KCPE Results 2022 Per School, Top 100 Students Nationally KCPE 2022, KCPE Results 2022, Www.KCPE Results.com, KCPE 2022 Release, KCPE Results 2022 Release KCPE Results 2022 Release Date KCPE Results 2022 Release: How to Download KCPE KCPE Results 2022 Release: How to Download KCPE Exam Results KCPE Results 2022 Release: How to Download KCPE Result KCPE Results 2022 Release: How to Download KCPE Results KCPE Results 2022 Release: How to Get KCPE Results KCPE Results 2022 Release: How to Get Your KCPE Results KCPE Results 2022 Release: How to Obtain KCPE Results KCPE Results 2022 Top 100 Schools KCPE Results 2022 Top 100 Schools, KCPE Results, Knec KCPE 2022, Online KCPE Results, 2022 KCPE Results, KCPE Online, KCPE 2022 Results, KCPE2022 Results, Www.knec-results.ac.ke, KCPE Results 2022 Top 100 Students KCPE Results 2022 Top 100 Students, Knec 2022 KCPE, Www.kenya National Examination Council, Knec Exams, KCPE 2022 Release, KCPE Results 2022 Top Schools KCPE Results 2022, How to Check KCPE 2022 Results Online, Online 2022 KCPE Results, How to Check for My 2022 Result KCPE, KCPE Results 2022, Knec 2022 Results, Online KCPE Results 2022, 2022 KCPE Results, KCPE Online Results, KCPE Results 2022, Knec KCPE 2022 Results, Www.knec.co.ke, Knec Results 2022 KCPE, KCPE 2022 Result, KCPE 2022 Results, KCPE 2022 Online Results, Top 100 Students in KCPE 2022, KCPE Results 2023 KCPE Results 2023 Announcement KCPE Results 2023 Date KCPE Results 2023 Downloads, KCPE Results 2023 Per County, Knec 2023 KCPE Results, Knec KCPE Online Results 2023, KCPE Results 2023 Full List KCPE Results 2023 Kenya KCPE Results 2023 Live KCPE Results 2023 Online KCPE Results 2023 Online, KCPE Results 2023 Top 100 Schools, KCPE 2023 Result, KCPE Results 2023, K.n.e.c, KCPE Results 2023 Per County KCPE Results 2023 Per School KCPE Results 2023 Per School, Top 100 Students Nationally KCPE 2023, KCPE Results 2023, Www.KCPE Results.com, KCPE 2023 Release, KCPE Results 2023 Release KCPE Results 2023 Release Date KCPE Results 2023 Release: How to Download KCPE KCPE Results 2023 Release: How to Download KCPE Exam Results KCPE Results 2023 Release: How to Download KCPE Result KCPE Results 2023 Release: How to Download KCPE Results KCPE Results 2023 Release: How to Get KCPE Results KCPE Results 2023 Release: How to Get Your KCPE Results KCPE Results 2023 Release: How to Obtain KCPE Results KCPE Results 2023 Top 100 Schools KCPE Results 2023 Top 100 Schools, KCPE Results, Knec KCPE 2023, Online KCPE Results, 2023 KCPE Results, KCPE Online, KCPE 2023 Results, KCPE2023 Results, Www.knec-results.ac.ke, KCPE Results 2023 Top 100 Students KCPE Results 2023 Top 100 Students, Knec 2023 KCPE, Www.kenya National Examination Council, Knec Exams, KCPE 2023 Release, KCPE Results 2023 Top Schools KCPE Results 2023, How to Check KCPE 2023 Results Online, Online 2023 KCPE Results, How to Check for My 2023 Result KCPE, KCPE Results 2023, Knec 2023 Results, Online KCPE Results 2023, 2023 KCPE Results, KCPE Online Results, KCPE Results 2023, Knec KCPE 2023 Results, Www.knec.co.ke, Knec Results 2023 KCPE, KCPE 2023 Result, KCPE 2023 Results, KCPE 2023 Online Results, Top 100 Students in KCPE 2023, KCPE Results 2024 KCPE Results 2024 Announcement KCPE Results 2024 Date KCPE Results 2024 Downloads, KCPE Results 2024 Per County, Knec 2024 KCPE Results, Knec KCPE Online Results 2024, KCPE Results 2024 Full List KCPE Results 2024 Kenya KCPE Results 2024 Live KCPE Results 2024 Online KCPE Results 2024 Online, KCPE Results 2024 Top 100 Schools, KCPE 2024 Result, KCPE Results 2024, K.n.e.c, KCPE Results 2024 Per County KCPE Results 2024 Per School KCPE Results 2024 Per School, Top 100 Students Nationally KCPE 2024, KCPE Results 2024, Www.KCPE Results.com, KCPE 2024 Release, KCPE Results 2024 Release KCPE Results 2024 Release Date KCPE Results 2024 Release: How to Download KCPE KCPE Results 2024 Release: How to Download KCPE Exam Results KCPE Results 2024 Release: How to Download KCPE Result KCPE Results 2024 Release: How to Download KCPE Results KCPE Results 2024 Release: How to Get KCPE Results KCPE Results 2024 Release: How to Get Your KCPE Results KCPE Results 2024 Release: How to Obtain KCPE Results KCPE Results 2024 Top 100 Schools KCPE Results 2024 Top 100 Schools, KCPE Results, Knec KCPE 2024, Online KCPE Results, 2024 KCPE Results, KCPE Online, KCPE 2024 Results, KCPE2024 Results, Www.knec-results.ac.ke, KCPE Results 2024 Top 100 Students KCPE Results 2024 Top 100 Students, Knec 2024 KCPE, Www.kenya National Examination Council, Knec Exams, KCPE 2024 Release, KCPE Results 2024 Top Schools KCPE Results 2024, How to Check KCPE 2024 Results Online, Online 2024 KCPE Results, How to Check for My 2024 Result KCPE, KCPE Results 2024, Knec 2024 Results, Online KCPE Results 2024, 2024 KCPE Results, KCPE Online Results, KCPE Results 2024, Knec KCPE 2024 Results, Www.knec.co.ke, Knec Results 2024 KCPE, KCPE 2024 Result, KCPE 2024 Results, KCPE 2024 Online Results, Top 100 Students in KCPE 2024, KCPE Results Announcement KCPE Results Being Released Today KCPE Results for 2022 KCPE Results for 2023 KCPE Results for 2024 KCPE Results Kenya 2022, Knec Website KCPE Results 2022, Top 100 Students in KCPE 2022, Www.knec.ac.ke/exm, How to Check KCPE Results 2022 Online, How to Check KCPE Results 2022 Online, 2022 KCPE Results, KCPE2022 Results, Knec Website KCPE Results 2022, Www.knec.ac.ke/exm, Top 100 Students in KCPE 2022, KCPE Results Kenya 2023, Knec Website KCPE Results 2023, Top 100 Students in KCPE 2023, Www.knec.ac.ke/exm, How to Check KCPE Results 2023 Online, How to Check KCPE Results 2023 Online, 2023 KCPE Results, KCPE2023 Results, Knec Website KCPE Results 2023, Www.knec.ac.ke/exm, Top 100 Students in KCPE 2023, KCPE Results Kenya 2024, Knec Website KCPE Results 2024, Top 100 Students in KCPE 2024, Www.knec.ac.ke/exm, How to Check KCPE Results 2024 Online, How to Check KCPE Results 2024 Online, 2024 KCPE Results, KCPE2024 Results, Knec Website KCPE Results 2024, Www.knec.ac.ke/exm, Top 100 Students in KCPE 2024, KCPE Results News KCPE Results of 2022 KCPE Results of 2023 KCPE Results of 2024 KCPE Results of the Year 2022 Will Be Released on When? KCPE Results of the Year 2023 Will Be Released on When? KCPE Results of the Year 2024 Will Be Released on When? KCPE Results Online KCPE Results Per County KCPE Results Per School KCPE Results Per School 2022 KCPE Results Per School 2023 KCPE Results Per School 2024 KCPE Results Release KCPE Results Release Date KCPE Results Release Day and Dates by Knec KCPE Results Slip KCPE Results to Be Released in Days KCPE Results to Be Released in One Week KCPE Results to Be Released in Two Weeks KCPE Results to Be Released Within the Next Two Weeks KCPE Results Will Be Out in Two Weeks KCPE Results, Knec KCPE 2022, Knec KCPE 2022 Results, KCPE 2022, Online KCPE 2022 Results, 2022 KCPE Result, KCPE Results, Knec KCPE 2023, Knec KCPE 2023 Results, KCPE 2023, Online KCPE 2023 Results, 2023 KCPE Result, KCPE Results, Knec KCPE 2024, Knec KCPE 2024 Results, KCPE 2024, Online KCPE 2024 Results, 2024 KCPE Result, KCPE Revealed 2022 KCPE Revealed 2023 KCPE Revealed 2024 KCPE Revision Papers 2022 KCPE Revision Papers 2023 KCPE Revision Papers 2024 KCPE Revision Tips KCPE Social Studie Questions KCPE Social Studies Questions KCPE Timetable KCPE Timetable 2022 KCPE Timetable 2022 Download KCPE Timetable 2022 March KCPE Timetable 2023 KCPE Timetable 2023 Download KCPE Timetable 2023 March KCPE Timetable 2024 KCPE Timetable 2024 Download KCPE Timetable 2024 March KCPE Top 100 Schools 2022 KCPE Top 100 Schools 2023 KCPE Top 100 Schools 2024 KCPE Top Schools KCPE Top Schools 2022 KCPE Top Schools 2023 KCPE Top Schools 2024 KCPE Top Schools Per County KCPE Top Student and Their Marks in 2022 KCPE Top Student and Their Marks in 2023 KCPE Top Student and Their Marks in 2024 KCPE Top Students and Their Marks in 2022 KCPE Top Students and Their Marks in 2023 KCPE Top Students and Their Marks in 2024 KCPE Top Students Who Got 350 Marks and Above in Kenya KCPE Top Students Who Got 350 Marks in Kenya KCPE Will Be Realsed When KCPE Will Release on What Date and Time KCPE2022 KCPE2022 Results KCPE2022, Knec KCPE Results 2022, KCPE Online Results, 2022 KCPE Results Online, KCPE 2022 Results, KCPE 2022 Online Results, KCPE 2022, KCPE Online, Www.knec-results.ac.ke, KCPE2023 KCPE2023 Results KCPE2023, Knec KCPE Results 2023, KCPE Online Results, 2023 KCPE Results Online, KCPE 2023 Results, KCPE 2023 Online Results, KCPE 2023, KCPE Online, Www.knec-results.ac.ke, KCPE2024 KCPE2024 Results KCPE2024, Knec KCPE Results 2024, KCPE Online Results, 2024 KCPE Results Online, KCPE 2024 Results, KCPE 2024 Online Results, KCPE 2024, KCPE Online, Www.knec-results.ac.ke, KCPE: Top Special Needs Candidate Scores 420 Marks KCSE Timetable 2022 KCSE Timetable 2023 KCSE Timetable 2024 Kenvic School KCPE Results 2022 Kenvic School KCPE Results 2023 Kenvic School KCPE Results 2024 Kenya Basic Education Act 2017 Kenya Certificate of Primary Education 2022 Results Kenya Certificate of Primary Education 2023 Results Kenya Certificate of Primary Education 2024 Results Kenya Certificate Primary Education (KCPE) Results Kenya Examination Council Results 2022, Knec Exams, Top 100 Schools in Kenya, KCPE 2022 Release, Kenya Examination Council Results 2023, Knec Exams, Top 100 Schools in Kenya, KCPE 2023 Release, Kenya Examination Council Results 2024, Knec Exams, Top 100 Schools in Kenya, KCPE 2024 Release, Kenya National Examination Council - Knec, KCPE Results 2022, Knec KCPE 2022 Results, KCPE 2022 Result, KCPE 2022 Results, KCPE 2022 Online Results Kenya National Examination Council - Knec, KCPE Results 2023, Knec KCPE 2023 Results, KCPE 2023 Result, KCPE 2023 Results, KCPE 2023 Online Results Kenya National Examination Council - Knec, KCPE Results 2024, Knec KCPE 2024 Results, KCPE 2024 Result, KCPE 2024 Results, KCPE 2024 Online Results Kenya School Term Dates 2022 Kenya School Term Dates 2023 Kenya School Term Dates 2024 Kericho County KCPE Results 2022 Kericho County KCPE Results 2022/2022 Kericho County KCPE Results 2023 Kericho County KCPE Results 2023/2023 Kericho County KCPE Results 2024 Kericho County KCPE Results 2024/2024 Kiambu County 2022 KCPE Results Kiambu County 2023 KCPE Results Kiambu County 2024 KCPE Results Kiambu County KCPE Results 2022 Kiambu County KCPE Results 2022/2022 Kiambu County KCPE Results 2023 Kiambu County KCPE Results 2023/2023 Kiambu County KCPE Results 2024 Kiambu County KCPE Results 2024/2024 Kilifi County KCPE Results 2022 Kilifi County KCPE Results 2022/2022 Kilifi County KCPE Results 2023 Kilifi County KCPE Results 2023/2023 Kilifi County KCPE Results 2024 Kilifi County KCPE Results 2024/2024 Kilimani Junior Academy KCPE Results 2022 Kilimani Junior Academy KCPE Results 2023 Kilimani Junior Academy KCPE Results 2024 Kirinyaga County KCPE Results 2022 Kirinyaga County KCPE Results 2022/2022 Kirinyaga County KCPE Results 2023 Kirinyaga County KCPE Results 2023/2023 Kirinyaga County KCPE Results 2024 Kirinyaga County KCPE Results 2024/2024 Kisii County KCPE Results 2022 Kisii County KCPE Results 2022/2022 Kisii County KCPE Results 2023 Kisii County KCPE Results 2023/2023 Kisii County KCPE Results 2024 Kisii County KCPE Results 2024/2024 Kisumu County KCPE Results 2022 Kisumu County KCPE Results 2022/2022 Kisumu County KCPE Results 2023 Kisumu County KCPE Results 2023/2023 Kisumu County KCPE Results 2024 Kisumu County KCPE Results 2024/2024 Kitui County KCPE Results 2022 Kitui County KCPE Results 2022/2022 Kitui County KCPE Results 2023 Kitui County KCPE Results 2023/2023 Kitui County KCPE Results 2024 Kitui County KCPE Results 2024/2024 Knec Knec 2022 Knec 2022 KCPE Result Knec 2022 KCPE Results Knec 2022 KCPE Results, KCPE Results 2022, Knec.ac.ke, Knec Website, KCPE 2022 Results Online, Knec 2022 Results, KCPE Online Results 2022, KCPE2022 Results, Knec 2022 Results Knec 2022, Knec Result 2022, Knec KCPE Results 2022 Online, KCPE Results, KCPE Results 2022, KCPE 2022, https://www.advance-africa.com/KCPE-results.html, Knec 2023 Knec 2023 KCPE Result Knec 2023 KCPE Results Knec 2023 KCPE Results, KCPE Results 2023, Knec.ac.ke, Knec Website, KCPE 2023 Results Online, Knec 2023 Results, KCPE Online Results 2023, KCPE2023 Results, Knec 2023 Results Knec 2023, Knec Result 2023, Knec KCPE Results 2023 Online, KCPE Results, KCPE Results 2023, KCPE 2023, https://www.advance-africa.com/KCPE-results.html, Knec 2024 Knec 2024 KCPE Result Knec 2024 KCPE Results Knec 2024 KCPE Results, KCPE Results 2024, Knec.ac.ke, Knec Website, KCPE 2024 Results Online, Knec 2024 Results, KCPE Online Results 2024, KCPE2024 Results, Knec 2024 Results Knec 2024, Knec Result 2024, Knec KCPE Results 2024 Online, KCPE Results, KCPE Results 2024, KCPE 2024, https://www.advance-africa.com/KCPE-results.html, Knec Breaking News Knec Certificate Replacement Knec Contacts Knec Contracted Professionals Portal Knec Exam Results Knec Examiners Invitation Letters Knec Examiners Portal Knec Exams 2022.grading Knec Exams 2023.grading Knec Exams 2024.grading Knec Grading System 2022 Knec Grading System 2023 Knec Grading System 2024 Knec KCPE Knec KCPE - Kenya Breaking News; Knec News Now! Knec News Today. ☆ Knec Breaking News ☆ Knec Top News ☛ Read Now & Stay Informed. Knec Knec KCPE 2022 Knec KCPE 2022 Release; How to Receive KCPE Results Knec KCPE 2022 Results Knec KCPE 2022 Results Download Knec KCPE 2022 Results Release and How to Check via Sms Knec KCPE 2022 Results Release Day and Dates Knec KCPE 2022 Results Release Day and Dates Official Knec KCPE 2022 Results, Www.knec.co.ke, Http://www.knec.ac.ke, Knec Website, KCPE 2022 Result, KCPE 2022 Results, KCPE 2022 Online Results, Top 100 Students KCPE 2022, Knec KCPE 2022 Timetable Pdf: Subjects That Will Start, End Knec KCPE 2023 Knec KCPE 2023 Release; How to Receive KCPE Results Knec KCPE 2023 Results Knec KCPE 2023 Results Download Knec KCPE 2023 Results Release and How to Check via Sms Knec KCPE 2023 Results Release Day and Dates Knec KCPE 2023 Results Release Day and Dates Official Knec KCPE 2023 Results, Www.knec.co.ke, Http://www.knec.ac.ke, Knec Website, KCPE 2023 Result, KCPE 2023 Results, KCPE 2023 Online Results, Top 100 Students KCPE 2023, Knec KCPE 2023 Timetable Pdf: Subjects That Will Start, End Knec KCPE 2024 Knec KCPE 2024 Release; How to Receive KCPE Results Knec KCPE 2024 Results Knec KCPE 2024 Results Download Knec KCPE 2024 Results Release and How to Check via Sms Knec KCPE 2024 Results Release Day and Dates Knec KCPE 2024 Results Release Day and Dates Official Knec KCPE 2024 Results, Www.knec.co.ke, Http://www.knec.ac.ke, Knec Website, KCPE 2024 Result, KCPE 2024 Results, KCPE 2024 Online Results, Top 100 Students KCPE 2024, Knec KCPE 2024 Timetable Pdf: Subjects That Will Start, End Knec KCPE Result Knec KCPE Result 2022 Knec KCPE Result 2022, Knec KCPE Results Online, Knec Result 2022, Knec-KCPE Results 2022, Top Hundred Students in Knec KCPE Result 2023 Knec KCPE Result 2023, Knec KCPE Results Online, Knec Result 2023, Knec-KCPE Results 2023, Top Hundred Students in Knec KCPE Result 2024 Knec KCPE Result 2024, Knec KCPE Results Online, Knec Result 2024, Knec-KCPE Results 2024, Top Hundred Students in Knec KCPE Result, Knec KCPE Results 2022, KCPE Result 2022, Knec KCPE Results, KCPE 2022 Result, KCPE 2022 Results, KCPE 2022 Online Results, KCPE Online, Knec KCPE Result, Knec KCPE Results 2023, KCPE Result 2023, Knec KCPE Results, KCPE 2023 Result, KCPE 2023 Results, KCPE 2023 Online Results, KCPE Online, Knec KCPE Result, Knec KCPE Results 2024, KCPE Result 2024, Knec KCPE Results, KCPE 2024 Result, KCPE 2024 Results, KCPE 2024 Online Results, KCPE Online, Knec KCPE Results Knec KCPE Results 2022 Knec KCPE Results 2022 - Www.knec.ac.ke - Knec Results - Http://www.knec.ac.ke - Knec.ac.ke - Knec Results of KCPE - Knec Results of KCPE - Knec - Knec - KCPE 2022 Results - KCPE - Knec Results - Www.knec-results.ac.ke - Knec - Www.knec.com Knec KCPE Results 2022 Online, Knec 2022 KCPE Results, KCPE 2022 Online Results, KCPE 2022 Results Online, Knec KCPE Results 2022 Online, Knec 2022 KCPE Results, Knec 2022 Results, Knec KCPE 2022 Results, Knec., Knec KCPE 2022, Knec KCPE Results 2022, Knec.com, Top 100 KCPE 2022, KCPE 2022 Results Online Check, KCPE Knec Results 2022, Knec KCPE Result 2022, Knec KCPE Results 2022, Knec.com, Top 100 KCPE 2022, Knec Results 2022, K.n.e.c, Top 100 Schools KCPE 2022, KCPE Results 2022, Knec KCPE Results 2023 Knec KCPE Results 2023 - Www.knec.ac.ke - Knec Results - Http://www.knec.ac.ke - Knec.ac.ke - Knec Results of KCPE - Knec Results of KCPE - Knec - Knec - KCPE 2023 Results - KCPE - Knec Results - Www.knec-results.ac.ke - Knec - Www.knec.com Knec KCPE Results 2023 Online, Knec 2023 KCPE Results, KCPE 2023 Online Results, KCPE 2023 Results Online, Knec KCPE Results 2023 Online, Knec 2023 KCPE Results, Knec 2023 Results, Knec KCPE 2023 Results, Knec., Knec KCPE 2023, Knec KCPE Results 2023, Knec.com, Top 100 KCPE 2023, KCPE 2023 Results Online Check, KCPE Knec Results 2023, Knec KCPE Result 2023, Knec KCPE Results 2023, Knec.com, Top 100 KCPE 2023, Knec Results 2023, K.n.e.c, Top 100 Schools KCPE 2023, KCPE Results 2023, Knec KCPE Results 2024 Knec KCPE Results 2024 - Www.knec.ac.ke - Knec Results - Http://www.knec.ac.ke - Knec.ac.ke - Knec Results of KCPE - Knec Results of KCPE - Knec - Knec - KCPE 2024 Results - KCPE - Knec Results - Www.knec-results.ac.ke - Knec - Www.knec.com Knec KCPE Results 2024 Online, Knec 2024 KCPE Results, KCPE 2024 Online Results, KCPE 2024 Results Online, Knec KCPE Results 2024 Online, Knec 2024 KCPE Results, Knec 2024 Results, Knec KCPE 2024 Results, Knec., Knec KCPE 2024, Knec KCPE Results 2024, Knec.com, Top 100 KCPE 2024, KCPE 2024 Results Online Check, KCPE Knec Results 2024, Knec KCPE Result 2024, Knec KCPE Results 2024, Knec.com, Top 100 KCPE 2024, Knec Results 2024, K.n.e.c, Top 100 Schools KCPE 2024, KCPE Results 2024, Knec KCPE Results Release Day and Dates Knec Kenya, Knec 2022 KCPE, Www.kenya National Examination Council, KCPE 2022 Top 100 Schools, KCPE Results2022, Knec Kenya, Knec 2023 KCPE, Www.kenya National Examination Council, KCPE 2023 Top 100 Schools, KCPE Results2023, Knec Kenya, Knec 2024 KCPE, Www.kenya National Examination Council, KCPE 2024 Top 100 Schools, KCPE Results2024, Knec Latest News Knec News Knec News Today Knec Portal Knec Portal KCPE Results 2022 Knec Portal KCPE Results 2023 Knec Portal KCPE Results 2024 Knec Releases Deadline for Verification of 2022 KCPE, KCPE Knec Releases Deadline for Verification of 2023 KCPE, KCPE Knec Releases Deadline for Verification of 2024 KCPE, KCPE Knec Releases Results for KCPE 2022 Candidates Knec Releases Results for KCPE 2023 Candidates Knec Releases Results for KCPE 2024 Candidates Knec Releases Revised KCPE & KCPE Exam Timetables Knec Releases Revised Timetables for KCPE Knec Result Knec Result 2022 Knec Result 2023 Knec Result 2024 Knec Result Slip Download Knec Result Slip Portal Knec Results Knec Results 2022 Knec Results 2022 KCPE Knec Results 2022 KCPE, KCPE 2022 Results Online, KCPE 2022 Result, Top 100 Schools in KCPE 2022, Kenya National Examination Council Results 2022, Www.knec.ac.ke/exm, Knec Results 2022, KCPE Result, KCPE 2022 Results Online Check, 2022 KCPE, Top 100 Schools in KCPE, Knec KCPE Result 2022, Knec Results 2022, Www.knec.com, KCPE Results 2022, Knec.ac.ke, KCPE Results 2022, KCPE 2022 Result, KCPE 2022 Results, KCPE 2022 Online Results, Www.knec-results.ac.ke, Knec Results 2022, Www.knec.com, Knec.ac.ke, KCPE Results 2022, Knec KCPE 2022 Results, KCPE 2022 Result, KCPE 2022 Online Results, Knec 2022 Results, Top 100 Students KCPE 2022, Knec Results 2023 Knec Results 2023 KCPE Knec Results 2023 KCPE, KCPE 2023 Results Online, KCPE 2023 Result, Top 100 Schools in KCPE 2023, Kenya National Examination Council Results 2023, Www.knec.ac.ke/exm, Knec Results 2023, KCPE Result, KCPE 2023 Results Online Check, 2023 KCPE, Top 100 Schools in KCPE, Knec KCPE Result 2023, Knec Results 2023, Www.knec.com, KCPE Results 2023, Knec.ac.ke, KCPE Results 2023, KCPE 2023 Result, KCPE 2023 Results, KCPE 2023 Online Results, Www.knec-results.ac.ke, Knec Results 2023, Www.knec.com, Knec.ac.ke, KCPE Results 2023, Knec KCPE 2023 Results, KCPE 2023 Result, KCPE 2023 Online Results, Knec 2023 Results, Top 100 Students KCPE 2023, Knec Results 2024 Knec Results 2024 KCPE Knec Results 2024 KCPE, KCPE 2024 Results Online, KCPE 2024 Result, Top 100 Schools in KCPE 2024, Kenya National Examination Council Results 2024, Www.knec.ac.ke/exm, Knec Results 2024, KCPE Result, KCPE 2024 Results Online Check, 2024 KCPE, Top 100 Schools in KCPE, Knec KCPE Result 2024, Knec Results 2024, Www.knec.com, KCPE Results 2024, Knec.ac.ke, KCPE Results 2024, KCPE 2024 Result, KCPE 2024 Results, KCPE 2024 Online Results, Www.knec-results.ac.ke, Knec Results 2024, Www.knec.com, Knec.ac.ke, KCPE Results 2024, Knec KCPE 2024 Results, KCPE 2024 Result, KCPE 2024 Online Results, Knec 2024 Results, Top 100 Students KCPE 2024, Knec Results for Colleges Knec Results for Colleges 2022 Knec Results for Colleges 2023 Knec Results for Colleges 2024 Knec Results for KCPE 2022 Knec Results for KCPE 2023 Knec Results for KCPE 2024 Knec Results for Technical Colleges Knec Results for Technical Institutions Knec Results KCPE 2022 Knec Results KCPE 2023 Knec Results KCPE 2024 Knec Results Online Knec Technical Exams Results Knec Timetable Knec Website Knec Website KCPE Results 2022, Www.knec-results.ac.ke, KCPE Results Kenya 2022, KCPE Results 2022 Per School, KCPE Knec Results 2022, Knec Website KCPE Results 2022, Www.knec-results.ac.ke, KCPE Results Kenya 2022, Www.knec.ac.ke/exm, KCPE Results 2022 Per School, Knec Website KCPE Results 2023, Www.knec-results.ac.ke, KCPE Results Kenya 2023, KCPE Results 2023 Per School, KCPE Knec Results 2023, Knec Website KCPE Results 2023, Www.knec-results.ac.ke, KCPE Results Kenya 2023, Www.knec.ac.ke/exm, KCPE Results 2023 Per School, Knec Website KCPE Results 2024, Www.knec-results.ac.ke, KCPE Results Kenya 2024, KCPE Results 2024 Per School, KCPE Knec Results 2024, Knec Website KCPE Results 2024, Www.knec-results.ac.ke, KCPE Results Kenya 2024, Www.knec.ac.ke/exm, KCPE Results 2024 Per School, Knec, KCPE 2022 Results, KCPE Results, Kenya Certificate of Primary Education Pupils Result Check, Top 100 Puplic Primary Schools in 2022 KCPE, KCPE Knec 2022, KCPE 2022 Online Results Check, KCPE Results 2022, KCPE 2022, Knec KCPE Results 2022, KCPE 2022 Results, KCPE, Knec Results, Knec KCPE Results 2022, Knec Results 2022, 2022 KCPE Results, Knec Website, Knec KCPE Results, KCPE Results Online, https://www.advance-africa.com/KCPE-results.html Knec KCPE Results 2022 Online, Knec 2022 KCPE Results, KCPE 2022 Online Results, KCPE 2022 Results Online, KCPE Results 2022 Online, KCPE Results 2022 Top 100 Schools, KCPE 2022 Result, K.c.p.e Results 2022, K.n.e.c, K.c.p.e Results, Knec KCPE 2022, Knec KCPE 2022 Results, K C P E 2022, Online KCPE 2022 Results, 2022 KCPE Result, 2022 KCPE Results Online, K.c.p.e, K.c.p.e 2022, KCPE, KCPE Result 2022, Knec 2022, Knec2022, 2022 KCPE Online Results, KCPE Results 2022, Knec 2022 Results, Online KCPE Results 2022, 2022 K.c.p.e Results, KCPE Online Results, KCPE Results 2022, How to Check KCPE 2022 Results Online, Online 2022 KCPE Results, How to Check for My 2022 Result KCPE, K.c.p.e 2022 Results, Knec., Online KCPE Results, Top 100 Schools KCPE 2022, https://www.advance-africa.com/KCPE-results.html, Bomet County KCPE Results, K C P E Results, KCPE 2022 Result Online, KCPE Online Results 2022, KCPE Results Online 2022, Top 100 Candidates Nationally, Www.advance-africa.com/KCPE Results, How to Check KCPE Results, KCPE 2022 Online, KCPE 2022online Result, KCPE Results 2022 Knec, KCPE Results2022, KCPE Results 2022 Online, Knec KCPE, Knec KCPE Results 2022 Online, Top 100 Candidates 2022 Countrywide, Top 100 KCPE Kiambu 2022, Top 100 Schools in Kericho Country KCPE 2022, Top 100 Students KCPE 2022, Top 100 Students KCPE 2022, Www Knec Ac Ke KCPE Results 2022, Www.KCPE 2022 Individual Results.com, 2022 Knec Results, 2022 Online KCPE Results, 2022KCPE Results, Check KCPE 2022 Results Online, Download KCPE Results 2022, How to Check KCPE Results Online, How to Download KCPE Results 2022 for Acertain School, How to Get KCPE Results 2022 Online, K.c.p.e 2022 Result, K.c.p.e. Results 2022, K.n.e.c Website, KCPE 2022. Online Results, KCPE Knec Results, KCPE Result, KCPE Results 2022 Downloads, KCPE Results 2022 Per County, Knec 2022 K.c.p.e Results, Knec KCPE Online Results 2022, Knec KCPE Result 2022, Knec KCPE Results Online, Knec Result 2022, Knec-KCPE Results 2022, Top Hundred Students in 2022 KCPE Countrywide, Www.knec Result Nairobi County, Www.knec. KCPE Results 2022.ac.ke, Www.knec.ac.ke 2022 KCPE Results, Www.knec.ac.ke 2022 KCPE Results Top 100 Schools in Nairobi, 2022 K.c.p.e Online Results, 2022 KCPE Examination Results, 2022 KCPE Resuts Online, 2022 Kenya Certificate of Primary Education, Check KCPE Results 2022 Online, Check My KCPE Results, Finding KCPE Result 2022, How Can I Get KCPE Results List of Any School, How Can One Check KCPE 2022 Results on Line, How to Check 2022 KCPE Results Online, How to Check KCPE Results 2022, How to Check KCPE Results 2022 Online, How to Check Kenya National Examination Council 2022, How to Check the School KCPE Results 2022, How to Find KCPE Results 2022, How to Get 2022 KCPE Results, Http/www K C P E/results., Knec, Knec KCPE Results 2022, Knec KCPE Results 2022, Knec Results 2022, Knec Results, Knec Website, Knec KCPE Results, Knec KCPE Results 2022 Online, Knec 2022 KCPE Results, Knec 2022 Results, Knec KCPE 2022 Results, Knec., Knec KCPE 2022, Knec 2022, Knec Result 2022, Knec KCPE Results 2022 Online, KCPE Results, KCPE Results 2022, KCPE 2022, https://www.advance-africa.com/KCPE-results.html, KCPE 2022 Results, KCPE, 2022 KCPE Results, KCPE Result 2022, KCPE Results 2022 Top 100 Schools, KCPE Results Online, KCPE Results 2022 Online, KCPE 2022 Online Results, KCPE 2022 Results Online, KCPE 2022 Result, KCPE Results 2022, 2022 KCPE Results Online, 2022 KCPE Online Results, KCPE Result Slip, KCPE Result Slip 2022, 2022 KCPE Result Slip, Online KCPE Results 2022, KCPE 2022 Result Slip, Bomet County KCPE Results, KCPE Online Results, Top 100 Schools KCPE 2022, KCPE Online Results 2022, Online 2022 KCPE Results, 2022 KCPE Result, How to Check for My 2022 Result KCPE, KCPE 2022 Result Slips, Online KCPE 2022 Results, K.c.p.e Results 2022, K.c.p.e Results, K.c.p.e, K.c.p.e 2022, 2022 K.c.p.e Results, K.c.p.e 2022 Results, K.c.p.e Result 2022, KCPE Website, KCPE Online Registration, Online KCPE Entries Report, KCPE Results Online, Knec KCPE Online, KCPE Result Highest Score Was? KCPE Timetable - KCPE Leakage - KCPE Dates KCPE - Results Release Dates KCPE - Results Announcement Date KCPE - KCPE Questions - KCPE Registration Confirmation - KCPE Mathematics Paper - KCPE English Paper - KCPE Science Questions Knec, KCPE 2022 Results, KCPE Results, Kenya Certificate of Primary Education Results Check, Knec, KCPE 2023 Results, KCPE Results, Kenya Certificate of Primary Education Pupils Result Check, Top 100 Puplic Primary Schools in 2023 KCPE, KCPE Knec 2023, KCPE 2023 Online Results Check, KCPE Results 2023, KCPE 2023, Knec KCPE Results 2023, KCPE 2023 Results, KCPE, Knec Results, Knec KCPE Results 2023, Knec Results 2023, 2023 KCPE Results, Knec Website, Knec KCPE Results, KCPE Results Online, https://www.advance-africa.com/KCPE-results.html Knec KCPE Results 2023 Online, Knec 2023 KCPE Results, KCPE 2023 Online Results, KCPE 2023 Results Online, KCPE Results 2023 Online, KCPE Results 2023 Top 100 Schools, KCPE 2023 Result, K.c.p.e Results 2023, K.n.e.c, K.c.p.e Results, Knec KCPE 2023, Knec KCPE 2023 Results, K C P E 2023, Online KCPE 2023 Results, 2023 KCPE Result, 2023 KCPE Results Online, K.c.p.e, K.c.p.e 2023, KCPE, KCPE Result 2023, Knec 2023, Knec2023, 2023 KCPE Online Results, KCPE Results 2023, Knec 2023 Results, Online KCPE Results 2023, 2023 K.c.p.e Results, KCPE Online Results, KCPE Results 2023, How to Check KCPE 2023 Results Online, Online 2023 KCPE Results, How to Check for My 2023 Result KCPE, K.c.p.e 2023 Results, Knec., Online KCPE Results, Top 100 Schools KCPE 2023, https://www.advance-africa.com/KCPE-results.html, Bomet County KCPE Results, K C P E Results, KCPE 2023 Result Online, KCPE Online Results 2023, KCPE Results Online 2023, Top 100 Candidates Nationally, Www.advance-africa.com/KCPE Results, How to Check KCPE Results, KCPE 2023 Online, KCPE 2023online Result, KCPE Results 2023 Knec, KCPE Results2023, KCPE Results 2023 Online, Knec KCPE, Knec KCPE Results 2023 Online, Top 100 Candidates 2023 Countrywide, Top 100 KCPE Kiambu 2023, Top 100 Schools in Kericho Country KCPE 2023, Top 100 Students KCPE 2023, Top 100 Students KCPE 2023, Www Knec Ac Ke KCPE Results 2023, Www.KCPE 2023 Individual Results.com, 2023 Knec Results, 2023 Online KCPE Results, 2023KCPE Results, Check KCPE 2023 Results Online, Download KCPE Results 2023, How to Check KCPE Results Online, How to Download KCPE Results 2023 for Acertain School, How to Get KCPE Results 2023 Online, K.c.p.e 2023 Result, K.c.p.e. Results 2023, K.n.e.c Website, KCPE 2023. Online Results, KCPE Knec Results, KCPE Result, KCPE Results 2023 Downloads, KCPE Results 2023 Per County, Knec 2023 K.c.p.e Results, Knec KCPE Online Results 2023, Knec KCPE Result 2023, Knec KCPE Results Online, Knec Result 2023, Knec-KCPE Results 2023, Top Hundred Students in 2023 KCPE Countrywide, Www.knec Result Nairobi County, Www.knec. KCPE Results 2023.ac.ke, Www.knec.ac.ke 2023 KCPE Results, Www.knec.ac.ke 2023 KCPE Results Top 100 Schools in Nairobi, 2023 K.c.p.e Online Results, 2023 KCPE Examination Results, 2023 KCPE Resuts Online, 2023 Kenya Certificate of Primary Education, Check KCPE Results 2023 Online, Check My KCPE Results, Finding KCPE Result 2023, How Can I Get KCPE Results List of Any School, How Can One Check KCPE 2023 Results on Line, How to Check 2023 KCPE Results Online, How to Check KCPE Results 2023, How to Check KCPE Results 2023 Online, How to Check Kenya National Examination Council 2023, How to Check the School KCPE Results 2023, How to Find KCPE Results 2023, How to Get 2023 KCPE Results, Http/www K C P E/results., Knec, Knec KCPE Results 2023, Knec KCPE Results 2023, Knec Results 2023, Knec Results, Knec Website, Knec KCPE Results, Knec KCPE Results 2023 Online, Knec 2023 KCPE Results, Knec 2023 Results, Knec KCPE 2023 Results, Knec., Knec KCPE 2023, Knec 2023, Knec Result 2023, Knec KCPE Results 2023 Online, KCPE Results, KCPE Results 2023, KCPE 2023, https://www.advance-africa.com/KCPE-results.html, KCPE 2023 Results, KCPE, 2023 KCPE Results, KCPE Result 2023, KCPE Results 2023 Top 100 Schools, KCPE Results Online, KCPE Results 2023 Online, KCPE 2023 Online Results, KCPE 2023 Results Online, KCPE 2023 Result, KCPE Results 2023, 2023 KCPE Results Online, 2023 KCPE Online Results, KCPE Result Slip, KCPE Result Slip 2023, 2023 KCPE Result Slip, Online KCPE Results 2023, KCPE 2023 Result Slip, Bomet County KCPE Results, KCPE Online Results, Top 100 Schools KCPE 2023, KCPE Online Results 2023, Online 2023 KCPE Results, 2023 KCPE Result, How to Check for My 2023 Result KCPE, KCPE 2023 Result Slips, Online KCPE 2023 Results, K.c.p.e Results 2023, K.c.p.e Results, K.c.p.e, K.c.p.e 2023, 2023 K.c.p.e Results, K.c.p.e 2023 Results, K.c.p.e Result 2023, KCPE Website, KCPE Online Registration, Online KCPE Entries Report, KCPE Results Online, Knec KCPE Online, KCPE Result Highest Score Was? KCPE Timetable - KCPE Leakage - KCPE Dates KCPE - Results Release Dates KCPE - Results Announcement Date KCPE - KCPE Questions - KCPE Registration Confirmation - KCPE Mathematics Paper - KCPE English Paper - KCPE Science Questions Knec, KCPE 2023 Results, KCPE Results, Kenya Certificate of Primary Education Results Check, Knec, KCPE 2024 Results, KCPE Results, Kenya Certificate of Primary Education Pupils Result Check, Top 100 Puplic Primary Schools in 2024 KCPE, KCPE Knec 2024, KCPE 2024 Online Results Check, KCPE Results 2024, KCPE 2024, Knec KCPE Results 2024, KCPE 2024 Results, KCPE, Knec Results, Knec KCPE Results 2024, Knec Results 2024, 2024 KCPE Results, Knec Website, Knec KCPE Results, KCPE Results Online, https://www.advance-africa.com/KCPE-results.html Knec KCPE Results 2024 Online, Knec 2024 KCPE Results, KCPE 2024 Online Results, KCPE 2024 Results Online, KCPE Results 2024 Online, KCPE Results 2024 Top 100 Schools, KCPE 2024 Result, K.c.p.e Results 2024, K.n.e.c, K.c.p.e Results, Knec KCPE 2024, Knec KCPE 2024 Results, K C P E 2024, Online KCPE 2024 Results, 2024 KCPE Result, 2024 KCPE Results Online, K.c.p.e, K.c.p.e 2024, KCPE, KCPE Result 2024, Knec 2024, Knec2024, 2024 KCPE Online Results, KCPE Results 2024, Knec 2024 Results, Online KCPE Results 2024, 2024 K.c.p.e Results, KCPE Online Results, KCPE Results 2024, How to Check KCPE 2024 Results Online, Online 2024 KCPE Results, How to Check for My 2024 Result KCPE, K.c.p.e 2024 Results, Knec., Online KCPE Results, Top 100 Schools KCPE 2024, https://www.advance-africa.com/KCPE-results.html, Bomet County KCPE Results, K C P E Results, KCPE 2024 Result Online, KCPE Online Results 2024, KCPE Results Online 2024, Top 100 Candidates Nationally, Www.advance-africa.com/KCPE Results, How to Check KCPE Results, KCPE 2024 Online, KCPE 2024online Result, KCPE Results 2024 Knec, KCPE Results2024, KCPE Results 2024 Online, Knec KCPE, Knec KCPE Results 2024 Online, Top 100 Candidates 2024 Countrywide, Top 100 KCPE Kiambu 2024, Top 100 Schools in Kericho Country KCPE 2024, Top 100 Students KCPE 2024, Top 100 Students KCPE 2024, Www Knec Ac Ke KCPE Results 2024, Www.KCPE 2024 Individual Results.com, 2024 Knec Results, 2024 Online KCPE Results, 2024KCPE Results, Check KCPE 2024 Results Online, Download KCPE Results 2024, How to Check KCPE Results Online, How to Download KCPE Results 2024 for Acertain School, How to Get KCPE Results 2024 Online, K.c.p.e 2024 Result, K.c.p.e. Results 2024, K.n.e.c Website, KCPE 2024. Online Results, KCPE Knec Results, KCPE Result, KCPE Results 2024 Downloads, KCPE Results 2024 Per County, Knec 2024 K.c.p.e Results, Knec KCPE Online Results 2024, Knec KCPE Result 2024, Knec KCPE Results Online, Knec Result 2024, Knec-KCPE Results 2024, Top Hundred Students in 2024 KCPE Countrywide, Www.knec Result Nairobi County, Www.knec. KCPE Results 2024.ac.ke, Www.knec.ac.ke 2024 KCPE Results, Www.knec.ac.ke 2024 KCPE Results Top 100 Schools in Nairobi, 2024 K.c.p.e Online Results, 2024 KCPE Examination Results, 2024 KCPE Resuts Online, 2024 Kenya Certificate of Primary Education, Check KCPE Results 2024 Online, Check My KCPE Results, Finding KCPE Result 2024, How Can I Get KCPE Results List of Any School, How Can One Check KCPE 2024 Results on Line, How to Check 2024 KCPE Results Online, How to Check KCPE Results 2024, How to Check KCPE Results 2024 Online, How to Check Kenya National Examination Council 2024, How to Check the School KCPE Results 2024, How to Find KCPE Results 2024, How to Get 2024 KCPE Results, Http/www K C P E/results., Knec, Knec KCPE Results 2024, Knec KCPE Results 2024, Knec Results 2024, Knec Results, Knec Website, Knec KCPE Results, Knec KCPE Results 2024 Online, Knec 2024 KCPE Results, Knec 2024 Results, Knec KCPE 2024 Results, Knec., Knec KCPE 2024, Knec 2024, Knec Result 2024, Knec KCPE Results 2024 Online, KCPE Results, KCPE Results 2024, KCPE 2024, https://www.advance-africa.com/KCPE-results.html, KCPE 2024 Results, KCPE, 2024 KCPE Results, KCPE Result 2024, KCPE Results 2024 Top 100 Schools, KCPE Results Online, KCPE Results 2024 Online, KCPE 2024 Online Results, KCPE 2024 Results Online, KCPE 2024 Result, KCPE Results 2024, 2024 KCPE Results Online, 2024 KCPE Online Results, KCPE Result Slip, KCPE Result Slip 2024, 2024 KCPE Result Slip, Online KCPE Results 2024, KCPE 2024 Result Slip, Bomet County KCPE Results, KCPE Online Results, Top 100 Schools KCPE 2024, KCPE Online Results 2024, Online 2024 KCPE Results, 2024 KCPE Result, How to Check for My 2024 Result KCPE, KCPE 2024 Result Slips, Online KCPE 2024 Results, K.c.p.e Results 2024, K.c.p.e Results, K.c.p.e, K.c.p.e 2024, 2024 K.c.p.e Results, K.c.p.e 2024 Results, K.c.p.e Result 2024, KCPE Website, KCPE Online Registration, Online KCPE Entries Report, KCPE Results Online, Knec KCPE Online, KCPE Result Highest Score Was? KCPE Timetable - KCPE Leakage - KCPE Dates KCPE - Results Release Dates KCPE - Results Announcement Date KCPE - KCPE Questions - KCPE Registration Confirmation - KCPE Mathematics Paper - KCPE English Paper - KCPE Science Questions Knec, KCPE 2024 Results, KCPE Results, Kenya Certificate of Primary Education Results Check, Knec, Knec KCPE Results 2022, Knec KCPE Results 2022, Knec Results 2022, Knec Results, Knec Website, Knec KCPE Results, Knec, Knec KCPE Results 2023, Knec KCPE Results 2023, Knec Results 2023, Knec Results, Knec Website, Knec KCPE Results, Knec, Knec KCPE Results 2024, Knec KCPE Results 2024, Knec Results 2024, Knec Results, Knec Website, Knec KCPE Results, Knec.ac.ke Knec.co.ke Knec.com Knec;KCPE 2022 Results Release Date Knec;KCPE 2023 Results Release Date Knec;KCPE 2024 Results Release Date Kneck Results 2022 Kneck Results 2023 Kneck Results 2024 Ksce Results Kuccps Cluster Points Kwale County KCPE Results 2022 Kwale County KCPE Results 2022/2022 Kwale County KCPE Results 2023 Kwale County KCPE Results 2023/2023 Kwale County KCPE Results 2024 Kwale County KCPE Results 2024/2024 Laikipia County KCPE Results 2022 Laikipia County KCPE Results 2022/2022 Laikipia County KCPE Results 2023 Laikipia County KCPE Results 2023/2023 Laikipia County KCPE Results 2024 Laikipia County KCPE Results 2024/2024 Lamu County KCPE Results 2022 Lamu County KCPE Results 2022/2022 Lamu County KCPE Results 2023 Lamu County KCPE Results 2023/2023 Lamu County KCPE Results 2024 Lamu County KCPE Results 2024/2024 Leading Primary School in Kenya KCPE Resalts Legal Documents Governing Education in Kenya Lincepadie 2022 KCPE Results Lincepadie 2022 Results Lincepadie 2023 KCPE Results Lincepadie 2023 Results Lincepadie 2024 KCPE Results Lincepadie 2024 Results List of People Who Passed in KCPE 2022 List of People Who Passed in KCPE 2023 List of People Who Passed in KCPE 2024 List of Students With 300 Marks and Above List of Students With 300 Marks and Above in KCPE List of Students With 300+ and Above List of Students With 300+ and Above in KCPE List of Students With 400 Marks and Above List of Students With 400 Marks and Above in KCPE List of Students With 400+ and Above List of Students With 400+ and Above in KCPE List of Top 100 Schools in KCPE 2022 List of Top 100 Schools in KCPE 2023 List of Top 100 Schools in KCPE 2024 Machakos County KCPE Results 2022 Machakos County KCPE Results 2022/2022 Machakos County KCPE Results 2023 Machakos County KCPE Results 2023/2023 Machakos County KCPE Results 2024 Machakos County KCPE Results 2024/2024 Magoha: KCPE Results Out in Two Weeks Makueni County KCPE Results 2022 Makueni County KCPE Results 2022/2022 Makueni County KCPE Results 2023 Makueni County KCPE Results 2023/2023 Makueni County KCPE Results 2024 Makueni County KCPE Results 2024/2024 Malungu Primary KCPE Results 2022 Malungu Primary KCPE Results 2023 Malungu Primary KCPE Results 2024 Mandera County KCPE Results 2022 Mandera County KCPE Results 2022/2022 Mandera County KCPE Results 2023 Mandera County KCPE Results 2023/2023 Mandera County KCPE Results 2024 Mandera County KCPE Results 2024/2024 Mangu High School 2022 KCPE Results Mangu High School 2023 KCPE Results Mangu High School 2024 KCPE Results Marsabit County KCPE Results 2022 Marsabit County KCPE Results 2022/2022 Marsabit County KCPE Results 2023 Marsabit County KCPE Results 2023/2023 Marsabit County KCPE Results 2024 Marsabit County KCPE Results 2024/2024 Maths KCPE 2022 Maths KCPE 2023 Maths KCPE 2024 Meru County KCPE Results 2022 Meru County KCPE Results 2022/2022 Meru County KCPE Results 2023 Meru County KCPE Results 2023/2023 Meru County KCPE Results 2024 Meru County KCPE Results 2024/2024 Migori County KCPE Results 2022 Migori County KCPE Results 2022/2022 Migori County KCPE Results 2023 Migori County KCPE Results 2023/2023 Migori County KCPE Results 2024 Migori County KCPE Results 2024/2024 Ministry of Education Kenya Term Dates Ministry of Education Kenya Term Dates 2022 Pdf Ministry of Education Kenya Term Dates 2023 Pdf Ministry of Education Kenya Term Dates 2024 Pdf Ministry of Education Term Dates 2022 Kenya Ministry of Education Term Dates 2023 Kenya Ministry of Education Term Dates 2024 Kenya Moi Girls Isinya 2022 KCPE Results Moi Girls Isinya 2023 KCPE Results Moi Girls Isinya 2024 KCPE Results Moi Girls School Eldoret KCPE 2022 Moi Girls School Eldoret KCPE 2023 Moi Girls School Eldoret KCPE 2024 Moi Girls School Nairobi 2022 Results Moi Girls School Nairobi 2023 Results Moi Girls School Nairobi 2024 Results Mombasa County KCPE Results 2022 Mombasa County KCPE Results 2022/2022 Mombasa County KCPE Results 2023 Mombasa County KCPE Results 2023/2023 Mombasa County KCPE Results 2024 Mombasa County KCPE Results 2024/2024 Mt Kenya Academy KCPE Results 2022 Mt Kenya Academy KCPE Results 2023 Mt Kenya Academy KCPE Results 2024 Murang'a County KCPE Results 2022 Murang'a County KCPE Results 2022/2022 Murang'a County KCPE Results 2023 Murang'a County KCPE Results 2023/2023 Murang'a County KCPE Results 2024 Murang'a County KCPE Results 2024/2024 My KCPE Results Nairobi County KCPE Results 2022 Nairobi County KCPE Results 2022/2022 Nairobi County KCPE Results 2023 Nairobi County KCPE Results 2023/2023 Nairobi County KCPE Results 2024 Nairobi County KCPE Results 2024/2024 Nairobi KCPE Results 2022 Nairobi KCPE Results 2022/2022 Nairobi KCPE Results 2023 Nairobi KCPE Results 2023/2023 Nairobi KCPE Results 2024 Nairobi KCPE Results 2024/2024 Nakuru County KCPE Results 2022 Nakuru County KCPE Results 2022/2022 Nakuru County KCPE Results 2023 Nakuru County KCPE Results 2023/2023 Nakuru County KCPE Results 2024 Nakuru County KCPE Results 2024/2024 Nandi County KCPE Results 2022 Nandi County KCPE Results 2022/2022 Nandi County KCPE Results 2023 Nandi County KCPE Results 2023/2023 Nandi County KCPE Results 2024 Nandi County KCPE Results 2024/2024 Narok County KCPE Results 2022 Narok County KCPE Results 2022/2022 Narok County KCPE Results 2023 Narok County KCPE Results 2023/2023 Narok County KCPE Results 2024 Narok County KCPE Results 2024/2024 New Term Dates for Schools in Kenya 2022 New Term Dates for Schools in Kenya 2023 New Term Dates for Schools in Kenya 2024 North Eastern KCPE Results 2022 North Eastern KCPE Results 2022/2022 North Eastern KCPE Results 2023 North Eastern KCPE Results 2023/2023 North Eastern KCPE Results 2024 North Eastern KCPE Results 2024/2024 Nyamira County KCPE Results 2022 Nyamira County KCPE Results 2022/2022 Nyamira County KCPE Results 2023 Nyamira County KCPE Results 2023/2023 Nyamira County KCPE Results 2024 Nyamira County KCPE Results 2024/2024 Nyandarua County KCPE Results 2022 Nyandarua County KCPE Results 2022/2022 Nyandarua County KCPE Results 2023 Nyandarua County KCPE Results 2023/2023 Nyandarua County KCPE Results 2024 Nyandarua County KCPE Results 2024/2024 Nyanza KCPE Results 2022 Nyanza KCPE Results 2022/2022 Nyanza KCPE Results 2023 Nyanza KCPE Results 2023/2023 Nyanza KCPE Results 2024 Nyanza KCPE Results 2024/2024 Nyeri County KCPE Results 2022 Nyeri County KCPE Results 2022/2022 Nyeri County KCPE Results 2023 Nyeri County KCPE Results 2023/2023 Nyeri County KCPE Results 2024 Nyeri County KCPE Results 2024/2024 Official Day of Releasing KCPE Exams Official Knec KCPE 2022 Results Checking Sms Code Official Knec KCPE 2022 Results Release Day and Dates Official Knec KCPE 2023 Results Checking Sms Code Official Knec KCPE 2023 Results Release Day and Dates Official Knec KCPE 2024 Results Checking Sms Code Official Knec KCPE 2024 Results Release Day and Dates Online KCPE Results Online KCPE Results 2022 Online KCPE Results 2022, KCPE Result 2022, Www.knec.ac.ke KCPE Results 2022, Www.knec, Top 100 Schools in KCPE, KCPE Results for 2022, Online KCPE Results 2023 Online KCPE Results 2023, KCPE Result 2023, Www.knec.ac.ke KCPE Results 2023, Www.knec, Top 100 Schools in KCPE, KCPE Results for 2023, Online KCPE Results 2024 Online KCPE Results 2024, KCPE Result 2024, Www.knec.ac.ke KCPE Results 2024, Www.knec, Top 100 Schools in KCPE, KCPE Results for 2024, Reactions on KCPE Marks on Private Schools Release Date for KCPE Release Date of KCPE 2022 Release Date of KCPE 2023 Release Date of KCPE 2024 Release Dates of KCPE 2022 Release Dates of KCPE 2023 Release Dates of KCPE 2024 Release of 2022 KCPE Results Release of 2023 KCPE Results Release of 2024 KCPE Results Release of Examinations Results – Knec Release of KCPE 2022 Release of KCPE 2022 Results Release of KCPE 2023 Release of KCPE 2023 Results Release of KCPE 2024 Release of KCPE 2024 Results Release of KCPE Exams 2022 Release of KCPE Exams 2023 Release of KCPE Exams 2024 Release of KCPE Results 2022 Release of KCPE Results 2023 Release of KCPE Results 2024 Release of KCSE Results 2022 Release of KCSE Results 2023 Release of KCSE Results 2024 Release Time of KCPE 2022 Release Time of KCPE 2023 Release Time of KCPE 2024 Release Times of KCPE 2022 Release Times of KCPE 2023 Release Times of KCPE 2024 Results KCPE 2022 Results KCPE 2023 Results KCPE 2024 Results Release Day and Dates by Knec Results Release Day and Dates by Knec KCPE Results Slip 2022 KCPE Results Slip 2023 KCPE Results Slip 2024 KCPE Revised 2022 KCPE Results Timetable Revised 2022 KCPE Timetable Revised 2023 KCPE Results Timetable Revised 2023 KCPE Timetable Revised 2024 KCPE Results Timetable Revised 2024 KCPE Timetable Revised KCPE Results Timetable 2022 Revised KCPE Results Timetable 2023 Revised KCPE Results Timetable 2024 Revised KCPE Timetable 2022 Revised KCPE Timetable 2023 Revised KCPE Timetable 2024 Rift Valley KCPE Results 2022 Rift Valley KCPE Results 2022/2022 Rift Valley KCPE Results 2023 Rift Valley KCPE Results 2023/2023 Rift Valley KCPE Results 2024 Rift Valley KCPE Results 2024/2024 Samburu County KCPE Results 2022 Samburu County KCPE Results 2022/2022 Samburu County KCPE Results 2023 Samburu County KCPE Results 2023/2023 Samburu County KCPE Results 2024 Samburu County KCPE Results 2024/2024 School 2022 KCPE Results School 2023 KCPE Results School 2024 KCPE Results School KCPE Results 2022 School KCPE Results 2023 School KCPE Results 2024 School Records Over 90 Pupils With 400 Marks and Above Siaya County KCPE Results 2022 Siaya County KCPE Results 2022/2022 Siaya County KCPE Results 2023 Siaya County KCPE Results 2023/2023 Siaya County KCPE Results 2024 Siaya County KCPE Results 2024/2024 Sms Number for Checking KCPE Sms Number for Today KCPE Result Sms Number for Today KCPE Results Taita-taveta County KCPE Results 2022 Taita-taveta County KCPE Results 2022/2022 Taita-taveta County KCPE Results 2023 Taita-taveta County KCPE Results 2023/2023 Taita-taveta County KCPE Results 2024 Taita-taveta County KCPE Results 2024/2024 Tana River County KCPE Results 2022 Tana River County KCPE Results 2022/2022 Tana River County KCPE Results 2023 Tana River County KCPE Results 2023/2023 Tana River County KCPE Results 2024 Tana River County KCPE Results 2024/2024 Term Dates 2022 Kenyan Schools Term Dates 2023 Kenyan Schools Term Dates 2024 Kenyan Schools Term Dates Kenya 2022 Term Dates Kenya 2023 Term Dates Kenya 2024 Tharaka-nithi County KCPE Results 2022 Tharaka-nithi County KCPE Results 2022/2022 Tharaka-nithi County KCPE Results 2023 Tharaka-nithi County KCPE Results 2023/2023 Tharaka-nithi County KCPE Results 2024 Tharaka-nithi County KCPE Results 2024/2024 The Date of Releasing KCPE 2022 Exam The Date of Releasing KCPE 2022 Exam When is KCPE Exam Being Releast 2022 KCPE Results Releasing Day When Are the KCPE Results Coming Out When Will KCPE Results Be Announced? When Will Be the Realese of KCPE Results When Will KCPE Results 2022 Be Out? KCPE Results of the Year 2022 Will Be Released on When? The Date When KCPE Results 2022 Will Be Released When Will KCPE Result Be Out? Knec;KCPE 2022 Results Release Date When is KCPE Exam Being Releast When Will KCPE Exam Annoced the Date of Releasing KCPE 2022 Exam KCPE Releasing Day KCPE 2022 Results Release Date When Will KCPE 2022 Results Be Out? Which Date is 2022 KCPE Results Coming Out? Release of KCPE Exams 2022 When is the K.c.p.e Results Being Announced KCPE 2022 Result Release Date? K.c.p.e Details Annouencement Period KCPE 2022 Results Release Date Breaking News About 2022 Release of KCPE Results Annoncing of KCPE and KCPE Resurlt 2022 When Will KCPE Results Be Released KCPE 2022 Results Release Date When Will Results of KCPE 2022 Be Released ? 2022 Date When KCPE Will Be Released KCPE 2022 Result Announcement. KCPE 2022 Results Date of Release Updates Annoncing of KCPE and KCPE Resurlt 2022 Date Pf 2022 KCPE Results Announcement by Matiagi Release Date for KCPE KCPE 2022 Result Release Date KCPE Results 2022 Announcement KCPE 2022 Results Date KCPE 2022 Release Dates Which is the Best School in Kenya KCPE When is KCPE Results is Being Released When Will 2022 KCPE Exam Be Released When Will KCPE Results Be Released When Will 2022 KCPE Rests Be Released When Do KCPE Results 2022 Announce Update on KCPE the Knec Breaking News KCPE 2022 Result Release Day Date of Release of KCPE Exams 2022 Announcement Date for KCPE When Will KCPE 2022 Results Be Released? When is the Release of KCPE 2022 2022 K C.p.e Results Day of Announcement of Results Date of Release of 2022 KCPE Results When Are KCPE Results 2022 Being Released 2022 KCPE to Be Released on? - When is Form Four Results Released - Time for KCPE2022 Realese - Time of KCPE Release - Date of Form 4 Results Announcement - at What Time Will the KCPE Results Be Announced? The Date of Releasing KCPE 2023 Exam The Date of Releasing KCPE 2023 Exam When is KCPE Exam Being Releast 2023 KCPE Results Releasing Day When Are the KCPE Results Coming Out When Will KCPE Results Be Announced? When Will Be the Realese of KCPE Results When Will KCPE Results 2023 Be Out? KCPE Results of the Year 2023 Will Be Released on When? The Date When KCPE Results 2023 Will Be Released When Will KCPE Result Be Out? Knec;KCPE 2023 Results Release Date When is KCPE Exam Being Releast When Will KCPE Exam Annoced the Date of Releasing KCPE 2023 Exam KCPE Releasing Day KCPE 2023 Results Release Date When Will KCPE 2023 Results Be Out? Which Date is 2023 KCPE Results Coming Out? Release of KCPE Exams 2023 When is the K.c.p.e Results Being Announced KCPE 2023 Result Release Date? K.c.p.e Details Annouencement Period KCPE 2023 Results Release Date Breaking News About 2023 Release of KCPE Results Annoncing of KCPE and KCPE Resurlt 2023 When Will KCPE Results Be Released KCPE 2023 Results Release Date When Will Results of KCPE 2023 Be Released ? 2023 Date When KCPE Will Be Released KCPE 2023 Result Announcement. KCPE 2023 Results Date of Release Updates Annoncing of KCPE and KCPE Resurlt 2023 Date Pf 2023 KCPE Results Announcement by Matiagi Release Date for KCPE KCPE 2023 Result Release Date KCPE Results 2023 Announcement KCPE 2023 Results Date KCPE 2023 Release Dates Which is the Best School in Kenya KCPE When is KCPE Results is Being Released When Will 2023 KCPE Exam Be Released When Will KCPE Results Be Released When Will 2023 KCPE Rests Be Released When Do KCPE Results 2023 Announce Update on KCPE the Knec Breaking News KCPE 2023 Result Release Day Date of Release of KCPE Exams 2023 Announcement Date for KCPE When Will KCPE 2023 Results Be Released? When is the Release of KCPE 2023 2023 K C.p.e Results Day of Announcement of Results Date of Release of 2023 KCPE Results When Are KCPE Results 2023 Being Released 2023 KCPE to Be Released on? - When is Form Four Results Released - Time for KCPE2023 Realese - Time of KCPE Release - Date of Form 4 Results Announcement - at What Time Will the KCPE Results Be Announced? The Date of Releasing KCPE 2024 Exam The Date of Releasing KCPE 2024 Exam When is KCPE Exam Being Releast 2024 KCPE Results Releasing Day When Are the KCPE Results Coming Out When Will KCPE Results Be Announced? When Will Be the Realese of KCPE Results When Will KCPE Results 2024 Be Out? KCPE Results of the Year 2024 Will Be Released on When? The Date When KCPE Results 2024 Will Be Released When Will KCPE Result Be Out? Knec;KCPE 2024 Results Release Date When is KCPE Exam Being Releast When Will KCPE Exam Annoced the Date of Releasing KCPE 2024 Exam KCPE Releasing Day KCPE 2024 Results Release Date When Will KCPE 2024 Results Be Out? Which Date is 2024 KCPE Results Coming Out? Release of KCPE Exams 2024 When is the K.c.p.e Results Being Announced KCPE 2024 Result Release Date? K.c.p.e Details Annouencement Period KCPE 2024 Results Release Date Breaking News About 2024 Release of KCPE Results Annoncing of KCPE and KCPE Resurlt 2024 When Will KCPE Results Be Released KCPE 2024 Results Release Date When Will Results of KCPE 2024 Be Released ? 2024 Date When KCPE Will Be Released KCPE 2024 Result Announcement. KCPE 2024 Results Date of Release Updates Annoncing of KCPE and KCPE Resurlt 2024 Date Pf 2024 KCPE Results Announcement by Matiagi Release Date for KCPE KCPE 2024 Result Release Date KCPE Results 2024 Announcement KCPE 2024 Results Date KCPE 2024 Release Dates Which is the Best School in Kenya KCPE When is KCPE Results is Being Released When Will 2024 KCPE Exam Be Released When Will KCPE Results Be Released When Will 2024 KCPE Rests Be Released When Do KCPE Results 2024 Announce Update on KCPE the Knec Breaking News KCPE 2024 Result Release Day Date of Release of KCPE Exams 2024 Announcement Date for KCPE When Will KCPE 2024 Results Be Released? When is the Release of KCPE 2024 2024 K C.p.e Results Day of Announcement of Results Date of Release of 2024 KCPE Results When Are KCPE Results 2024 Being Released 2024 KCPE to Be Released on? - When is Form Four Results Released - Time for KCPE2024 Realese - Time of KCPE Release - Date of Form 4 Results Announcement - at What Time Will the KCPE Results Be Announced? The Date When KCPE Results 2022 Will Be Released The Date When KCPE Results 2023 Will Be Released The Date When KCPE Results 2024 Will Be Released The Exact Dates for the Release of the 2022 KCPE Exams Results is on The Exact Dates for the Release of the 2023 KCPE Exams Results is on The Exact Dates for the Release of the 2024 KCPE Exams Results is on The Knec Breaking News Third Term Opening Date Top 10 Schools Best for KCPE 2022 Results Top 10 Schools Best for KCPE 2023 Results Top 10 Schools Best for KCPE 2024 Results Top 10 Schools in KCPE 2022 Top 10 Schools in KCPE 2023 Top 10 Schools in KCPE 2024 Top 100 Candidates 2022 Countrywide, Top 100 KCPE Kiambu 2022, Top 100 Schools in Kericho Country KCPE 2022, Top 100 Students KCPE 2022, Top 100 Candidates 2023 Countrywide, Top 100 KCPE Kiambu 2023, Top 100 Schools in Kericho Country KCPE 2023, Top 100 Students KCPE 2023, Top 100 Candidates 2024 Countrywide, Top 100 KCPE Kiambu 2024, Top 100 Schools in Kericho Country KCPE 2024, Top 100 Students KCPE 2024, Top 100 Candidates Nationally, Www.advance-africa.com/KCPE Results, How to Check KCPE Results, KCPE 2022 Online, Top 100 Candidates Nationally, Www.advance-africa.com/KCPE Results, How to Check KCPE Results, KCPE 2023 Online, Top 100 Candidates Nationally, Www.advance-africa.com/KCPE Results, How to Check KCPE Results, KCPE 2024 Online, Top 100 KCPE 2022 Top 100 KCPE 2023 Top 100 KCPE 2024 Top 100 KCPE Candidates 2022 Top 100 KCPE Candidates 2023 Top 100 KCPE Candidates 2024 Top 100 KCPE Schools 2022 Top 100 KCPE Schools 2022, Www.knec.ac, Www.knec.ac.ke., Top Hundred Schools in KCPE 2022, Top Schools in KCPE 2022. Www.knec-results.ac.ke, Www.knec.ac.ke, KCPE Results 2022, KCPE Results, KCPE Results Online, Http://www.knec.ac.ke, Www.knec.com, https://www.advance-africa.com/KCPE-results.html, Www.knec.co.ke, Knec.ac.ke, Knec Results, KCPE 2022, Knec Results 2022, Www.knec-results.ac.ke, Kenya National Examination Council, Knec Website, Www.knec, KCPE, https://www.advance-africa.com/KCPE-results.html, https://www.advance-africa.com/KCPE-results-top-100-schools.html, Http://www.knec.ac.ke/, Top 100 KCPE Schools 2023 Top 100 KCPE Schools 2023, Www.knec.ac, Www.knec.ac.ke., Top Hundred Schools in KCPE 2023, Top Schools in KCPE 2023. Www.knec-results.ac.ke, Www.knec.ac.ke, KCPE Results 2023, KCPE Results, KCPE Results Online, Http://www.knec.ac.ke, Www.knec.com, https://www.advance-africa.com/KCPE-results.html, Www.knec.co.ke, Knec.ac.ke, Knec Results, KCPE 2023, Knec Results 2023, Www.knec-results.ac.ke, Kenya National Examination Council, Knec Website, Www.knec, KCPE, https://www.advance-africa.com/KCPE-results.html, https://www.advance-africa.com/KCPE-results-top-100-schools.html, Http://www.knec.ac.ke/, Top 100 KCPE Schools 2024 Top 100 KCPE Schools 2024, Www.knec.ac, Www.knec.ac.ke., Top Hundred Schools in KCPE 2024, Top Schools in KCPE 2024. Www.knec-results.ac.ke, Www.knec.ac.ke, KCPE Results 2024, KCPE Results, KCPE Results Online, Http://www.knec.ac.ke, Www.knec.com, https://www.advance-africa.com/KCPE-results.html, Www.knec.co.ke, Knec.ac.ke, Knec Results, KCPE 2024, Knec Results 2024, Www.knec-results.ac.ke, Kenya National Examination Council, Knec Website, Www.knec, KCPE, https://www.advance-africa.com/KCPE-results.html, https://www.advance-africa.com/KCPE-results-top-100-schools.html, Http://www.knec.ac.ke/, Top 100 Primary Schools in 2022 KCPE, KCPE Knec 2022, KCPE 2022 Online Results Check, KCPE Results 2022, Top 100 Primary Schools in 2023 KCPE, KCPE Knec 2023, KCPE 2023 Online Results Check, KCPE Results 2023, Top 100 Primary Schools in 2024 KCPE, KCPE Knec 2024, KCPE 2024 Online Results Check, KCPE Results 2024, Top 100 School in KCPE 2022 Top 100 School in KCPE 2023 Top 100 School in KCPE 2024 Top 100 Schools 2022 KCPE Top 100 Schools 2023 KCPE Top 100 Schools 2024 KCPE Top 100 Schools in 2022 KCPE Top 100 Schools in 2022 KCPE Results Top 100 Schools in 2023 KCPE Top 100 Schools in 2023 KCPE Results Top 100 Schools in 2024 KCPE Top 100 Schools in 2024 KCPE Results Top 100 Schools in KCPE 2022 Top 100 Schools in KCPE 2022 Released in 2022 Top 100 Schools in KCPE 2022 Results Top 100 Schools in KCPE 2022, 2022KCPE Results, KCPE Results 2022 Top 100 Students, KCPE 2022 Top 100 Schools, KCPE Results2022, Top 100 Schools in KCPE 2022, KCPE2022, 2022 KCPE Results Online, KCPE Online Results 2022, Kenya National Examination Council Results 2022, KCPE 2022 Results, Top 100 Schools in KCPE 2022, KCPE2022, KCPE Online Results, KCPE Online Results 2022, Kenya National Examination Council Results 2022, Top 100 Schools KCPE 2022, Top 100 Schools in KCPE 2022, KCPE2022, KCPE Online Results, Knec 2022 Results, 2022 KCPE Result, KCPE 2022, Top 100 Schools KCPE 2022, KCPE 2022 Results, Top 100 Schools in KCPE 2022, KCPE2022, Knec KCPE Results 2022, 2022 KCPE Results Online, 2022 KCPE Results, KCPE 2022, Top 100 Schools KCPE 2022, KCPE2022 Results, Top 100 Schools in KCPE 2022, KCPE2022, Knec KCPE Results 2022, 2022 KCPE Results Online, KCPE 2022, Top 100 Schools KCPE 2022, KCPE 2022 Results, Top 100 Schools in KCPE 2022, KCPE2022, Knec KCPE Results 2022, 2022 KCPE Results Online, Kenya National Examination Council Results 2022, KCPE Online, KCPE Results Kenya 2022, Top 100 Schools in KCPE 2022, KCPE2022, Knec KCPE Results 2022, KCPE Online Results, 2022 KCPE Results Online, 2022 KCPE Result, Top 100 Schools KCPE 2022, Top 100 Students KCPE 2022, Top 100 Schools in KCPE 2022, KCPE2022, Knec KCPE Results 2022, KCPE Online Results, KCPE Online Results 2022, Kenya National Examination Council Results 2022, Top 100 Students KCPE 2022, Top 100 Schools in KCPE 2022, KCPE2022, Knec KCPE Results 2022, KCPE Online Results, Knec 2022 Results, 2022 KCPE Results, KCPE 2022, KCPE2022 Results, Top 100 Schools in KCPE 2022, KCPE2022, Knec KCPE Results 2022, Knec 2022 Results, KCPE Online Results 2022, 2022 KCPE Results, KCPE 2022, KCPE 2022 Results, Top 100 Schools in KCPE 2023 Top 100 Schools in KCPE 2023 Released in 2023 Top 100 Schools in KCPE 2023 Results Top 100 Schools in KCPE 2023, 2023KCPE Results, KCPE Results 2023 Top 100 Students, KCPE 2023 Top 100 Schools, KCPE Results2023, Top 100 Schools in KCPE 2023, KCPE2023, 2023 KCPE Results Online, KCPE Online Results 2023, Kenya National Examination Council Results 2023, KCPE 2023 Results, Top 100 Schools in KCPE 2023, KCPE2023, KCPE Online Results, KCPE Online Results 2023, Kenya National Examination Council Results 2023, Top 100 Schools KCPE 2023, Top 100 Schools in KCPE 2023, KCPE2023, KCPE Online Results, Knec 2023 Results, 2023 KCPE Result, KCPE 2023, Top 100 Schools KCPE 2023, KCPE 2023 Results, Top 100 Schools in KCPE 2023, KCPE2023, Knec KCPE Results 2023, 2023 KCPE Results Online, 2023 KCPE Results, KCPE 2023, Top 100 Schools KCPE 2023, KCPE2023 Results, Top 100 Schools in KCPE 2023, KCPE2023, Knec KCPE Results 2023, 2023 KCPE Results Online, KCPE 2023, Top 100 Schools KCPE 2023, KCPE 2023 Results, Top 100 Schools in KCPE 2023, KCPE2023, Knec KCPE Results 2023, 2023 KCPE Results Online, Kenya National Examination Council Results 2023, KCPE Online, KCPE Results Kenya 2023, Top 100 Schools in KCPE 2023, KCPE2023, Knec KCPE Results 2023, KCPE Online Results, 2023 KCPE Results Online, 2023 KCPE Result, Top 100 Schools KCPE 2023, Top 100 Students KCPE 2023, Top 100 Schools in KCPE 2023, KCPE2023, Knec KCPE Results 2023, KCPE Online Results, KCPE Online Results 2023, Kenya National Examination Council Results 2023, Top 100 Students KCPE 2023, Top 100 Schools in KCPE 2023, KCPE2023, Knec KCPE Results 2023, KCPE Online Results, Knec 2023 Results, 2023 KCPE Results, KCPE 2023, KCPE2023 Results, Top 100 Schools in KCPE 2023, KCPE2023, Knec KCPE Results 2023, Knec 2023 Results, KCPE Online Results 2023, 2023 KCPE Results, KCPE 2023, KCPE 2023 Results, Top 100 Schools in KCPE 2024 Top 100 Schools in KCPE 2024 Released in 2024 Top 100 Schools in KCPE 2024 Results Top 100 Schools in KCPE 2024, 2024KCPE Results, KCPE Results 2024 Top 100 Students, KCPE 2024 Top 100 Schools, KCPE Results2024, Top 100 Schools in KCPE 2024, KCPE2024, 2024 KCPE Results Online, KCPE Online Results 2024, Kenya National Examination Council Results 2024, KCPE 2024 Results, Top 100 Schools in KCPE 2024, KCPE2024, KCPE Online Results, KCPE Online Results 2024, Kenya National Examination Council Results 2024, Top 100 Schools KCPE 2024, Top 100 Schools in KCPE 2024, KCPE2024, KCPE Online Results, Knec 2024 Results, 2024 KCPE Result, KCPE 2024, Top 100 Schools KCPE 2024, KCPE 2024 Results, Top 100 Schools in KCPE 2024, KCPE2024, Knec KCPE Results 2024, 2024 KCPE Results Online, 2024 KCPE Results, KCPE 2024, Top 100 Schools KCPE 2024, KCPE2024 Results, Top 100 Schools in KCPE 2024, KCPE2024, Knec KCPE Results 2024, 2024 KCPE Results Online, KCPE 2024, Top 100 Schools KCPE 2024, KCPE 2024 Results, Top 100 Schools in KCPE 2024, KCPE2024, Knec KCPE Results 2024, 2024 KCPE Results Online, Kenya National Examination Council Results 2024, KCPE Online, KCPE Results Kenya 2024, Top 100 Schools in KCPE 2024, KCPE2024, Knec KCPE Results 2024, KCPE Online Results, 2024 KCPE Results Online, 2024 KCPE Result, Top 100 Schools KCPE 2024, Top 100 Students KCPE 2024, Top 100 Schools in KCPE 2024, KCPE2024, Knec KCPE Results 2024, KCPE Online Results, KCPE Online Results 2024, Kenya National Examination Council Results 2024, Top 100 Students KCPE 2024, Top 100 Schools in KCPE 2024, KCPE2024, Knec KCPE Results 2024, KCPE Online Results, Knec 2024 Results, 2024 KCPE Results, KCPE 2024, KCPE2024 Results, Top 100 Schools in KCPE 2024, KCPE2024, Knec KCPE Results 2024, Knec 2024 Results, KCPE Online Results 2024, 2024 KCPE Results, KCPE 2024, KCPE 2024 Results, Top 100 Schools in Kisii County KCPE 2022 Top 100 Schools in Kisii County KCPE 2023 Top 100 Schools in Kisii County KCPE 2024 Top 100 Schools KCPE 2022 Top 100 Schools KCPE 2022 in Kenya Top 100 Schools KCPE 2023 Top 100 Schools KCPE 2023 in Kenya Top 100 Schools KCPE 2024 Top 100 Schools KCPE 2024 in Kenya Top 100 Students in KCPE 2022, Www.knec, Top 100 KCPE 2022, Top 100 Students Nationally KCPE 2022, KCPE Knec Results 2022, Top 100 Students in KCPE 2023, Www.knec, Top 100 KCPE 2023, Top 100 Students Nationally KCPE 2023, KCPE Knec Results 2023, Top 100 Students in KCPE 2024, Www.knec, Top 100 KCPE 2024, Top 100 Students Nationally KCPE 2024, KCPE Knec Results 2024, Top 100 Students KCPE 2022 Top 100 Students KCPE 2022, Www Knec Ac Ke KCPE Results 2022, Www.KCPE 2022 Individual Results.com, 2022 Knec Results, Top 100 Students KCPE 2023 Top 100 Students KCPE 2023, Www Knec Ac Ke KCPE Results 2023, Www.KCPE 2023 Individual Results.com, 2023 Knec Results, Top 100 Students KCPE 2024 Top 100 Students KCPE 2024, Www Knec Ac Ke KCPE Results 2024, Www.KCPE 2024 Individual Results.com, 2024 Knec Results, Top 100 Students Nationally KCPE 2022, Kenya National Examinations Council, KCPE Result 2022, KCPE Knec Results 2022, KCPE Results Online 2022, Top 100 Students Nationally KCPE 2023, Kenya National Examinations Council, KCPE Result 2023, KCPE Knec Results 2023, KCPE Results Online 2023, Top 100 Students Nationally KCPE 2024, Kenya National Examinations Council, KCPE Result 2024, KCPE Knec Results 2024, KCPE Results Online 2024, Top 20 Schools KCPE 2022 Top 20 Schools KCPE 2023 Top 20 Schools KCPE 2024 Top 50 KCPE Candidates 2022 Top 50 KCPE Candidates 2023 Top 50 KCPE Candidates 2024 Top 50 Schools in KCPE 2022 Top 50 Schools in KCPE 2023 Top 50 Schools in KCPE 2024 Top Hundred Schools in KCPE 2022 Top Hundred Schools in KCPE 2023 Top Hundred Schools in KCPE 2024 Top KCPE Schools 2022 Top KCPE Schools 2023 Top KCPE Schools 2024 Top KCPE Students 2022 Top KCPE Students 2023 Top KCPE Students 2024 Top Primary Schools in Nairobi 2022 Top Primary Schools in Nairobi 2023 Top Primary Schools in Nairobi 2024 Top Schools in 2022 KCPE Top Schools in 2023 KCPE Top Schools in 2024 KCPE Top Schools in Embu County KCPE 2022 Top Schools in Embu County KCPE 2023 Top Schools in Embu County KCPE 2024 Top Schools in KCPE 2022 Top Schools in KCPE 2022 Nairobi County Top Schools in KCPE 2022 Per County Top Schools in KCPE 2023 Top Schools in KCPE 2023 Nairobi County Top Schools in KCPE 2023 Per County Top Schools in KCPE 2024 Top Schools in KCPE 2024 Nairobi County Top Schools in KCPE 2024 Per County Top Schools in Machakos County KCPE 2022 Top Schools in Machakos County KCPE 2023 Top Schools in Machakos County KCPE 2024 Top Schools KCPE 2022 Top Schools KCPE 2023 Top Schools KCPE 2024 Top Student KCPE 2022 Top Student KCPE 2023 Top Student KCPE 2024 Top Students in KCPE Last Year Top Students KCPE 2022 Top Students KCPE 2023 Top Students KCPE 2024 Top Students Who Got 350 Marks and Above in Kenya Top Students Who Got 350 Marks and Above in Kenya KCPE Top Students Who Got 350 Marks in Kenya Top Students Who Got 350 Marks in Kenya KCPE Trans-nzoia County KCPE Results 2022 Trans-nzoia County KCPE Results 2022/2022 Trans-nzoia County KCPE Results 2023 Trans-nzoia County KCPE Results 2023/2023 Trans-nzoia County KCPE Results 2024 Trans-nzoia County KCPE Results 2024/2024 Turkana County KCPE Results 2022 Turkana County KCPE Results 2022/2022 Turkana County KCPE Results 2023 Turkana County KCPE Results 2023/2023 Turkana County KCPE Results 2024 Turkana County KCPE Results 2024/2024 Uasin Gishu County KCPE Results 2022 Uasin Gishu County KCPE Results 2022/2022 Uasin Gishu County KCPE Results 2023 Uasin Gishu County KCPE Results 2023/2023 Uasin Gishu County KCPE Results 2024 Uasin Gishu County KCPE Results 2024/2024 Update on KCPE Vihiga County KCPE Results 2022 Vihiga County KCPE Results 2022/2022 Vihiga County KCPE Results 2023 Vihiga County KCPE Results 2023/2023 Vihiga County KCPE Results 2024 Vihiga County KCPE Results 2024/2024 Wajir County KCPE Results 2022 Wajir County KCPE Results 2022/2022 Wajir County KCPE Results 2023 Wajir County KCPE Results 2023/2023 Wajir County KCPE Results 2024 Wajir County KCPE Results 2024/2024 West Pokot County KCPE Results 2022 West Pokot County KCPE Results 2022/2022 West Pokot County KCPE Results 2023 West Pokot County KCPE Results 2023/2023 West Pokot County KCPE Results 2024 West Pokot County KCPE Results 2024/2024 Western KCPE Results 2022 Western KCPE Results 2022/2022 Western KCPE Results 2023 Western KCPE Results 2023/2023 Western KCPE Results 2024 Western KCPE Results 2024/2024 What Does P Mean in KCPE Results? What is Free Primary Education What is Full KCPE? What is O Level Equivalent to in Kenya? What Was Composition Talking About of KCPE 2022 Which Was Done Today What Was Composition Talking About of KCPE 2023 Which Was Done Today What Was Composition Talking About of KCPE 2024 Which Was Done Today When Are KCPE Results 2022 Being Released When Are KCPE Results 2023 Being Released When Are KCPE Results 2024 Being Released When Are KCPE Results Being Released 2022 When Are KCPE Results Being Released 2023 When Are KCPE Results Being Released 2024 When Are the Class 8 Results Realised When Are the Class Eight Results Realised When Are the KCPE Results 2022 Released When Are the KCPE Results 2023 Released When Are the KCPE Results 2024 Released When Are the KCPE Results Coming Out When Did KCPE Start Kenya? When Do KCPE Results 2022 Announce When Do KCPE Results 2023 Announce When Do KCPE Results 2024 Announce When is KCPE 2022 Released When is KCPE 2022 Results Being Released When is KCPE 2022 Starting When is KCPE 2023 Released When is KCPE 2023 Results Being Released When is KCPE 2023 Starting When is KCPE 2024 Released When is KCPE 2024 Results Being Released When is KCPE 2024 Starting When is KCPE Exam Being Releast When is KCPE Results Being Released When is KCPE Results is Being Released When is the K.c.p.e Results Being Announced When is the Release of KCPE 2022 When is the Release of KCPE 2023 When is the Release of KCPE 2024 When K.c.p.e Will Anounce When KCPE Will Announce When Was KCPE 2022 Results Released? When Was KCPE 2023 Results Released? When Was KCPE 2024 Results Released? When Will 2022 KCPE Exam Be Released When Will 2022 KCPE Rests Be Released When Will 2023 KCPE Exam Be Released When Will 2023 KCPE Rests Be Released When Will 2024 KCPE Exam Be Released When Will 2024 KCPE Rests Be Released When Will Be the Realese of KCPE Results When Will K.c.p.e 2022 Resaults Be Anounced When Will K.c.p.e 2023 Resaults Be Anounced When Will K.c.p.e 2024 Resaults Be Anounced When Will K.c.p.e Resaults Be Anounced When Will K.c.p.e Results 2022 Be Out When Will K.c.p.e Results 2022 Be Out - Today! When Will K.c.p.e Results 2023 Be Out When Will K.c.p.e Results 2023 Be Out - Today! When Will K.c.p.e Results 2024 Be Out When Will K.c.p.e Results 2024 Be Out - Today! When Will KCPE 2022 Be Done When Will KCPE 2022 Be Released When Will KCPE 2022 Results Be Out? When Will KCPE 2022 Results Be Released When Will KCPE 2022 Results Be Released? When Will KCPE 2023 Be Done When Will KCPE 2023 Be Released When Will KCPE 2023 Results Be Out? When Will KCPE 2023 Results Be Released When Will KCPE 2023 Results Be Released? When Will KCPE 2024 Be Done When Will KCPE 2024 Be Released When Will KCPE 2024 Results Be Out? When Will KCPE 2024 Results Be Released When Will KCPE 2024 Results Be Released? When Will KCPE Be Released When Will KCPE Exam Annoced When Will KCPE Result Be Out? When Will KCPE Results 2022 Be Out? When Will KCPE Results 2022 Be Released When Will KCPE Results 2023 Be Out? When Will KCPE Results 2023 Be Released When Will KCPE Results 2024 Be Out? When Will KCPE Results 2024 Be Released When Will KCPE Results Be Announced? When Will KCPE Results Be Released When Will KCSE 2022 Results Be Released When Will KCSE 2023 Results Be Released When Will KCSE 2024 Results Be Released When Will Results of KCPE 2022 Be Released ? When Will Results of KCPE 2023 Be Released ? When Will Results of KCPE 2024 Be Released ? Where to Report Charges in Public Primary Schools Which Code is Used to Get KCPE Results? Which Date is 2022 KCPE Results Coming Out? Which Date is 2023 KCPE Results Coming Out? Which Date is 2024 KCPE Results Coming Out? Which Date is KCPE Announcement? Which Date is KCPE Release? Which Date is KCPE Starting? Which Date Will KCPE End? Which is the Best School in Kenya KCPE Who Scored the Highest Marks in KCPE 2022? Who Scored the Highest Marks in KCPE 2023? Who Scored the Highest Marks in KCPE 2024? Who Sets KCPE? Who Sets KCSE? Who Was the First Student in KCPE Last Year Why 2022 KCPE Results Will Be Out Early Why 2023 KCPE Results Will Be Out Early Why 2024 KCPE Results Will Be Out Early Why KCPE Results 2022 Confirmed Release Date Why KCPE Results 2022 Confirmed Release Dates Why KCPE Results 2023 Confirmed Release Date Why KCPE Results 2023 Confirmed Release Dates Why KCPE Results 2024 Confirmed Release Date Why KCPE Results 2024 Confirmed Release Dates Will KCPE 2022 Results Be Released Tomorrow Will KCPE 2023 Results Be Released Tomorrow Will KCPE 2024 Results Be Released Tomorrow Will There Be Two KCSE in 2022? Will There Be Two KCSE in 2023? Will There Be Two KCSE in 2024? Www. Knec. Ac. Ke Www.KCPE 2022 Www.KCPE 2023 Www.KCPE 2024 Www.KCPE Results 2022 Www.KCPE Results 2022.com Www.KCPE Results 2023 Www.KCPE Results 2023.com Www.KCPE Results 2024 Www.KCPE Results 2024.com Www.kenya National Examination Council.com, KCPE Result of 2022, KCPE Results Online 2022, Knec Kenya, Top 100 Schools in Kenya, Www.kenya National Examination Council.com, KCPE Result of 2023, KCPE Results Online 2023, Knec Kenya, Top 100 Schools in Kenya, Www.kenya National Examination Council.com, KCPE Result of 2024, KCPE Results Online 2024, Knec Kenya, Top 100 Schools in Kenya, Www.knec Www.knec .ac.ke Www.knec Results.com Www.knec, Knec.com, Top 100 KCPE 2022, KCPE Results 2022 Per School, 2022 KCPE, KCPE Results of 2022, Www.knec.ac.ke 2022 KCPE Results, Www.knec, Knec.com, Top 100 KCPE 2023, KCPE Results 2023 Per School, 2023 KCPE, KCPE Results of 2023, Www.knec.ac.ke 2023 KCPE Results, Www.knec, Knec.com, Top 100 KCPE 2024, KCPE Results 2024 Per School, 2024 KCPE, KCPE Results of 2024, Www.knec.ac.ke 2024 KCPE Results, Www.knec-portal.ac.ke Results Www.knec-results.ac.ke Www.knec.ac Www.knec.ac.com Www.knec.ac.ke Www.knec.ac.ke 2022 KCPE Results Www.knec.ac.ke 2022 KCPE Results Top 100 Schools in Nairobi, 2022 KCPE Online Results, 2022 KCPE Examination Results, Www.knec.ac.ke 2022 KCPE Results, Knec.co.ke, KCPE Top 100 Schools, KCPE Results Top 100 Schools, KCPE Result of 2022, Www.knec.ac.ke 2022 Results Www.knec.ac.ke 2023 KCPE Results Www.knec.ac.ke 2023 KCPE Results Top 100 Schools in Nairobi, 2023 KCPE Online Results, 2023 KCPE Examination Results, Www.knec.ac.ke 2023 KCPE Results, Knec.co.ke, KCPE Top 100 Schools, KCPE Results Top 100 Schools, KCPE Result of 2023, Www.knec.ac.ke 2023 Results Www.knec.ac.ke 2024 KCPE Results Www.knec.ac.ke 2024 KCPE Results Top 100 Schools in Nairobi, 2024 KCPE Online Results, 2024 KCPE Examination Results, Www.knec.ac.ke 2024 KCPE Results, Knec.co.ke, KCPE Top 100 Schools, KCPE Results Top 100 Schools, KCPE Result of 2024, Www.knec.ac.ke 2024 Results Www.knec.ac.ke/ Www.knec.ac.ke/exm, Top 100 Students in KCPE 2022, Www.knec.ac.ke KCPE Results 2022, KCPE Result 2022, KCPE Results Top 100 Schools, Www.knec.ac.ke/exm, Top 100 Students in KCPE 2023, Www.knec.ac.ke KCPE Results 2023, KCPE Result 2023, KCPE Results Top 100 Schools, Www.knec.ac.ke/exm, Top 100 Students in KCPE 2024, Www.knec.ac.ke KCPE Results 2024, KCPE Result 2024, KCPE Results Top 100 Schools, Www.knec.co.ke Www.knec.co.ke, Knec Website, Knec Results 2022 KCPE, KCPE 2022 Results Online, KCPE 2022 Result, KCPE 2022 Results, KCPE 2022 Online Results, KCPE2022 Results, Www.knec.co.ke, Knec Website, Knec Results 2022 KCPE, KCPE 2022 Results Online, KCPE 2022 Result, Online KCPE Results, 2022 KCPE Results, KCPE Online, Top 100 Students KCPE 2022, Www.knec.co.ke, Knec Website, Knec Results 2023 KCPE, KCPE 2023 Results Online, KCPE 2023 Result, KCPE 2023 Results, KCPE 2023 Online Results, KCPE2023 Results, Www.knec.co.ke, Knec Website, Knec Results 2023 KCPE, KCPE 2023 Results Online, KCPE 2023 Result, Online KCPE Results, 2023 KCPE Results, KCPE Online, Top 100 Students KCPE 2023, Www.knec.co.ke, Knec Website, Knec Results 2024 KCPE, KCPE 2024 Results Online, KCPE 2024 Result, KCPE 2024 Results, KCPE 2024 Online Results, KCPE2024 Results, Www.knec.co.ke, Knec Website, Knec Results 2024 KCPE, KCPE 2024 Results Online, KCPE 2024 Result, Online KCPE Results, 2024 KCPE Results, KCPE Online, Top 100 Students KCPE 2024, Www.knec.com Www.knec.com 2022 Www.knec.com 2023 Www.knec.com 2024 Www.knec.com KCPE Results, KCPE 2022, Www.KCPE Results 2022, Knec KCPE Exam Results 2022, Top 100 Schools in 2022 KCPE, Www.knec.com KCPE Results, KCPE 2023, Www.KCPE Results 2023, Knec KCPE Exam Results 2023, Top 100 Schools in 2023 KCPE, Www.knec.com KCPE Results, KCPE 2024, Www.KCPE Results 2024, Knec KCPE Exam Results 2024, Top 100 Schools in 2024 KCPE, Www.knec.ke Www.kneck.ac.ke Www.kneck.com 2022 Exam Timetable 2022 KCPE Predictions Trial Exams With Answers 2022 KCPE, KCPE Assessments to Be Concluded 2023 Exam Timetable 2023 KCPE Predictions Trial Exams With Answers 2023 KCPE, KCPE Assessments to Be Concluded Are 2022 KCPE Certificates Out? Are 2023 KCPE Certificates Out? Can I Get My KCPE Certificate Online? Can I Get My KCPE Result Slip Online? Can Knec Change a Student Name in KCPE Certificate? Date When KCPE 2022 Exam Results Will Be Released Date When KCPE 2023 Exam Results Will Be Released Download KCPE Results 2022 Download KCPE Results 2023 Form 1 Admission 2022 Form 1 Admission 2023 Form 1 Admission Letters 2022 Form 1 Admission Letters 2023 Form 1 Selection Form 1 Selection 2022 Form 1 Selection 2023 Form 1 Selection List 2022 Form 1 Selection List 2023 Form One Admission 2022 Form One Admission 2023 Form One Admission Letters 2022 Form One Admission Letters 2023 Form One Selection Form One Selection 2022 Form One Selection 2022 Kenya Form One Selection 2023 Form One Selection 2023 Kenya Form One Selection List 2022 Form One Selection List 2023 Highest KCPE Marks Ever in Kenya How Can I Change My Name in KCPE Certificate? How Can I Check My 2022 KCPE Results Online? How Can I Check My 2023 KCPE Results Online? How Can I Check My KCPE 2022? How Can I Check My KCPE 2023? How Can I Check My KCPE Certificate is Genuine? How Can I Check My KCPE Registration 2022? How Can I Check My KCPE Registration 2023? How Can I Check My KCPE Results for 2022 Whole School? How Can I Check My KCPE Results for 2023 Whole School? How Can I Check My KCPE Results Online? How Can I Check My Knec Certificate? How Can I Check My Knec Result via Sms? How Can I Get Good Marks in KCPE? How Can I Get KCPE Result From 2022 by Sms? How Can I Get KCPE Result From 2023 by Sms? How Can I Get My KCPE Results 2022? How Can I Get My KCPE Results 2023? How Can I Get My KCPE Results Online 2022? How Can I Get My KCPE Results Online 2023? How Can I Get My KCPE School Results? How Can I Retrieve My KCPE Certificate? How Can I Verify My Degree Certificate Online? How Do I Access Knec Portal? How Do I Contact Knec? How Do I Get My College Knec Results? How Do I Get My Original Certificate if I Lost It? How Do I Verify a Degree Certificate? How Long Does KCPE Certificate Take to Be Released? How Many Days to KCPE 2022 How Many Days to KCPE 2023 How Many Students Sat for KCPE 2022? How Many Students Sat for KCPE 2023? How to Download KCPE Result Slip Online Is It Possible to Change Name in Educational Certificates? K.c.p.e 2022 Mathematics K.c.p.e 2023 Mathematics KCPE 2022 Answers KCPE 2022 Dates KCPE 2022 December Timetable KCPE 2022 Exam Results to Be Announced Today KCPE 2022 Exams KCPE 2022 Leakage KCPE 2022 Marking Scheme KCPE 2022 Maths KCPE 2022 Prediction KCPE 2022 Prediction Questions and Answers KCPE 2022 Results KCPE 2022 Results Analysis KCPE 2022 Results Announcement KCPE 2022 Results Out KCPE 2022 Results Per School KCPE 2022 Results Release Date by Knec KCPE 2022 Results Top 100 Students KCPE 2022 Revised Final Timetable Download KCPE 2022 Science KCPE 2022 Timetable KCPE 2022 Timetable Pdf KCPE 2023 Answers KCPE 2023 Dates KCPE 2023 December Timetable KCPE 2023 Exam Results to Be Announced Today KCPE 2023 Exams KCPE 2023 Leakage KCPE 2023 Marking Scheme KCPE 2023 Maths KCPE 2023 Prediction KCPE 2023 Prediction Questions and Answers KCPE 2023 Results KCPE 2023 Results Analysis KCPE 2023 Results Announcement KCPE 2023 Results Out KCPE 2023 Results Per School KCPE 2023 Results Release Date by Knec KCPE 2023 Results Top 100 Students KCPE 2023 Revised Final Timetable Download KCPE 2023 Science KCPE 2023 Timetable KCPE 2023 Timetable Pdf KCPE and KCPE 2022 Exams KCPE and KCPE 2023 Exams KCPE Dates 2022 KCPE Dates 2023 KCPE Download KCPE Questions 2022 KCPE Questions 2023 KCPE Result Slip Download 2022 KCPE Result Slip Download 2023 KCPE Results 2022 KCPE Results 2022 Full List KCPE Results 2022 Kenya KCPE Results 2022 Live KCPE Results 2022 Per County KCPE Results 2022 Release Date KCPE Results 2022 Release: How to Download KCPE KCPE Results 2022 Release: How to Download KCPE Exam Results KCPE Results 2022 Release: How to Download KCPE Results KCPE Results 2022 Top 100 Students KCPE Results 2023 KCPE Results 2023 Full List KCPE Results 2023 Kenya KCPE Results 2023 Live KCPE Results 2023 Per County KCPE Results 2023 Release Date KCPE Results 2023 Release: How to Download KCPE KCPE Results 2023 Release: How to Download KCPE Exam Results KCPE Results 2023 Release: How to Download KCPE Results KCPE Results 2023 Top 100 Students KCPE Results Online KCPE Results Per School KCPE Results Per School 2022 KCPE Results Per School 2023 KCPE Revealed 2022 KCPE Revealed 2023 KCPE Timetable 2022 KCPE Timetable 2022 Download KCPE Timetable 2022 March KCPE Timetable 2023 KCPE Timetable 2023 Download KCPE Timetable 2023 March Kenya High School Form 1 Selection Kiambu County KCPE Results 2022 Kiambu County KCPE Results 2023 Knec KCPE 2022 Release; How to Receive KCPE Results Knec KCPE 2022 Results Release and How to Check via Sms Knec KCPE 2022 Timetable Pdf: Subjects That Will Start, End Knec KCPE 2023 Release; How to Receive KCPE Results Knec KCPE 2023 Results Release and How to Check via Sms Knec KCPE 2023 Timetable Pdf: Subjects That Will Start, End Knec Portal Knec Releases Deadline for Verification of 2022 KCPE, KCPE Knec Releases Deadline for Verification of 2023 KCPE, KCPE Knec Releases Results for KCPE 2022 Candidates Knec Releases Results for KCPE 2023 Candidates Knec Releases Revised KCPE & KCPE Exam Timetables Ministry of Education Form One Selection 2022 Ministry of Education Form One Selection 2023 Rating Release Date of KCPE 2022 Release Date of KCPE 2023 Release Dates of KCPE 2022 Release Dates of KCPE 2023 Release of KCPE 2022 Release of KCPE 2023 Release Time of KCPE 2022 Release Time of KCPE 2023 Release Times of KCPE 2022 Release Times of KCPE 2023 Starstarstarstarstar Top 10 Schools in KCPE 2022 Top 10 Schools in KCPE 2023 Top 100 Schools in Kisii County KCPE 2022 Top 100 Schools in Kisii County KCPE 2023 Top 100 Schools KCPE 2022 in Kenya Top 100 Schools KCPE 2023 in Kenya Top 50 KCPE Candidates 2022 Top 50 KCPE Candidates 2023 Top Schools in KCPE 2022 Nairobi County Top Schools in KCPE 2023 Nairobi County What Does P Mean in KCPE Results? When is KCPE 2022 Starting When is KCPE 2023 Starting When Will KCPE 2022 Be Done When Will KCPE 2023 Be Done Which Date is KCPE Starting? Which Date Will KCPE End? Www.education.go.ke Form One Selection 2022 Www.education.go.ke Form One Selection 2023 Www.knec-portal.ac.ke Results Are You Still a Student if You're on Placement? Can My School See What I Do on My School Account on My Phone? Has KCPE 2022 Been Released? Has KCPE 2023 Been Released? Has KCPE Results Been Released 2022? Has KCPE Results Been Released 2023? How Can I Check My KCPE Result 2022 by Sms? How Can I Check My KCPE Result 2023 by Sms? How Can I Check My KCPE Results Online 2022 for Whole School? How Can I Check My KCPE Results Online 2023 for Whole School? How Can I Check My KCPE Results Online? How Can I Check My KCPE Results? How Can I Get Full Marks in Maths? How Can I Get Highest Marks in Exam? How Can I Get KCPE 2022 Results? How Can I Get KCPE 2023 Results? How Can I Get KCPE Result via Sms? How Can I Pass a Test I Didn't Study for? How Can I Pass My Exam With Top Grades? How Can I Pass My Exam Without Fear? How Can I Take My Mobile in School? How Can One Pass KCPE? How Do I Check My KCPE 2022 Results Online? How Do I Check My KCPE 2023 Results Online? How Do I Check My KCPE School Selection 2022? How Do I Check My KCPE School Selection 2023? How Do I Check My School KCPE Results? How Do I Check Safaricom KCPE Results? How Do I Check the School Placement? How Do I Find My School Placement 2022? How Do I Find My School Placement 2023? How Do I Find the School Placement on My Phone? How Do I Get a School Placement Check on My Phone? How Do I Know My School is Selected? How Do I Prepare for KCPE? How Do You Get 100 on a Test Every Time? How Do You Get B+ in KCSE? How Do You Guess the Right Answer on Multiple Choice? How Do You Pass an Exam When You Know Nothing? How Do You Pass Every Test You Take? How is KCPE 2022 Standardised? How is KCPE 2023 Standardised? How is KCPE Marks Calculated? How Long Does It Take to Get KCPE 2022? How Long Does It Take to Get KCPE 2023? How Many Days to KCPE 2022 How Many Days to KCPE 2023 How Many Marks Are Standardized in KCPE? How Many Points is a C+ in KCPE? How Many Pupils Got 400 in KCPE? How Many Students Got 400 Marks in KCPE? How Many Students Scored 400 and Above? How to Check KCPE Results 2022 How to Check KCPE Results 2023 How to Get 400 Marks in KCPE How to Pass KCPE 2022 How to Pass KCPE 2023 How to Pass KCPE Mathematics How to Pass Kiswahili KCPE How to Score 400 Marks in KCPE 2022 How to Score 400 Marks in KCPE 2023 Is 4 a Good Mark? Is KCPE 2022 Released? Is KCPE 2023 Released? Is KCPE Marked by a Machine? Is KCSE December 2022 Timetable Out? Is KCSE December 2023 Timetable Out? KCPE 2022 Dates KCPE 2022 December Timetable KCPE 2022 Leakage Mathematics KCPE 2022 Maths KCPE 2022 November Timetable KCPE 2022 Prediction KCPE 2022 Results KCPE 2022 Revised Final Timetable Download and Instructions KCPE 2022 Science KCPE 2022 Timetable KCPE 2022 Timetable November KCPE 2022 Timetable Pdf KCPE 2022 Timetable Results KCPE 2023 Dates KCPE 2023 December Timetable KCPE 2023 Leakage Mathematics KCPE 2023 Maths KCPE 2023 November Timetable KCPE 2023 Prediction KCPE 2023 Results KCPE 2023 Revised Final Timetable Download and Instructions KCPE 2023 Science KCPE 2023 Timetable KCPE 2023 Timetable November KCPE 2023 Timetable Pdf KCPE 2023 Timetable Results KCPE best pupils KCPE best pupils 2022 KCPE best pupils 2023 KCPE best students KCPE best students 2022 KCPE best students 2023 KCPE Questions 2022 KCPE Questions 2023 KCPE Results 2022 Top 100 Students KCPE Results 2022 Release Date KCPE Results 2022 Release Date and Time KCPE Results 2022 Release Dates KCPE Results 2022 Today KCPE Results 2022 Top 100 Students KCPE Results 2023 Release Date KCPE Results 2023 Release Date and Time KCPE Results 2023 Release Dates KCPE Results 2023 Today KCPE Results 2023 Top 100 Students KCPE Results Per School 2022 KCPE Results Per School 2023 KCPE Results Slip 2022 KCPE Results Slip 2023 KCPE Time Table 2022 KCPE Time Table 2023 KCPE Timetable 2022 Pdf KCPE Timetable 2023 Pdf KCPE top pupils KCPE top pupils 2022 KCPE top pupils 2023 KCPE top students KCPE top students 2022 KCPE top students 2023 KCSE 2022 Timetable KCSE 2023 Timetable KCSE Results 2022 Release Date KCSE Results 2022 Release Dates KCSE Results 2023 Release Date KCSE Results 2023 Release Dates Knec Announces Dates for 2022 KCPE Release Date Knec Announces Dates for 2022 KCPE Release Dates Knec Announces Dates for 2022 KCPE Result Release Date Knec Announces Dates for 2022 KCPE Result Release Dates Knec Announces Dates for 2022 KCPE Results Release Date Knec Announces Dates for 2022 KCPE Results Release Dates Knec Announces Dates for 2022 KCPE, KCSE Exams Release Knec Announces Dates for 2022 KCPE, KCSE Exams Results Release Knec Announces Dates for 2022 KCSE Release Date Knec Announces Dates for 2022 KCSE Release Dates Knec Announces Dates for 2022 KCSE Result Release Date Knec Announces Dates for 2022 KCSE Result Release Dates Knec Announces Dates for 2022 KCSE Results Release Date Knec Announces Dates for 2022 KCSE Results Release Dates Knec Announces Dates for 2023 KCPE Release Date Knec Announces Dates for 2023 KCPE Release Dates Knec Announces Dates for 2023 KCPE Result Release Date Knec Announces Dates for 2023 KCPE Result Release Dates Knec Announces Dates for 2023 KCPE Results Release Date Knec Announces Dates for 2023 KCPE Results Release Dates Knec Announces Dates for 2023 KCPE, KCSE Exams Release Knec Announces Dates for 2023 KCPE, KCSE Exams Results Release Knec Announces Dates for 2023 KCSE Release Date Knec Announces Dates for 2023 KCSE Release Dates Knec Announces Dates for 2023 KCSE Result Release Date Knec Announces Dates for 2023 KCSE Result Release Dates Knec Announces Dates for 2023 KCSE Results Release Date Knec Announces Dates for 2023 KCSE Results Release Dates Knec KCPE 2022 Examination Timetable Knec KCPE 2022 Timetable Pdf: Subjects Start and End Day Knec KCPE 2023 Examination Timetable Knec KCPE 2023 Timetable Pdf: Subjects Start and End Day Nairobi Primary KCPE Results 2022 Nairobi Primary KCPE Results 2023 Timetable for 2022 KCPE Exam Timetable for 2023 KCPE Exam Tips to Pass KCPE Exams Top 10 Students KCPE 2022 Top 10 Students KCPE 2023 Top 100 Schools KCPE 2022 Nairobi County Top 100 Schools KCPE 2023 Nairobi County Top Pupils in KCPE 2022 Top Pupils in KCPE 2023 Top Schools in KCPE 2022 Top Schools in KCPE 2023 Tvet Knec Results July 2022 Release Date Tvet Knec Results July 2023 Release Date What is Passing Score for KCPE? What is the Fastest Way to Answer a Test? What is the Most Popular School in Kenya? What is the My School App? What is the Pass Mark for KCPE 2022? What is the Pass Mark for KCPE 2023? When Are the KCPE Results Being Released 2022 When Are the KCPE Results Being Released 2023 When Did KCPE 2022 End? When Did KCPE 2023 End? When is KCPE 2022 Starting When is KCPE 2023 Starting When Will KCPE 2022 Be Released? When Will KCPE 2023 Be Released? Which Date Will KCPE 2022 Start? Which Date Will KCPE 2023 Start? Which Exam Will Replace KCPE? Which is the Biggest Primary School in Kenya? Which is the Largest School in Kenya? Which is the Smartest City in Kenya? Which School Has the Most Students in Kenya? Which School Was Number One in KCPE? Which School Was Number One in KCSE? Who Has the Highest Marks in KCPE 2022? Who Has the Highest Marks in KCPE 2023? Who is No 1 in KCPE2022? Who is No 1 in KCPE2023? Who is No 1 School in World? Who is the Top Student in KCPE 2022? Who is the Top Student in KCPE 2023? Who Made 1 School? Who Scored 482 Marks in KCPE? Who Scored the Highest in KCPE 2022? Who Scored the Highest in KCPE 2023? Who Topped KCPE? 2022 Exam Timetable 2022 KCPE Predictions Trial Exams With Answers 2022 KCPE, KCPE Assessments to Be Concluded 2023 Exam Timetable 2023 KCPE Predictions Trial Exams With Answers 2023 KCPE, KCPE Assessments to Be Concluded Are 2022 KCPE Certificates Out? Are 2023 KCPE Certificates Out? Can I Get My KCPE Certificate Online? Can I Get My KCPE Result Slip Online? Can Knec Change a Student Name in KCPE Certificate? Date When KCPE 2022 Exam Results Will Be Released Date When KCPE 2023 Exam Results Will Be Released Download KCPE Results 2022 Download KCPE Results 2023 Form 1 Admission 2022 Form 1 Admission 2023 Form 1 Admission Letters 2022 Form 1 Admission Letters 2023 Form 1 Selection Form 1 Selection 2022 Form 1 Selection 2023 Form 1 Selection List 2022 Form 1 Selection List 2023 Form One Admission 2022 Form One Admission 2023 Form One Admission Letters 2022 Form One Admission Letters 2023 Form One Selection Form One Selection 2022 Form One Selection 2022 Kenya Form One Selection 2023 Form One Selection 2023 Kenya Form One Selection List 2022 Form One Selection List 2023 Highest KCPE Marks Ever in Kenya How Can I Change My Name in KCPE Certificate? How Can I Check My 2022 KCPE Results Online? How Can I Check My 2023 KCPE Results Online? How Can I Check My KCPE 2022? How Can I Check My KCPE 2023? How Can I Check My KCPE Certificate is Genuine? How Can I Check My KCPE Registration 2022? How Can I Check My KCPE Registration 2023? How Can I Check My KCPE Results for 2022 Whole School? How Can I Check My KCPE Results for 2023 Whole School? How Can I Check My KCPE Results Online? How Can I Check My Knec Certificate? How Can I Check My Knec Result via Sms? How Can I Get Good Marks in KCPE? How Can I Get KCPE Result From 2022 by Sms? How Can I Get KCPE Result From 2023 by Sms? How Can I Get My KCPE Results 2022? How Can I Get My KCPE Results 2023? How Can I Get My KCPE Results Online 2022? How Can I Get My KCPE Results Online 2023? How Can I Get My KCPE School Results? How Can I Retrieve My KCPE Certificate? How Can I Verify My Degree Certificate Online? How Do I Access Knec Portal? How Do I Contact Knec? How Do I Get My College Knec Results? How Do I Get My Original Certificate if I Lost It? How Do I Verify a Degree Certificate? How Long Does KCPE Certificate Take to Be Released? How Many Days to KCPE 2022 How Many Days to KCPE 2023 How Many Students Sat for KCPE 2022? How Many Students Sat for KCPE 2023? How to Download KCPE Result Slip Online Is It Possible to Change Name in Educational Certificates? K.c.p.e 2022 Mathematics K.c.p.e 2023 Mathematics KCPE 2022 Answers KCPE 2022 Dates KCPE 2022 December Timetable KCPE 2022 Exam Results to Be Announced Today KCPE 2022 Exams KCPE 2022 Leakage KCPE 2022 Marking Scheme KCPE 2022 Maths KCPE 2022 Prediction KCPE 2022 Prediction Questions and Answers KCPE 2022 Results KCPE 2022 Results Analysis KCPE 2022 Results Announcement KCPE 2022 Results Out KCPE 2022 Results Per School KCPE 2022 Results Release Date by Knec KCPE 2022 Results Top 100 Students KCPE 2022 Revised Final Timetable Download KCPE 2022 Science KCPE 2022 Timetable KCPE 2022 Timetable Pdf KCPE 2023 Answers KCPE 2023 Dates KCPE 2023 December Timetable KCPE 2023 Exam Results to Be Announced Today KCPE 2023 Exams KCPE 2023 Leakage KCPE 2023 Marking Scheme KCPE 2023 Maths KCPE 2023 Prediction KCPE 2023 Prediction Questions and Answers KCPE 2023 Results KCPE 2023 Results Analysis KCPE 2023 Results Announcement KCPE 2023 Results Out KCPE 2023 Results Per School KCPE 2023 Results Release Date by Knec KCPE 2023 Results Top 100 Students KCPE 2023 Revised Final Timetable Download KCPE 2023 Science KCPE 2023 Timetable KCPE 2023 Timetable Pdf KCPE and KCPE 2022 Exams KCPE and KCPE 2023 Exams KCPE Dates 2022 KCPE Dates 2023 KCPE Download KCPE Questions 2022 KCPE Questions 2023 KCPE Result Slip Download 2022 KCPE Result Slip Download 2023 KCPE Results 2022 KCPE Results 2022 Full List KCPE Results 2022 Kenya KCPE Results 2022 Live KCPE Results 2022 Per County KCPE Results 2022 Release Date KCPE Results 2022 Release: How to Download KCPE KCPE Results 2022 Release: How to Download KCPE Exam Results KCPE Results 2022 Release: How to Download KCPE Results KCPE Results 2022 Top 100 Students KCPE Results 2023 KCPE Results 2023 Full List KCPE Results 2023 Kenya KCPE Results 2023 Live KCPE Results 2023 Per County KCPE Results 2023 Release Date KCPE Results 2023 Release: How to Download KCPE KCPE Results 2023 Release: How to Download KCPE Exam Results KCPE Results 2023 Release: How to Download KCPE Results KCPE Results 2023 Top 100 Students KCPE Results Online KCPE Results Per School KCPE Results Per School 2022 KCPE Results Per School 2023 KCPE Revealed 2022 KCPE Revealed 2023 KCPE Timetable 2022 KCPE Timetable 2022 Download KCPE Timetable 2022 March KCPE Timetable 2023 KCPE Timetable 2023 Download KCPE Timetable 2023 March Kenya High School Form 1 Selection Kiambu County KCPE Results 2022 Kiambu County KCPE Results 2023 Knec KCPE 2022 Release; How to Receive KCPE Results Knec KCPE 2022 Results Release and How to Check via Sms Knec KCPE 2022 Timetable Pdf: Subjects That Will Start, End Knec KCPE 2023 Release; How to Receive KCPE Results Knec KCPE 2023 Results Release and How to Check via Sms Knec KCPE 2023 Timetable Pdf: Subjects That Will Start, End Knec Portal Knec Releases Deadline for Verification of 2022 KCPE, KCPE Knec Releases Deadline for Verification of 2023 KCPE, KCPE Knec Releases Results for KCPE 2022 Candidates Knec Releases Results for KCPE 2023 Candidates Knec Releases Revised KCPE & KCPE Exam Timetables Ministry of Education Form One Selection 2022 Ministry of Education Form One Selection 2023 Release Date of KCPE 2022 Release Date of KCPE 2023 Release Dates of KCPE 2022 Release Dates of KCPE 2023 Release of KCPE 2022 Release of KCPE 2023 Release Time of KCPE 2022 Release Time of KCPE 2023 Release Times of KCPE 2022 Release Times of KCPE 2023 Top 10 Schools in KCPE 2022 Top 10 Schools in KCPE 2023 Top 100 Schools in Kisii County KCPE 2022 Top 100 Schools in Kisii County KCPE 2023 Top 100 Schools KCPE 2022 in Kenya Top 100 Schools KCPE 2023 in Kenya Top 50 KCPE Candidates 2022 Top 50 KCPE Candidates 2023 Top Schools in KCPE 2022 Nairobi County Top Schools in KCPE 2023 Nairobi County What Does P Mean in KCPE Results? When is KCPE 2022 Starting When is KCPE 2023 Starting When Will KCPE 2022 Be Done When Will KCPE 2023 Be Done Which Date is KCPE Starting? Which Date Will KCPE End? Www.education.go.ke Form One Selection 2022 Www.education.go.ke Form One Selection 2023 Www.knec-portal.ac.ke Results Has KCPE 2022 Been Released? Has KCPE 2023 Been Released? Has KCPE Results Been Released 2022? Has KCPE Results Been Released 2023? How Can I Check My KCPE Result 2022 by Sms? How Can I Check My KCPE Result 2023 by Sms? How Can I Check My KCPE Results Online 2022 for Whole School? How Can I Check My KCPE Results Online 2023 for Whole School? How Can I Check My KCPE Results Online? How Can I Check My KCPE Results? How Can I Get Full Marks in Maths? How Can I Get Highest Marks in Exam? How Can I Get KCPE 2022 Results? How Can I Get KCPE 2023 Results? How Can I Get KCPE Result via Sms? How Can I Pass a Test I Didn't Study for? How Can I Pass My Exam With Top Grades? How Can I Pass My Exam Without Fear? How Can I Take My Mobile in School? How Can One Pass KCPE? How Do I Check My KCPE 2022 Results Online? How Do I Check My KCPE 2023 Results Online? How Do I Check My KCPE School Selection 2022? How Do I Check My KCPE School Selection 2023? How Do I Check My School KCPE Results? How Do I Check Safaricom KCPE Results? How Do I Check the School Placement? How Do I Find My School Placement 2022? How Do I Find My School Placement 2023? How Do I Find the School Placement on My Phone? How Do I Get a School Placement Check on My Phone? How Do I Know My School is Selected? How Do I Prepare for KCPE? How Do You Get 100 on a Test Every Time? How Do You Get B+ in KCSE? How Do You Guess the Right Answer on Multiple Choice? How Do You Pass an Exam When You Know Nothing? How Do You Pass Every Test You Take? How is KCPE 2022 Standardised? How is KCPE 2023 Standardised? How is KCPE Marks Calculated? How Long Does It Take to Get KCPE 2022? How Long Does It Take to Get KCPE 2023? How Many Days to KCPE 2022 How Many Days to KCPE 2023 How Many Marks Are Standardized in KCPE? How Many Points is a C+ in KCPE? How Many Pupils Got 400 in KCPE? How Many Students Got 400 Marks in KCPE? How Many Students Scored 400 and Above? How to Check KCPE Results 2022 How to Check KCPE Results 2023 How to Get 400 Marks in KCPE How to Pass KCPE 2022 How to Pass KCPE 2023 How to Pass KCPE Mathematics How to Pass Kiswahili KCPE How to Score 400 Marks in KCPE 2022 How to Score 400 Marks in KCPE 2023 Is 4 a Good Mark? Is KCPE 2022 Released? Is KCPE 2023 Released? Is KCPE Marked by a Machine? Is KCSE December 2022 Timetable Out? Is KCSE December 2023 Timetable Out? KCPE 2022 Dates KCPE 2022 December Timetable KCPE 2022 Leakage Mathematics KCPE 2022 Maths KCPE 2022 November Timetable KCPE 2022 Prediction KCPE 2022 Results KCPE 2022 Revised Final Timetable Download and Instructions KCPE 2022 Science KCPE 2022 Timetable KCPE 2022 Timetable November KCPE 2022 Timetable Pdf KCPE 2022 Timetable Results KCPE 2023 Dates KCPE 2023 December Timetable KCPE 2023 Leakage Mathematics KCPE 2023 Maths KCPE 2023 November Timetable KCPE 2023 Prediction KCPE 2023 Results KCPE 2023 Revised Final Timetable Download and Instructions KCPE 2023 Science KCPE 2023 Timetable KCPE 2023 Timetable November KCPE 2023 Timetable Pdf KCPE 2023 Timetable Results KCPE best pupils KCPE best pupils 2022 KCPE best pupils 2023 KCPE best students KCPE best students 2022 KCPE best students 2023 KCPE Questions 2022 KCPE Questions 2023 KCPE Results 2022 Top 100 Students KCPE Results 2022 Release Date KCPE Results 2022 Release Date and Time KCPE Results 2022 Release Dates KCPE Results 2022 Today KCPE Results 2022 Top 100 Students KCPE Results 2023 Release Date KCPE Results 2023 Release Date and Time KCPE Results 2023 Release Dates KCPE Results 2023 Today KCPE Results 2023 Top 100 Students KCPE Results Per School 2022 KCPE Results Per School 2023 KCPE Results Slip 2022 KCPE Results Slip 2023 KCPE Time Table 2022 KCPE Time Table 2023 KCPE Timetable 2022 Pdf KCPE Timetable 2023 Pdf KCPE top pupils KCPE top pupils 2022 KCPE top pupils 2023 KCPE top students KCPE top students 2022 KCPE top students 2023 KCSE 2022 Timetable KCSE 2023 Timetable KCSE Results 2022 Release Date KCSE Results 2022 Release Dates KCSE Results 2023 Release Date KCSE Results 2023 Release Dates Knec Announces Dates for 2022 KCPE Release Date Knec Announces Dates for 2022 KCPE Release Dates Knec Announces Dates for 2022 KCPE Result Release Date Knec Announces Dates for 2022 KCPE Result Release Dates Knec Announces Dates for 2022 KCPE Results Release Date Knec Announces Dates for 2022 KCPE Results Release Dates Knec Announces Dates for 2022 KCPE, KCSE Exams Release Knec Announces Dates for 2022 KCPE, KCSE Exams Results Release Knec Announces Dates for 2022 KCSE Release Date Knec Announces Dates for 2022 KCSE Release Dates Knec Announces Dates for 2022 KCSE Result Release Date Knec Announces Dates for 2022 KCSE Result Release Dates Knec Announces Dates for 2022 KCSE Results Release Date Knec Announces Dates for 2022 KCSE Results Release Dates Knec Announces Dates for 2023 KCPE Release Date Knec Announces Dates for 2023 KCPE Release Dates Knec Announces Dates for 2023 KCPE Result Release Date Knec Announces Dates for 2023 KCPE Result Release Dates Knec Announces Dates for 2023 KCPE Results Release Date Knec Announces Dates for 2023 KCPE Results Release Dates Knec Announces Dates for 2023 KCPE, KCSE Exams Release Knec Announces Dates for 2023 KCPE, KCSE Exams Results Release Knec Announces Dates for 2023 KCSE Release Date Knec Announces Dates for 2023 KCSE Release Dates Knec Announces Dates for 2023 KCSE Result Release Date Knec Announces Dates for 2023 KCSE Result Release Dates Knec Announces Dates for 2023 KCSE Results Release Date Knec Announces Dates for 2023 KCSE Results Release Dates Knec KCPE 2022 Examination Timetable Knec KCPE 2022 Timetable Pdf: Subjects Start and End Day Knec KCPE 2023 Examination Timetable Knec KCPE 2023 Timetable Pdf: Subjects Start and End Day Nairobi Primary KCPE Results 2022 Nairobi Primary KCPE Results 2023 Timetable for 2022 KCPE Exam Timetable for 2023 KCPE Exam Tips to Pass KCPE Exams Top 10 Students KCPE 2022 Top 10 Students KCPE 2023 Top 100 Schools KCPE 2022 Nairobi County Top 100 Schools KCPE 2023 Nairobi County Top Pupils in KCPE 2022 Top Pupils in KCPE 2023 Top Schools in KCPE 2022 Top Schools in KCPE 2023 Tvet Knec Results July 2022 Release Date Tvet Knec Results July 2023 Release Date What is Passing Score for KCPE? What is the Fastest Way to Answer a Test? What is the Most Popular School in Kenya? What is the My School App? What is the Pass Mark for KCPE 2022? What is the Pass Mark for KCPE 2023? When Are the KCPE Results Being Released 2022 When Are the KCPE Results Being Released 2023 When Did KCPE 2022 End? When Did KCPE 2023 End? When is KCPE 2022 Starting When is KCPE 2023 Starting When Will KCPE 2022 Be Released? When Will KCPE 2023 Be Released? Which Date Will KCPE 2022 Start? Which Date Will KCPE 2023 Start? Which Exam Will Replace KCPE? Which is the Biggest Primary School in Kenya? Which is the Largest School in Kenya? Which is the Smartest City in Kenya? Which School Has the Most Students in Kenya? Which School Was Number One in KCPE? Which School Was Number One in KCSE? Who Has the Highest Marks in KCPE 2022? Who Has the Highest Marks in KCPE 2023? Who is No 1 in KCPE2022? Who is No 1 in KCPE2023? Who is No 1 School in World? Who is the Top Student in KCPE 2022? Who is the Top Student in KCPE 2023? Who Made 1 School? Who Scored 482 Marks in KCPE? Who Scored the Highest in KCPE 2022? Who Scored the Highest in KCPE 2023? Who Topped KCPE? When is KCPE 2022 Released? When is KCPE 2022 Released Find When is KCPE 2022 Released? Find Out When is KCPE 2022 Released? When is KCPE 2023 Released? When is KCPE 2023 Released Find When is KCPE 2023 Released? Find Out When is KCPE 2023 Released? When is KCPE Released? When is KCPE Released Find When is KCPE Released? Find Out When is KCPE Released? 2022 KCPE Examination Timetable & Instructions 2023 KCPE Examination Timetable & Instructions Are KCPE Results Being Released Today? Cba Knec Portal Download KCPE Results 2022 Download KCPE Results 2023 How is KCPE Results Calculated? How Long Does It Take to Get KCPE 2022? How Long Does It Take to Get KCPE 2023? How Long Does It Take to Release KCPE Results? How Many 400 Marks is KCPE? How Many Days Remaining to KCPE 2022 How Many Days Remaining to KCPE 2023 How Many Days to KCPE 2022 How Many Days to KCPE 2023 How Many Marks Are Standardized in KCPE? How Many Points is a C+ in KCPE? How to Check KCPE Results 2022 How to Check KCPE Results 2023 How to Check My KCPE Index Number Online How to Pass KCPE 2022 How to Pass KCPE 2023 Is KCPE 2022 Timetable Out? Is KCPE 2023 Timetable Out? Is KCPE Marked by a Machine? KCPE 2022 Dates KCPE 2022 December Timetable KCPE 2022 Kiswahili Leakage KCPE 2022 Leakage Composition KCPE 2022 Leakage Mathematics KCPE 2022 Leakage Mathematics Paper 1 KCPE 2022 Leakage November KCPE 2022 Mathematics KCPE 2022 November Timetable KCPE 2022 Prediction KCPE 2022 Release Date and Time KCPE 2022 Revised Final Timetable Download and Instructions KCPE 2022 Science KCPE 2022 Timetable Pdf KCPE 2022 Timetable Results KCPE 2023 Dates KCPE 2023 December Timetable KCPE 2023 Kiswahili Leakage KCPE 2023 Leakage Composition KCPE 2023 Leakage Mathematics KCPE 2023 Leakage Mathematics Paper 1 KCPE 2023 Leakage November KCPE 2023 Mathematics KCPE 2023 November Timetable KCPE 2023 Prediction KCPE 2023 Release Date and Time KCPE 2023 Revised Final Timetable Download and Instructions KCPE 2023 Science KCPE 2023 Timetable Pdf KCPE 2023 Timetable Results KCPE November 2022 Timetable KCPE November 2023 Timetable KCPE Results 2022 Dates KCPE Results 2022 Release Date and Time KCPE Results 2022 Top 100 Students KCPE Results 2023 KCPE Results 2023 Dates KCPE Results 2023 Release Date and Time KCPE Results 2023 Top 100 Students KCPE Timetable 2022 KCPE Timetable 2022 March KCPE Timetable 2022 Pdf KCPE Timetable 2023 KCPE Timetable 2023 March KCPE Timetable 2023 Pdf Kcse Dates 2022 Kcse Dates 2023 Kcse Timetable 2022 Kcse Timetable 2023 Tvet Knec Results 2022 Release Date Tvet Knec Results 2023 Release Date What Grade is 69 Points in Kcse? What is Passing Score for KCPE? What is the Highest KCPE Marks Ever? What Was the Lowest Mark in KCPE? When is KCPE 2022 Starting When is KCPE 2023 Starting When is Kcse 2022 Starting When is Kcse 2023 Starting Which Date and Time Are KCPE Results Being Released 2022? Which Date and Time Are KCPE Results Being Released 2023? Which Date Are KCPE Results Being Released 2022? Which Date Are KCPE Results Being Released 2023? Which Date Will KCPE 2022 Start? Which Date Will KCPE 2023 Start? Which Date Will Kcse 2022 Start? Which Date Will Kcse 2023 Start? Which Month Are KCPE Results Being Released 2022? Which Month Are KCPE Results Being Released 2023? Which Time Are KCPE Results Being Released 2022? Which Time Are KCPE Results Being Released 2023? Who Scored 482 Marks in KCPE? Www.knec-portal.ac.ke Results 2022 Www.knec-portal.ac.ke Results 2023 Www.knec.ac.ke Login 2022 Exam Timetable 2022 KCPE Examination Timetable & Instructions 2022 KCPE Predictions Trial Exams With Answers 2022 KCPE, KCPE Assessments to Be Concluded 2023 Exam Timetable 2023 KCPE Examination Timetable & Instructions 2023 KCPE Predictions Trial Exams With Answers 2023 KCPE, KCPE Assessments to Be Concluded Are 2022 KCPE Certificates Out? Are 2023 KCPE Certificates Out? Are KCPE Results Being Released Today? Can I Get My KCPE Certificate Online? Can I Get My KCPE Result Slip Online? Can Knec Change a Student Name in KCPE Certificate? Cba Knec Portal Date When KCPE 2022 Exam Results Will Be Released Date When KCPE 2023 Exam Results Will Be Released Download KCPE Results 2022 Download KCPE Results 2023 Find Out When is KCPE 2022 Released? Find Out When is KCPE 2023 Released? Find Out When is KCPE Released? Find When is KCPE 2022 Released? Find When is KCPE 2023 Released? Find When is KCPE Released? Form 1 Admission 2022 Form 1 Admission 2023 Form 1 Admission Letters 2022 Form 1 Admission Letters 2023 Form 1 Selection Form 1 Selection 2022 Form 1 Selection 2023 Form 1 Selection List 2022 Form 1 Selection List 2023 Form One Admission 2022 Form One Admission 2023 Form One Admission Letters 2022 Form One Admission Letters 2023 Form One Selection Form One Selection 2022 Form One Selection 2022 Kenya Form One Selection 2023 Form One Selection 2023 Kenya Form One Selection List 2022 Form One Selection List 2023 Has KCPE 2022 Been Released? Has KCPE 2023 Been Released? Has KCPE Results Been Released 2022? Has KCPE Results Been Released 2023? Highest KCPE Marks Ever in Kenya How Can I Change My Name in KCPE Certificate? How Can I Check My 2022 KCPE Results Online? How Can I Check My 2023 KCPE Results Online? How Can I Check My KCPE 2022? How Can I Check My KCPE 2023? How Can I Check My KCPE Certificate is Genuine? How Can I Check My KCPE Registration 2022? How Can I Check My KCPE Registration 2023? How Can I Check My KCPE Result 2022 by Sms? How Can I Check My KCPE Result 2023 by Sms? How Can I Check My KCPE Results for 2022 Whole School? How Can I Check My KCPE Results for 2023 Whole School? How Can I Check My KCPE Results Online 2022 for Whole School? How Can I Check My KCPE Results Online 2023 for Whole School? How Can I Check My KCPE Results Online? How Can I Check My KCPE Results? How Can I Check My Knec Certificate? How Can I Check My Knec Result via Sms? How Can I Get Full Marks in Maths? How Can I Get Good Marks in KCPE? How Can I Get Highest Marks in Exam? How Can I Get KCPE 2022 Results? How Can I Get KCPE 2023 Results? How Can I Get KCPE Result From 2022 by Sms? How Can I Get KCPE Result From 2023 by Sms? How Can I Get KCPE Result via Sms? How Can I Get My KCPE Results 2022? How Can I Get My KCPE Results 2023? How Can I Get My KCPE Results Online 2022? How Can I Get My KCPE Results Online 2023? How Can I Get My KCPE School Results? How Can I Pass a Test I Didn't Study for? How Can I Pass My Exam With Top Grades? How Can I Pass My Exam Without Fear? How Can I Retrieve My KCPE Certificate? How Can I Take My Mobile in School? How Can I Verify My Degree Certificate Online? How Can One Pass KCPE? How Do I Access Knec Portal? How Do I Check My KCPE 2022 Results Online? How Do I Check My KCPE 2023 Results Online? How Do I Check My KCPE School Selection 2022? How Do I Check My KCPE School Selection 2023? How Do I Check My School KCPE Results? How Do I Check Safaricom KCPE Results? How Do I Check the School Placement? How Do I Contact Knec? How Do I Find My School Placement 2022? How Do I Find My School Placement 2023? How Do I Find the School Placement on My Phone? How Do I Get a School Placement Check on My Phone? How Do I Get My College Knec Results? How Do I Get My Original Certificate if I Lost It? How Do I Know My School is Selected? How Do I Prepare for KCPE? How Do I Verify a Degree Certificate? How Do You Get 100 on a Test Every Time? How Do You Get B+ in KCSE? How Do You Guess the Right Answer on Multiple Choice? How Do You Pass an Exam When You Know Nothing? How Do You Pass Every Test You Take? How is KCPE 2022 Standardised? How is KCPE 2023 Standardised? How is KCPE Marks Calculated? How is KCPE Results Calculated? How Long Does It Take to Get KCPE 2022? How Long Does It Take to Get KCPE 2023? How Long Does It Take to Release KCPE Results? How Long Does KCPE Certificate Take to Be Released? How Many 400 Marks is KCPE? How Many Days Remaining to KCPE 2022 How Many Days Remaining to KCPE 2023 How Many Days to KCPE 2022 How Many Days to KCPE 2023 How Many Marks Are Standardized in KCPE? How Many Points is a C+ in KCPE? How Many Pupils Got 400 in KCPE? How Many Students Got 400 Marks in KCPE? How Many Students Sat for KCPE 2022? How Many Students Sat for KCPE 2023? How Many Students Scored 400 and Above? How to Check KCPE Results 2022 How to Check KCPE Results 2023 How to Check My KCPE Index Number Online How to Download KCPE Result Slip Online How to Get 400 Marks in KCPE How to Pass KCPE 2022 How to Pass KCPE 2023 How to Pass KCPE Mathematics How to Pass Kiswahili KCPE How to Score 400 Marks in KCPE 2022 How to Score 400 Marks in KCPE 2023 Is 4 a Good Mark? Is It Possible to Change Name in Educational Certificates? Is KCPE 2022 Released? Is KCPE 2022 Timetable Out? Is KCPE 2023 Released? Is KCPE 2023 Timetable Out? Is KCPE Marked by a Machine? Is KCSE December 2022 Timetable Out? Is KCSE December 2023 Timetable Out? K.c.p.e 2022 Mathematics K.c.p.e 2023 Mathematics KCPE 2022 Answers KCPE 2022 Dates KCPE 2022 December Timetable KCPE 2022 Exam Results to Be Announced Today KCPE 2022 Exams KCPE 2022 Kiswahili Leakage KCPE 2022 Leakage KCPE 2022 Leakage Composition KCPE 2022 Leakage Mathematics KCPE 2022 Leakage Mathematics Paper 1 KCPE 2022 Leakage November KCPE 2022 Marking Scheme KCPE 2022 Mathematics KCPE 2022 Maths KCPE 2022 November Timetable KCPE 2022 Prediction KCPE 2022 Prediction Questions and Answers KCPE 2022 Release Date and Time KCPE 2022 Results KCPE 2022 Results Analysis KCPE 2022 Results Announcement KCPE 2022 Results Out KCPE 2022 Results Per School KCPE 2022 Results Release Date by Knec KCPE 2022 Results Top 100 Students KCPE 2022 Revised Final Timetable Download KCPE 2022 Revised Final Timetable Download and Instructions KCPE 2022 Science KCPE 2022 Timetable KCPE 2022 Timetable November KCPE 2022 Timetable Pdf KCPE 2022 Timetable Results KCPE 2023 Answers KCPE 2023 Dates KCPE 2023 December Timetable KCPE 2023 Exam Results to Be Announced Today KCPE 2023 Exams KCPE 2023 Kiswahili Leakage KCPE 2023 Leakage KCPE 2023 Leakage Composition KCPE 2023 Leakage Mathematics KCPE 2023 Leakage Mathematics Paper 1 KCPE 2023 Leakage November KCPE 2023 Marking Scheme KCPE 2023 Mathematics KCPE 2023 Maths KCPE 2023 November Timetable KCPE 2023 Prediction KCPE 2023 Prediction Questions and Answers KCPE 2023 Release Date and Time KCPE 2023 Results KCPE 2023 Results Analysis KCPE 2023 Results Announcement KCPE 2023 Results Out KCPE 2023 Results Per School KCPE 2023 Results Release Date by Knec KCPE 2023 Results Top 100 Students KCPE 2023 Revised Final Timetable Download KCPE 2023 Revised Final Timetable Download and Instructions KCPE 2023 Science KCPE 2023 Timetable KCPE 2023 Timetable November KCPE 2023 Timetable Pdf KCPE 2023 Timetable Results KCPE and KCPE 2022 Exams KCPE and KCPE 2023 Exams KCPE best pupils KCPE best pupils 2022 KCPE best pupils 2023 KCPE best students KCPE best students 2022 KCPE best students 2023 KCPE Dates 2022 KCPE Dates 2023 KCPE Download KCPE November 2022 Timetable KCPE November 2023 Timetable KCPE Questions 2022 KCPE Questions 2023 KCPE Result Slip Download 2022 KCPE Result Slip Download 2023 KCPE Results 2022 KCPE Results 2022 Dates KCPE Results 2022 Full List KCPE Results 2022 Kenya KCPE Results 2022 Live KCPE Results 2022 Per County KCPE Results 2022 Release Date KCPE Results 2022 Release Date and Time KCPE Results 2022 Release Dates KCPE Results 2022 Release: How to Download KCPE KCPE Results 2022 Release: How to Download KCPE Exam Results KCPE Results 2022 Release: How to Download KCPE Results KCPE Results 2022 Today KCPE Results 2022 Top 100 Students KCPE Results 2023 KCPE Results 2023 Dates KCPE Results 2023 Full List KCPE Results 2023 Kenya KCPE Results 2023 Live KCPE Results 2023 Per County KCPE Results 2023 Release Date KCPE Results 2023 Release Date and Time KCPE Results 2023 Release Dates KCPE Results 2023 Release: How to Download KCPE KCPE Results 2023 Release: How to Download KCPE Exam Results KCPE Results 2023 Release: How to Download KCPE Results KCPE Results 2023 Today KCPE Results 2023 Top 100 Students KCPE Results Online KCPE Results Per School KCPE Results Per School 2022 KCPE Results Per School 2023 KCPE Results Slip 2022 KCPE Results Slip 2023 KCPE Revealed 2022 KCPE Revealed 2023 KCPE Time Table 2022 KCPE Time Table 2023 KCPE Timetable 2022 KCPE Timetable 2022 Download KCPE Timetable 2022 March KCPE Timetable 2022 Pdf KCPE Timetable 2023 KCPE Timetable 2023 Download KCPE Timetable 2023 March KCPE Timetable 2023 Pdf KCPE top pupils KCPE top pupils 2022 KCPE top pupils 2023 KCPE top students KCPE top students 2022 KCPE top students 2023 KCSE 2022 Timetable KCSE 2023 Timetable Kcse Dates 2022 Kcse Dates 2023 KCSE Results 2022 Release Date KCSE Results 2022 Release Dates KCSE Results 2023 Release Date KCSE Results 2023 Release Dates Kcse Timetable 2022 Kcse Timetable 2023 Kenya High School Form 1 Selection Kiambu County KCPE Results 2022 Kiambu County KCPE Results 2023 Knec Announces Dates for 2022 KCPE Release Date Knec Announces Dates for 2022 KCPE Release Dates Knec Announces Dates for 2022 KCPE Result Release Date Knec Announces Dates for 2022 KCPE Result Release Dates Knec Announces Dates for 2022 KCPE Results Release Date Knec Announces Dates for 2022 KCPE Results Release Dates Knec Announces Dates for 2022 KCPE, KCSE Exams Release Knec Announces Dates for 2022 KCPE, KCSE Exams Results Release Knec Announces Dates for 2022 KCSE Release Date Knec Announces Dates for 2022 KCSE Release Dates Knec Announces Dates for 2022 KCSE Result Release Date Knec Announces Dates for 2022 KCSE Result Release Dates Knec Announces Dates for 2022 KCSE Results Release Date Knec Announces Dates for 2022 KCSE Results Release Dates Knec Announces Dates for 2023 KCPE Release Date Knec Announces Dates for 2023 KCPE Release Dates Knec Announces Dates for 2023 KCPE Result Release Date Knec Announces Dates for 2023 KCPE Result Release Dates Knec Announces Dates for 2023 KCPE Results Release Date Knec Announces Dates for 2023 KCPE Results Release Dates Knec Announces Dates for 2023 KCPE, KCSE Exams Release Knec Announces Dates for 2023 KCPE, KCSE Exams Results Release Knec Announces Dates for 2023 KCSE Release Date Knec Announces Dates for 2023 KCSE Release Dates Knec Announces Dates for 2023 KCSE Result Release Date Knec Announces Dates for 2023 KCSE Result Release Dates Knec Announces Dates for 2023 KCSE Results Release Date Knec Announces Dates for 2023 KCSE Results Release Dates Knec KCPE 2022 Examination Timetable Knec KCPE 2022 Release; How to Receive KCPE Results Knec KCPE 2022 Results Release and How to Check via Sms Knec KCPE 2022 Timetable Pdf: Subjects Start and End Day Knec KCPE 2022 Timetable Pdf: Subjects That Will Start, End Knec KCPE 2023 Examination Timetable Knec KCPE 2023 Release; How to Receive KCPE Results Knec KCPE 2023 Results Release and How to Check via Sms Knec KCPE 2023 Timetable Pdf: Subjects Start and End Day Knec KCPE 2023 Timetable Pdf: Subjects That Will Start, End Knec Portal Knec Releases Deadline for Verification of 2022 KCPE, KCPE Knec Releases Deadline for Verification of 2023 KCPE, KCPE Knec Releases Results for KCPE 2022 Candidates Knec Releases Results for KCPE 2023 Candidates Knec Releases Revised KCPE & KCPE Exam Timetables Ministry of Education Form One Selection 2022 Ministry of Education Form One Selection 2023 Nairobi Primary KCPE Results 2022 Nairobi Primary KCPE Results 2023 Release Date of KCPE 2022 Release Date of KCPE 2023 Release Dates of KCPE 2022 Release Dates of KCPE 2023 Release of KCPE 2022 Release of KCPE 2023 Release Time of KCPE 2022 Release Time of KCPE 2023 Release Times of KCPE 2022 Release Times of KCPE 2023 Timetable for 2022 KCPE Exam Timetable for 2023 KCPE Exam Tips to Pass KCPE Exams Top 10 Schools in KCPE 2022 Top 10 Schools in KCPE 2023 Top 10 Students KCPE 2022 Top 10 Students KCPE 2023 Top 100 Schools in Kisii County KCPE 2022 Top 100 Schools in Kisii County KCPE 2023 Top 100 Schools KCPE 2022 in Kenya Top 100 Schools KCPE 2022 Nairobi County Top 100 Schools KCPE 2023 in Kenya Top 100 Schools KCPE 2023 Nairobi County Top 50 KCPE Candidates 2022 Top 50 KCPE Candidates 2023 Top Pupils in KCPE 2022 Top Pupils in KCPE 2023 Top Schools in KCPE 2022 Top Schools in KCPE 2022 Nairobi County Top Schools in KCPE 2023 Top Schools in KCPE 2023 Nairobi County Tvet Knec Results 2022 Release Date Tvet Knec Results 2023 Release Date Tvet Knec Results July 2022 Release Date Tvet Knec Results July 2023 Release Date What Does P Mean in KCPE Results? What Grade is 69 Points in Kcse? What is Passing Score for KCPE? What is the Fastest Way to Answer a Test? What is the Highest KCPE Marks Ever? What is the Most Popular School in Kenya? What is the My School App? What is the Pass Mark for KCPE 2022? What is the Pass Mark for KCPE 2023? What Was the Lowest Mark in KCPE? When Are the KCPE Results Being Released 2022 When Are the KCPE Results Being Released 2023 When Did KCPE 2022 End? When Did KCPE 2023 End? When is KCPE 2022 Released When is KCPE 2022 Released? When is KCPE 2022 Starting When is KCPE 2023 Released When is KCPE 2023 Released? When is KCPE 2023 Starting When is KCPE Released When is KCPE Released? When is Kcse 2022 Starting When is Kcse 2023 Starting When Will KCPE 2022 Be Done When Will KCPE 2022 Be Released? When Will KCPE 2023 Be Done When Will KCPE 2023 Be Released? Which Date and Time Are KCPE Results Being Released 2022? Which Date and Time Are KCPE Results Being Released 2023? Which Date Are KCPE Results Being Released 2022? Which Date Are KCPE Results Being Released 2023? Which Date is KCPE Starting? Which Date Will KCPE 2022 Start? Which Date Will KCPE 2023 Start? Which Date Will KCPE End? Which Date Will Kcse 2022 Start? Which Date Will Kcse 2023 Start? Which Exam Will Replace KCPE? Which is the Biggest Primary School in Kenya? Which is the Largest School in Kenya? Which is the Smartest City in Kenya? Which Month Are KCPE Results Being Released 2022? Which Month Are KCPE Results Being Released 2023? Which School Has the Most Students in Kenya? Which School Was Number One in KCPE? Which School Was Number One in KCSE? Which Time Are KCPE Results Being Released 2022? Which Time Are KCPE Results Being Released 2023? Who Has the Highest Marks in KCPE 2022? Who Has the Highest Marks in KCPE 2023? Who is No 1 in KCPE2022? Who is No 1 in KCPE2023? Who is No 1 School in World? Who is the Top Student in KCPE 2022? Who is the Top Student in KCPE 2023? Who Made 1 School? Who Scored 482 Marks in KCPE? Who Scored the Highest in KCPE 2022? Who Scored the Highest in KCPE 2023? Who Topped KCPE? Www.education.go.ke Form One Selection 2022 Www.education.go.ke Form One Selection 2023 Www.knec-portal.ac.ke Results Www.knec-portal.ac.ke Results 2022 Www.knec-portal.ac.ke Results 2023 Www.knec.ac.ke Login