Free KNEC KCPE Past Papers Mathematics 2011

Free KCPE Mocks - KCPE Questions and Answers - Download Free KCPE Marking Schemes - KCPE Revision - KCPE Results
KENYA NATIONAL EXAMINATION COUNCIL

K.C.P.E 2011

Mathematics

Paper

The Kenya National Examinations Council

K.C.P.E 20 11

Mathematics

Time: 2 hours

Instructions to candidates (Please read these instruction: carefully)

1. You have been given this question booklet and a separate answer sheet. The question booklet contains 50 questions.

2. Do any necessary rough work in this booklet.

3. When you You have chosen your answer, mark it on the Answer sheet. not in the question booklet

How To Use The Answer Sheet

4. Use only an culinary pencil.

5. Make sure that you have written on the answer sheet

Your index number

Your name

Name of your school

6. By drawing a dark line inside the correct numbered boxes mark your full index numbe (ie school code numbered the three figure candidate's number) in the grid near the top of the answer sheet

7. Do not make any mark outside the boxes

8. Keep the sheet as clean as possible and do not fold it

9. For each of the questions 1-50 four answers are given. The answers are labeled A, B, C and D. In each case only one of the four answers is correct. Choose the correct answer. 10. On the answer sheet the correct answer is to be shown by drawing a dark line inside the box in which the letter you have chosen is written

Example

In the question booklet 11. what is the value of 6(24 - 18)+6 x 4/6? A. 30

B. 25

C. 10

D. 28

The correct answer is C (10)

On the answer sheet

4. [A] [B] [C] [D] 14. [A] [B] [C] [D] 24. [A] [B] [C] [D]

34. [A] [B] [C] [D] 44. [A] [B] [C] [D]

11. Your dark line must be within the box

12. For each question only one box is to be marked in each set of four boxes

1. What is 9301854 written in words?

A. Nine million three thousand and one, eight hundred and fifty four.

B. Ninety three and one thousand, eight hundred and fifty four.

C. Nine million three hundred and one thousand eight hundred and fifty four.

D. Nine hundred and thirty thousand eighteen hundred and fifty four.

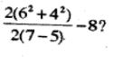
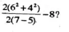
2. What is the value of

A. 2 B. 14 C. 18 D. 24

3. What is 4.59954 written correct to three decimal places?

A. 4.599

B. 4.6

C. 4.60

D. 4.600

4. Wm is the L.C.M of 30, 45 and 50? A. 15

B. 135

C. 180

D. 540

5. What is the place value of digit 2 in the product of the total value of digit 4 multiplied by the total value of digit 3 in the number 57438?

A. Ones

B. Tens

C. Hundreds

D. Thousands

6. Jebet bought the following items: 3 packets of maize flour at sh.90 each 2 kg of beans for sh 170 1 1/2 kg of potatoes at sh 40 per kg 2 loaves of bread at sh 34 each If she had sh 800,how much money was she left with?

A. sh 62

B. sh 232

C. sh 466

D. sh 568

7. What is the value of x in the equation

2(x + 1)/3-4 = 6

A. 14

B. 10

C. 8

D. 4

8. The area of a square is 3844 cm". What is the length of each side of the square?

A. 1922 cm

B. 961 cm

67 cm

62 cm

9. Which is the correct order of writing the fractions 2/5, 4/15, 1/6, 1/2, 2/3 starting from the smallest to the largest‘?

A. 4/15, 2/5, 2/3, 1/6, 1/2 B. 2/3, 1/2, 2/5, 4/15, 1/6 C. 1/2, 2/3, 2/5, 1/6, 4/15 D. 1/6, 4/15, 2/5, 1/2, 2/3

10. In the triangle PQR below, construct the bisectaor of angle PQR to cut line PR at M and the bisector of angle QPR to cut line QR at N‘ The two bisectmjs intersect at point X. Join RX.

What is the size of angle RXM?

A. 58°

B. 60°

C. 65°

D. 117°

11. How many fencing posts, spaced Sm apart, are required to fence a rectangular plot measuring 745 m by 230 m?

A. 391

B. 390

C. 195

D. 196

12. Awinja bought a pair of shoes for sh 810 after getting a discount of 10%. What was the marked price of the pair of shoes?

A. sh 81

B. sh 729

C. sh 891

D. sh 900

13. The table below shows the amount of milk delivered by a farmer to the dairy in 6 days.

What was the median sale of milk, in litres, for the 6 days?

A. 18

B. 19 1/3

c. 20 1/2

D. 21

14. Mutiso and Oluoch shared the profit of their business such that Mutiso got gr of the profit. What was the ratio of Mutiso’s share to Oluoch’s share’?

A. 3: 2

B. 5: 3

C. 3: 5

D. 2: 3

15. What is the value of 0.5 +0.2 +0.25/0.2

A. 14

B. 6.5

C. 4. 5

D. 2.75

16. Mulwa had 5 one thousand shillings notes, 7 five hundred shillings notes, 10 two hundred shilling notes and 6 one hundred shillings notes. He then changed the money into filly shillings .

notes. How many notes altogether did he get?

A. 555000

B. ll 100

C. 2 220

D. 222

17. The figure below is a map of a village drawn to the scale 1:250 000

What is the perimeter of the village in kilometers?

A. 6000

B. 600

C. 60

D. 6

18. A cylindrical container has a circumference of 176 cm and a height of 40 cm. What is the volume of the container in urn’? (Take n = 22/7})

A. 394240

B. 98560

C. 7040

D. 3 520

19. What is 1/2 (3x + 4y) + 1/5 (2x + 7y)- 1 1/4x - 1/2y in a simplified form

A. 13/20x + 2 9/10y

B. 13/20x + 10 1/2y

C. 3 3/20x + 3 9/10y

D. 4 1/4x + 2 9/10y

20. The figure below is a sketch of a triangle XYZ in which angle ZXY=50°, angle YZX=70° and line ZX= 6cm

Which one of the statements below leads to the correct construction of the triangle?

A. Use a ruler to draw line ZX=6cm long and drop a perpendicular from Y to ZX. Then join Y to X and to Z.

B. Use a ruler to draw line ZX=6cm long and a pair of compasses to construct angle ZXY=50° and YZX=7O°.

C. Measure and draw the angles ZXY=50° and YZX=70° using a protractor and draw line ZX =6cm long.

D. Use a ruler to draw line ZX=6cm long. Use a protractor to mark off an angle 70° at Z and angle of 50° at X Let the lines formed by the angles meet at Y.

21. Each of the diagonals of a rectangular flower garden is 65m. If one side of the garden measures 25m, what is the measurement" of the other side?

A. 90m

B. 60m

C. 40m

D. 20m

22. A meeting was attended by 150 people. Out of these. 0.14 were men, 0.2 were women and the rest were children. How many more children than women were these?

A. 59

B. 78

C. 99

D. 129

23. The triangle PQR shown below has been drawn accurately.

what is the size of angle QPR?

A. 95°

B. 85°

C. 50°

D. 45°

24. Mwaruwa is paid sh 3750 after working for 25 days. How much money would he be paid if he does not work for 4 days?

A. sh 600

B. sh 4464

C. sh 4350

D. sh 3150

25. A family uses decilitres of milk each day. How many litres of milk altogether would the family use in the months of June and July?

A. 305

B. 30.5

C. 30.0 D. 3.05

26. In the triangle ABC below, construct a perpendicular from A to meet line BC at N.

Which one of the following statements is correct?

A. Line AN bisects line BC

B. Angle BAN is equal to angle CAN

C. Angle ANB is equal to angle ANC

D. Line AB is equal to line BN.

27. The graph below shows the journey made by a social worker on a certain day

Between which two places was his speed the highest?

A. Home and school

B. School and health centre

C. Health centre and the market

D. Market and home.

28. What is the value of p(2r + q) —r/q, where p=3,q—p = 4 and r = p+q/2?

A. 8 5/7

B. 6 4/7

C. 2 2/7

D. 2/7

29. What is the surface area of a cylindrical rod of height 17 cm and diameter 14 cm?

(Take n = 22/7)

A. 748 cm

B. 902 cm

C. 1056 cm’

D. 2728 cm‘

30. What is the value of 2 1/2 - 2/3 +7/8 x 5/7- 1 2/5 of 5/6?

A. 3 5/24,

B. 2 23/168

C. 1 97/336

D. 1 1/8

31. Halima bought 50 bananas @ sh 3 each. She spent sh 75 for transportation. During transportation 5 bananas got spoilt but she sold the rest making a 20% profit. For how much did she sell each banana‘?

A. sh 4.00

B. sh 5.40

C. sh 5.60

D. sh 6.00

32. Two sides of a parallelogram EFGH have been dfawn beluw. Colnpiae the parallelogram EFGH. Draw diagonals EG and FH to intersect at J.

What is the length of line FJ? A. 2.76 cm

B. 3.50 cm

C. 4.4 cm

D. 6.5 cm

33. Mutuma leftMombasa on Tuesday at 6.30 pm. and took 8 hours 45 minutes to reach his home. On what day and at what time in a 24 hour system did he reach home? A. Wednesday 0315 h

B. Wednesday 1515 h

C. Tuesday 1515 h

D. Tuesday 0315 h

34 The pie chart below represents the population Working Space of 1800 animals in a farm.

How many more chickens than goats are there in the farm?

A. 300

B. 900

C. 1200

D. 180

35. A car traveled 216 km at an average speed of 48km/h. On the return journey the avarage speed increased to 72km/h. Calculate the average speed, in km/h for the whole journey?

A. 57.6

B. 60

C. 28.8

D. 68.6

36. Which one of the statements below is a property of a right angled triangle‘?

A. All sides are equal.

B. Adjacent angles are supplementary.

C. Two of its sides are perpendicular.

D. The longest side of the triangle is opposite the smallest angle.

37. A mathematics text book has 97 sheets of paper and a cover. Each sheet of paper has a mass of 4 grams and the cover has a mass of 20 g. Find the mass of the book in kilograms.

A. 0.408

B. 4.08

C. 40.8

D. 408

38.The diagram below is a trapezium MNPQ.Line MQ is parallel to line NP.The length of line MQ = 8cm and that of line NR = 7cm The perpendicular line MR-=12cm.

If the area of the trapezium is 198cm‘, what is the length of RP‘?

A. 15cm

B. 18cm

C. 25cm

D. 32cm

39. Ali is now two yuan older than Martha. If Mania’s age is represented by x, what will be their total age after 10 years? A. 2x+22

B. 3x+20

C. x+22

D. 2x+18

40.A football match was attended by 42000 men. The number of women who attended was 27000 less than the number of men and 12000 more than than the number of children. The entrance fee for adults was sh 100 and for children was sh 50. How much money was collected all together?

A. sh 11700000

B. sh 7500000

C. sh 7050000

D. sh 5850000

41. In the figure below EFG is a straight line. Working Space Lines GH and FH are equal and lines HI and Fl are also equal. Angle GHF is a light angle and angle HIF is 32°. What is the size of angle EFI?

A. 61

B. 45°

C. 74°

D. 103°

42. The table below shows pan of Tariff for Ordinary Money Order and Postapay.

Karimi has two children in one school. To pay for their school fees he sent sh 8900 by Ordinary Money Order and sh 15100 by Postapay. How much money would he have saved had he bought one Ordinary Money Order to pay for all the fees?

A. sh 125

B. sh 400

C. sh 525

D. sh 925

43. Nina is mid a basic salary of sh 8000 as a sales agent. In addition she is paid a 5% commission for goods sold above sh 15000. In one month she earned sh 12000 altogether. What was the total sales? A. sh 255 000

B. sh 95 000

C. Sh 80 000

D. sh 65 000

44. What is the next number in the pattern 4, 9, 25, 49, 121, 169, -—-‘.7 A. 289

B. 256

C. 225

D. 196

45. The marked price of a motorcycle was sh 30000 but a discount of 5% was allowed for cash payment. Taabu bought the motorcycle an hire purchase terms by paying a deposit of sh 8500 followed by ten equal monthly instalments of sh 2400 each. I-low much money would Taabu have saved had she bought it for cash?

A. sh 4 000

B. sh 2 500

C. sh 1 500

D. sh 28 500

46. Figure ABCDE below represents a vegetable garden in which AE=12m, AB=36m and CD=24m. Angle DEA is a right angle. The distance from A to D is 15m. A perpendicular dlstsnee fromC to AB is 10m.

What is the area of the garden?

A. 474 m‘

B. 390 m

C. 354 m’

D. 300 m

47. A tailor made 48"pieces of uniform. Half of the number of the uniforms was each made using 1 1/4 meters of material.A quatre of the remainder was each made using 1/2 metres a of the material and the rest was made using 1 3/4 meters 13 metres of material. The tailor also fixed a logo made using 1/16 meters of material on each uniform.

How many metres of material did the tailor use?

A.72 1/2 meters

B. 72 meters

c. 70 9/6 meters

D. 70 1/2 meters

48. The table below shows the train fares for Nairobi—Mombasa route.

The following passengers travelled in the train:

23 pupils of age 12 years and above

12 pupils aged between 7 and 10 years

2 children below 3 years

3 parents

5 teachers

1 headteacher

The passengers occupied the following classes in the train:

1st class: Headteacher; 1 parent

2nd class: 5 teachers, 2 parents and all pupils and children

How much money did they pay for the journey to Mombasa?

A sh 119 560

B. sh 151 300

C. sh 156 100

D. sh 64080

49. A man deposited sh 50000 in 3 bank for 2 Working Sum years. The hank paid compound interest at the me of 10% per annum. How much money was in his account at the end of the two years?

A. 51110500

B. sh 55 500

C. sh 60000

D. sh 60 500

50. The figures below represent a pattern

Which one of the following is the next shape in the pattern above’?

Free KNEC KCPE Past Papers Mathematics 2011 Answers

KCPE 2011 ANSWERS

# Math

1 C

2 C

3 D

4 C

5 D

6 B

7 A

8 D

9 D

10 C

11 B

12 D

13 C

14 A

15 B

16 D

17 C

18 B

19 A

20 D

21 B

22 A

23 B

24 D

25 B

26 C

27 B

28 C

29 C

30 A

31 D

32 C

33 A

34 B

35 A

36 C

37 A

38 B

39 A

40 D

41 B

42 C

43 B

44 A

45 A

46 C

47 A

48 B

49 D

50 D

KCPE Results » List of National Schools in Kenya (Classified According to Clusters) » National Secondary Schools in Kenya » List of All Secondary Schools in Kenya Per County » Form 1 Intake - Selection Criteria, Selection List » KCSE Results » Secondary Schools in Kenya » KNEC - Kenya National Examinations Council KCPE Results Performance » KNEC - Kenya National Examinations Council » KCSE Results

Secondary School Scholarships in Kenya » Kenya Postgraduate Scholarships » Undergraduate Scholarships for Kenyan Students » Kenya Scholarships for Kenyan Students Studying in Kenya » Kenya Undergraduate Scholarships » The Kenya Youth Education Scholarship Fund - Scholarships Kenya - Scholarships KCSE Results » KCSE Results Top 100 Schools - Kenya Certificate of Secondary Education – KCSE » KCSE Top 100 Candidates » Kenya Certificate of Secondary Education – KCSE » KNEC - Kenya National Examinations Council » Secondary Schools in Kenya » KNEC - Kenya National Examinations Council

Kenya Scholarships for Undergraduate Students » Kenya Scholarships for Postgraduate Students » Undergraduate Scholarships for Kenyan Students » Kenya Undergraduate Scholarships » Full Undergraduate Scholarships for Kenyans » Kenya Postgraduate Scholarships » Scholarships & Grants » Undergraduate Scholarships » Universities in Kenya » Kenya Universities and Colleges Central Placement Service (KUCCPS) » Colleges in Kenya » KASNEB Registration & Results » Secondary Schools Scholarships in Kenya » Undergraduate & Graduate Scholarships for Kenyans

Powerful Motivational Quotes for Students » Success Quotes for Students » KCSE Motivational Quotes for KCSE Candidates » KCSE Success Quotes for KCSE Candidates

kcse biology essay questions and answers - kcse revision questions and answers - kcse chemistry questions and answers - kcse revision papers with answers - kcse past papers with answers - download kcse past papers with answers - kcse questions on the river and the source - kcse revision notes

KCSE Past Papers - KCPE and Answers - Free Mocks online - Kcse Answers Past Exams Question Papers - Downloads | KCSE Papers and Marking Schemes | Exams - KCSE Mathematics Paper 1 Questions and Answers - KCSE CRE Paper 1 Questions and Answers - knec past papers free downloads - kcse online registration - kcpe - kcse past papers - knec - knec portal - knec past papers for colleges - kasneb - past papers - kasneb past papers for colleges - cpa past papers - https://www.knec.ac.ke/ - www.knec-portal.ac.ke/ - KNEC PORTAL: KCSE results, online registration, KCSE Result slip. knec portal confirmation - knec portal kcse results - knec examiners portal - knec website

00 a a KCPE Past Papers Pdf Answers of KCPE 2018 Answers of KCPE 2019 Answers of KCPE 2020 Answers of KCPE 2021 Questions and Answers of KCPE 2018 Questions and Answers of KCPE 2019 Questions and Answers of KCPE 2020 Questions and Answers of KCPE 2021 KCPE 2018 Questions and Answers KCPE 2019 Questions and Answers KCPE 2020 Questions and Answers KCPE 2021 Questions and Answers Class 7 Revision Papers Class 8 Revision Papers 2020 Class 8 Revision Papers 2021 Class 8 Revision Papers 2022 Class 8 Revision Papers 2023 Class 8 Revision Papers 2024 Class 8 Revision Papers 2025 Class 8 Revision Papers Pdf English - Free KCPE and Exam Revision Materials For More Free KCPE Revision Past Papers and Answers Visit Free KCPE 2016 Past Papers Free KCPE Knec Pastpapers - KCPE -KCPE Free KCPE Marking Schemes Free KCPE Marking Schemes 2017 Free KCPE Marking Schemes 2018 Free KCPE Marking Schemes 2019 Free KCPE Marking Schemes 2020 Free KCPE Past Papers - Free KCPE Past Papers Free KCPE Past Papers and Marking Schemes Pdf Free KCPE Past Papers Download Free KCPE Past Papers Pdf Free KCPE Revision Questions With Answers Free KCPE Past Papers and Marking Schemes Pdf Free KCPE Past Papers Pdf Free Knec KCPE Past Papers Pdf Free Practise Test 2018 | Over 5000 Questions & Answers‎ Free Questions and Answers | Find Free Questions and Answers.‎ Jesma Exams 2017 Jesma Exams 2018 Jesma Exams 2018 Class 8 Jesma Papers 2017 Jesma Papers 2018 Jesma Publishers Exams Jesma Revision Papers Jesma Test Papers 2017 Jesma Test Papers 2018 K.c.p.e 2015 Science K.c.p.e 2017 Answers K.c.p.e 2017 Cre K.c.p.e 2017 English K.c.p.e 2017 English Language and Composition K.c.p.e 2017 Kiswahili K.c.p.e 2017 Maths K.c.p.e 2017 Papers K.c.p.e 2017 Science K.c.p.e 2017 Social Studies K.c.p.e Answers 2017 K.c.p.e Revision Resource: Answers to Math Practice Test Paper 1 KCPE 2002 KCPE 2010 Answers KCPE 2010 Marking Scheme KCPE 2010 Results KCPE 2013 Papers KCPE 2015 Answers KCPE 2015 Cre Answers KCPE 2015 English Answers KCPE 2015 English Language and Composition Answers KCPE 2015 Marking Scheme KCPE 2015 Papers KCPE 2015 Science KCPE 2015 Social Studies Answers KCPE 2016 Answers Pdf KCPE 2016 English KCPE 2016 Kiswahili KCPE 2016 Marking Scheme KCPE 2016 Marking Scheme Pdf KCPE 2016 Mathematics KCPE 2016 Papers KCPE 2016 Papers Pdf KCPE 2016 Results KCPE 2016 Social Studies KCPE 2017 KCPE 2017 Answers KCPE 2017 Cre KCPE 2017 Cre Paper KCPE 2017 English KCPE 2017 English Language and Composition KCPE 2017 English Language and Composition Paper KCPE 2017 English Marking Scheme KCPE 2017 English Paper KCPE 2017 Kiswahili KCPE 2017 Kiswahili Marking Scheme KCPE 2017 Kiswahili Paper KCPE 2017 Leakage KCPE 2017 Marking Scheme KCPE 2017 Mathematics KCPE 2017 Maths KCPE 2017 Maths Paper KCPE 2017 Papers KCPE 2017 Papers and Answers KCPE 2017 Past Papers - Questions, Answers & Reports KCPE 2017 Prediction KCPE 2017 Predictions KCPE 2017 Results KCPE 2017 Science KCPE 2017 Science Marking Scheme KCPE 2017 Science Paper KCPE 2017 Social Studies KCPE 2017 Social Studies Answers KCPE 2017 Social Studies Paper KCPE 2017 Timetable KCPE 2018 Answers KCPE 2018 Dates KCPE 2018 Leakage KCPE 2018 Marking Scheme KCPE 2018 Papers KCPE 2018 Prediction Papers KCPE 2018 Predictions KCPE 2018 Science KCPE 2018 Science Paper KCPE 2018 Timetable KCPE 2019 Answers KCPE 2019 Dates KCPE 2019 Leakage KCPE 2019 Marking Scheme KCPE 2019 Marking Schemes Pdf KCPE 2019 Mathematics Paper Pdf KCPE 2019 Papers KCPE 2019 Prediction Papers KCPE 2019 Predictions KCPE 2019 Science KCPE 2020 Dates KCPE 2020 Leakage KCPE 2020 Marking Scheme KCPE 2020 Papers KCPE 2020 Prediction Pdf KCPE 2020 Prediction Questions KCPE 2020 Revision Papers KCPE 2020 Science KCPE 2021 Dates KCPE 2021 Leakage KCPE 2021 Prediction Pdf KCPE 2021 Prediction Questions KCPE 2022 Leakage KCPE 2022 Prediction Pdf KCPE 2022 Prediction Questions KCPE 2023 Leakage KCPE 2023 Prediction Pdf KCPE 2023 Prediction Questions KCPE 2024 Leakage KCPE 2024 Prediction Pdf KCPE 2024 Prediction Questions KCPE 2025 Leakage KCPE 2025 Prediction Pdf KCPE 2025 Prediction Questions KCPE Answers 2015 KCPE Answers 2016 KCPE Answers 2017 KCPE Answers 2018 KCPE Answers 2019 KCPE Answers 2020 KCPE Composition Marking Scheme KCPE Composition Marking Scheme Pdf KCPE Cre 2016 KCPE Cre Questions and Answers KCPE Cre Questions and Answers 2017 KCPE Cre Revision Questions KCPE English 2016 KCPE English Language and Composition 2016 KCPE English Language and Composition Questions and Answers KCPE English Language and Composition Questions and Answers 2017 KCPE English Language and Composition Revision Questions KCPE English Questions and Answers KCPE English Questions and Answers 2017 KCPE English Revision KCPE English Revision Questions KCPE Exam 2017 KCPE Exams 2017 KCPE Exams Revision KCPE Insha Past Papers KCPE Kiswahili 2016 KCPE Kiswahili Questions and Answers KCPE Kiswahili Questions and Answers 2017 KCPE Kiswahili Revision Questions KCPE Marking Scheme 2012 KCPE Marking Scheme 2017 KCPE Marking Schemes KCPE Mathematics 2016 KCPE Mathematics Past Papers KCPE Mathematics Pdf KCPE Maths 2015 KCPE Maths 2016 KCPE Maths 2017 KCPE Maths Marking Scheme 2017 KCPE Maths Questions and Answers KCPE Maths Questions and Answers 2017 KCPE Maths Revision Questions KCPE Mock Past Papers KCPE Mock Past Papers Pdf KCPE Mocks 2019 KCPE Papers 1995-2018 - Free KCPE Past Papers KCPE Papers 1995-2020 - Free KCPE Past Papers KCPE Papers 1995-2025 - Free KCPE Past Papers KCPE Past Papers KCPE Past Papers 2010 KCPE Past Papers 2010 Pdf KCPE Past Papers 2011 Pdf KCPE Past Papers 2012 Pdf KCPE Past Papers 2013 Pdf KCPE Past Papers 2014 Pdf KCPE Past Papers 2015 Pdf KCPE Past Papers 2016 KCPE Past Papers 2016 Pdf KCPE Past Papers 2017 KCPE Past Papers 2017 Pdf KCPE Past Papers 2018 Pdf KCPE Past Papers 2018 Pdf Download KCPE Past Papers 2019 Marking Schemes KCPE Past Papers 2019 Pdf Download KCPE Past Papers 2019 With Answers KCPE Past Papers 2020 KCPE Past Papers 2020 Pdf KCPE Past Papers 2021 KCPE Past Papers 2021 Pdf KCPE Past Papers 2022 KCPE Past Papers 2022 Pdf KCPE Past Papers 2023 KCPE Past Papers 2023 Pdf KCPE Past Papers 2024 KCPE Past Papers 2024 Pdf KCPE Past Papers 2025 KCPE Past Papers 2025 Pdf KCPE Past Papers and Answers KCPE Past Papers and Answers Pdf KCPE Past Papers and Marking Schemes KCPE Past Papers and Marking Schemes Pdf KCPE Past Papers Cre KCPE Past Papers English KCPE Past Papers English Language and Composition KCPE Past Papers Kiswahili KCPE Past Papers Mathematics KCPE Past Papers Maths KCPE Past Papers Pdf KCPE Past Papers Pdf Free Download KCPE Past Papers Science KCPE Past Papers Social Studies KCPE Past Papers With Answers Pdf Download KCPE Prediction 2017 KCPE Prediction 2017 Pdf KCPE Prediction 2018 KCPE Prediction 2018 Pdf KCPE Prediction 2019 KCPE Prediction 2019 Pdf KCPE Prediction 2020 KCPE Prediction 2021 KCPE Prediction 2022 KCPE Prediction 2023 KCPE Prediction 2024 KCPE Prediction 2025 KCPE Prediction Questions KCPE Prediction Questions 2018 KCPE Prediction Questions 2018 Pdf KCPE Prediction Questions 2019 KCPE Questions and Answers KCPE Registration KCPE Registration 2018 KCPE Result Slip 2017 KCPE Result Slip Download KCPE Results 2017 KCPE Results 2017 Per County KCPE Results 2017 Top 100 Schools KCPE Results Per School KCPE Revealed 2020 KCPE Revision Download Software KCPE Revision Materials KCPE Revision Notes KCPE Revision Notes Pdf KCPE Revision Papers 2019 Pdf KCPE Revision Papers 2020 KCPE Revision Papers 2021 KCPE Revision Papers 2022 KCPE Revision Papers 2023 KCPE Revision Papers 2024 KCPE Revision Papers 2025 KCPE Revision Papers Pdf KCPE Revision Questions With Answers KCPE Revision Questions‎ and Answers KCPE School Codes KCPE Science 2016 KCPE Science 2017 KCPE Science Questions and Answers KCPE Science Questions and Answers 2017 KCPE Science Revision Questions KCPE Social Studies 2016 KCPE Social Studies Questions and Answers KCPE Social Studies Questions and Answers 2017 KCPE Social Studies Revision Questions KCPE Time Table 2018 KCPE Time Table 2019 KCPE Time Table 2020 KCPE Time Table 2021 KCPE 2016 Answers Pdf KCPE 2016 English KCPE 2016 Kiswahili KCPE 2016 Marking Scheme Pdf KCPE 2016 Papers Pdf KCPE 2016 Results KCPE 2016 Social Studies KCPE 2017 English Marking Scheme KCPE 2017 Kiswahili Marking Scheme KCPE 2017 Social Studies Answers KCPE 2018 Science Paper KCPE 2019 Marking Schemes Pdf KCPE 2019 Mathematics Paper Pdf KCPE 2020 Leakage KCPE 2020 Papers KCPE 2020 Prediction Pdf KCPE 2020 Prediction Questions KCPE 2020 Revision Papers KCPE 2021 Leakage KCPE 2021 Prediction Pdf KCPE 2021 Prediction Questions KCPE 2022 Leakage KCPE 2022 Prediction Pdf KCPE 2022 Prediction Questions KCPE 2023 Leakage KCPE 2023 Prediction Pdf KCPE 2023 Prediction Questions KCPE 2024 Leakage KCPE 2024 Prediction Pdf KCPE 2024 Prediction Questions KCPE 2025 Leakage KCPE 2025 Prediction Pdf KCPE 2025 Prediction Questions KCPE Mathematics Pdf KCPE Mock Past Papers KCPE Mock Past Papers Pdf KCPE Mocks 2019 KCPE Papers 1995-2018 - Free KCPE Past Papers KCPE Papers 1995-2020 - Free KCPE Past Papers KCPE Papers 1995-2025 - Free KCPE Past Papers KCPE Past Papers KCPE Past Papers 2010 Pdf KCPE Past Papers 2011 Pdf KCPE Past Papers 2012 Pdf KCPE Past Papers 2013 Pdf KCPE Past Papers 2014 Pdf KCPE Past Papers 2015 Pdf KCPE Past Papers 2016 Pdf KCPE Past Papers 2017 Pdf KCPE Past Papers 2018 Pdf KCPE Past Papers 2018 Pdf Download KCPE Past Papers 2019 Marking Schemes KCPE Past Papers 2019 Pdf Download KCPE Past Papers 2019 With Answers KCPE Past Papers 2020 KCPE Past Papers 2020 Pdf KCPE Past Papers 2021 KCPE Past Papers 2021 Pdf KCPE Past Papers 2022 KCPE Past Papers 2022 Pdf KCPE Past Papers 2023 KCPE Past Papers 2023 Pdf KCPE Past Papers 2024 KCPE Past Papers 2024 Pdf KCPE Past Papers 2025 KCPE Past Papers 2025 Pdf KCPE Past Papers and Answers Pdf KCPE Past Papers and Marking Schemes Pdf KCPE Past Papers Mathematics KCPE Past Papers Pdf Free Download KCPE Past Papers With Answers Pdf Download KCPE Prediction 2020 KCPE Prediction 2021 KCPE Prediction 2022 KCPE Prediction 2023 KCPE Prediction 2024 KCPE Prediction 2025 KCPE Revealed 2020 KCPE Revision Notes Pdf KCPE Revision Papers 2019 Pdf KCPE Revision Papers 2020 KCPE Revision Papers 2021 KCPE Revision Papers 2022 KCPE Revision Papers 2023 KCPE Revision Papers 2024 KCPE Revision Papers 2025 KCPE Revision Papers Pdf KCPE Science 2016 Knec Knec Downloads Knec KCPE Past Papers and Answers Pdf Knec KCPE Past Papers Pdf Knec Portal Ministry of Education Kenya Ministry of Education Kenya Downloads Ministry of Education Nairobi, Kenya Past Papers in Kenya. School, College and University Past Papers. Pdf KCPE Prediction 2018 Peak Revision K.c.p.e. English Question & Answer KCPE Revision Science Revision Papers for Class 3 Revision Papers for Class 8 Revision Papers for Class 8 2018 Revision Papers for Primary School Revision Papers Primary | Schools Net Kenya School Based Evaluation Test 2018 Std 8 Past Papers Std 8 Revision Papers Targeter Series Class 8 Topmark KCPE Science Questions and Answers Www.KCPE Revision Papers.ke.com Www.real KCPE Exam.com How can I get Kcpe past papers? Here are KCPE Past Papers Free KCPE Past Papers Free KCPE Past Papers and Answer Free KCPE Past Papers and Marking Schemes Pdf Free Kcse Past Papers Pdf How Can I Get KCPE Past Papers? KCPE 2020 Revision Papers KCPE Mock Past Papers Pdf KCPE Past Papers 2020 KCPE Past Papers 2021 KCPE Past Papers 2022 KCPE Past Papers 2023 KCPE Past Papers 2024 KCPE Past Papers and Answers Pdf KCPE Past Papers and Marking Schemes - KCPE Revision KCPE Past Papers Answers KCPE Past Papers From 2000 to 2019 KCPE Past Papers From 2000 to 2020 KCPE Past Papers From 2000 to 2021 KCPE Past Papers From 2000 to 2022 KCPE Past Papers From 2000 to 2023 KCPE Past Papers Kiswahili KCPE Past Papers Pdf Download KCPE Past Papers Questions Knec KCPE Past Papers Knec KCPE Past Papers Question and Answers 2021 Knec KCPE Past Papers Question and Answers 2022 Knec KCPE Past Papers Question and Answers 2023 Mathematics KCPE Past Papers Free KCPE Past Papers Free KCPE Past Papers and Answer - Atika School Free KCPE Past Papers and Marking Schemes Pdf Free KCPE Past Papers Pdf KCPE 2020 Revision Papers KCPE 2021 Revision Papers KCPE 2022 Revision Papers KCPE 2023 Revision Papers KCPE Mathematics Pdf KCPE Mock Past Papers Pdf KCPE Past Papers 2017 Pdf KCPE Past Papers and Marking Schemes - KCPE Revision KCPE Past Papers From 2000 to 2019 KCPE Past Papers From 2000 to 2020 KCPE Past Papers From 2000 to 2021 KCPE Past Papers From 2000 to 2022 KCPE Past Papers Kiswahili KCPE Past Papers Questions KCPE Past Papers Questions and Answers KCPE Past Papers Questions/answers KCPE Past Papers With Answers - Apps on Google Play Knec KCPE Past Papers Question and Answers 2021 Mathematics KCPE Past Papers - Kenyan Exams How Can I get KCPE Past Papers? Get Free KCPE Past Papers Get KCPE Past Papers Here Get Free KCPE Past Papers Here How Can I get KCPE Past Papers? How Can I get Free KCPE Past Papers? Get KCPE Past Papers What Was Composition Talking About of Kcpe 2024 Which Was Done Today What Was Composition Talking About of Kcpe 2023 Which Was Done Today What Was Composition Talking About of Kcpe 2021 Which Was Done Today What Was Composition Talking About of Kcpe 2022 Which Was Done Today "Pdf" Revision Questions Mathematics Form 1 "Pdf" Revision Questions Mathematics Form 2 "Pdf" Revision Questions Mathematics Form 3 "Pdf" Revision Questions Mathematics Form 4 "Pdf" Revision Questions Mathematics Form Four "Pdf" Revision Questions Mathematics Form One "Pdf" Revision Questions Mathematics Form Three "Pdf" Revision Questions Mathematics Form Two 1 a a KCSE Past Papers 10th Grade Mathematics Questions and Answers 10th Grade Mathematics Test 11th Ncert Mathematics 12th Class Mathematics Book Free Download 2014 KCSE Marking Schemes 2014 Pdf KCSE Past Papers 2015 2015 Mathematics Essay Questions and Answers Form 4 2016 KCSE Papers 2016 KCSE Prediction Questions 2017 Mathematics Hsc Answers 2017 KCSE Prediction Questions 2018 Mathematics KCSE Leakage 2018 Mathematics KCSE Questions 2018 KCSE Busineness Studies 2018 KCSE Exam 2018 KCSE Leakage 2018 KCSE Prediction Questions 2018 KCSE Questions 2019 Mathematics KCSE Leakage 2019 Mathematics KCSE Questions 2019 KCSE Leakage 2019 KCSE Questions 9th Grade Mathematics Study Guide A a a Mathematics Notes a a a Mathematics Notes! a a a MathematicsNotes! A a KCSE Past Papers A Biblical View of Social Justice A Level Mathematics Biological Molecules Questions A Level Mathematics Exam Questions by Topic A Level Mathematics Notes Edexcel A Level Mathematics Notes Xtremepapers A Level Mathematics Past Papers A Level Mathematics Questions and Answers a Level Mathematics Questions and Answers A Level Mathematics Questions and Answers (Pdf) A Level Mathematics Questions and Answers Pdf A Level Mathematics Questions by Topic Kidney Questions With Markschemes A Level Mathematics Revision A Level Mathematics Revision Edexcel A Level Mathematics Revision Guide A Level Mathematics Revision Notes A Level Mathematics Revision Notes Pdf A Level Mathematics Textbook Pdf A Level Mathematics Year 1 / as Aqa Exam Questions by Topic A Level Edexcel Notes a* Mathematics aa Mathematics Form 3 Questions and Answers Advance KCSE Past Papers Advance-africa.com KCSE Rev Quiz Advantages and Disadvantages. All Mathematics Essays All Mathematics Notes for Senior Two All KCSE Past Papers Mathematics With Making Schemes All Marking Schemes Questions and Answers All Past K.c.s.e Questions With Answers Alliance Mocks 2017 Ap Bio Quizzes Ap Mathematics 1 Textbook Pdf Ap Mathematics Essay Questions and Answers Are Sourced From KNEC. As Level Mathematics Notes Atika Mathematics Notes Atika School Mathematics Notes B/s Book 2 Notes Basic Mathematics Books Pdf basic Mathematics Interview Questions and Answers Pdf Basic Mathematics Interview Questions and Answers Pdf Basic Mathematics Pdf Basic Mathematics Questions and Answers Basic Mathematics Questions and Answers Pdf Bbc Bitesize Mathematics Ks3 Bihar Board Mathematics Objective Answer 2017 Bihar Board Mathematics Objective Answer 2018 Bio Answers Bio Quesions Mathematics 0478 Mathematics 101 Mathematics 12th Mathematics 12th Class Notes Pdf Mathematics 2019 Syllabus Mathematics All KCSE Short Notes Mathematics Answers Mathematics Answers Online Free Mathematics Answers Quizlet Mathematics Bk 2 Notes Mathematics Book 1 Mathematics Book 1 Notes Mathematics Book 2 Mathematics Book 2 Notes Mathematics Book 3 Mathematics Book 3 KLB Mathematics Book 3 Notes Mathematics Book 4 Mathematics Book 4 Notes Mathematics Book 4 Pdf Mathematics Book for Class 11 Mathematics Book Four Mathematics Book Four Notes Mathematics Book One Mathematics Book One Notes Mathematics Book Pdf Free Download Mathematics Book Three Mathematics Book Three Notes Mathematics Book Three Pdf Mathematics Book Two Mathematics Book Two Notes Mathematics Books Form Three Mathematics Bowl Mathematics Study Guide Mathematics Bowl Questions Mathematics Mathematics Bowl Questions Earth Mathematics Mathematics Bowl Questions Math Mathematics Bowl Questions Middle School Mathematics Brekthrough Form Two Notes Mathematics Class 12 Ncert Solutions Mathematics Class 12 Pdf Mathematics Communication Syllabus Mathematics Diagram Software Mathematics Diagrams for Class 11 Mathematics Diagrams for Class 12 Mathematics Diagrams for Class 9 Mathematics Diagrams for Class-10 Mathematics Diagrams in Form 1 Mathematics Diagrams in Form 2 Mathematics Diagrams in Form 3 Mathematics Diagrams in Form 4 Mathematics Diagrams Pdf Mathematics Diagrams to Label Mathematics Essay Questions and Answers Mathematics Essay Questions and Answers 2018 Mathematics Essay Questions and Answers Form 1 Mathematics Essay Questions and Answers Form 2 Mathematics Essay Questions and Answers Form 3 Mathematics Essay Questions and Answers Form 4 Mathematics Essay Questions and Answers Form 4 Pdf Mathematics Essay Questions and Answers Pdf Mathematics Essay Revision Q Mathematics Essays and Answers Mathematics Essays Form One to Form Four Mathematics Essays Form One to Form Three Mathematics Essays KCSE Mathematics Essays Pdf Mathematics Exam 1 Multiple Choice Mathematics Exam 2 Advance Mathematics Exam 2 Test Mathematics Exam 2016 Mathematics Exam Form Four Mathematics Exam Form One Mathematics Exam Form Three Mathematics Exam Form Two Mathematics Exam Practice Test Mathematics Exam Questions Mathematics Exam Questions and Answers Mathematics Exam Questions and Answers Pdf Mathematics Exam Study Guide Mathematics Exams Mathematics Excretion Notes Mathematics Exercise Form 4 With Answers Mathematics Final Exam Answer Key Mathematics Final Exam Answer Key 2016 Mathematics Final Exam Answer Key 2017 Mathematics Final Exam Answers 2018 Mathematics Final Exam Answers 2019 Mathematics Final Exam Questions and Answers Mathematics Fom 1 Notes Mathematics Fom 2 Notes Mathematics Fom 3 Notes Mathematics Fom 4 Notes Mathematics Form 1 Mathematics Form 1 & 2 and Answers Mathematics Form 1 and 2 Essays Mathematics Form 1 and 2 Essays Questions and Answers Mathematics Form 1 Chapter 1 Mathematics Form 1 Diagrams Mathematics Form 1 Exams Mathematics Form 1 Mid Year Exam Mathematics Form 1 Notes Mathematics Form 1 Notes and Questions Mathematics Form 1 Notes Download Mathematics Form 1 Notes Free Download Mathematics Form 1 Notes GCSE Mathematics Form 1 Notes KCSE-kcse Mathematics Form 1 Notes Pdf Mathematics Form 1 Notes Pdf Download Mathematics Form 1 Past Papers Mathematics Form 1 Pdf Mathematics Form 1 Pressure Mathematics Form 1 Question Papers Mathematics Form 1 Questions Mathematics Form 1 Questions and Answers Mathematics Form 1 Questions and Answers Pdf Mathematics Form 1 Quiz Mathematics Form 1 Revision Questions Mathematics Form 1 Summary Notes Mathematics Form 1 Syllabus Mathematics Form 1 Work Mathematics Form 1-4 Notes Mathematics Form 2 Mathematics Form 2 Chapter 1 Mathematics Form 2 Chapter 2 Mathematics Form 2 Diagrams Mathematics Form 2 Exam Paper 2014 Mathematics Form 2 Exams Mathematics Form 2 Notes Mathematics Form 2 Notes and Questions Mathematics Form 2 Notes GCSE Mathematics Form 2 Notes KCSE-kcse Mathematics Form 2 Notes Pdf Mathematics Form 2 Notes Pdf Download Mathematics Form 2 Past Papers Mathematics Form 2 Pdf Mathematics Form 2 Question Papers Mathematics Form 2 Questions Mathematics Form 2 Questions and Answers Mathematics Form 2 Questions and Answers Pdf Mathematics Form 2 Quiz Mathematics Form 2 Revision Notes Mathematics Form 2 Salts Mathematics Form 2 Structure and Bonding Mathematics Form 2 Summary Notes Mathematics Form 2 Syllabus Mathematics Form 2 Work Mathematics Form 3 Mathematics Form 3 and 4 Essays Mathematics Form 3 and 4 Essays Questions and Answers Mathematics Form 3 Chapter 3 Mathematics Form 3 Classification Mathematics Form 3 Diagrams Mathematics Form 3 Ecology Mathematics Form 3 Exams Mathematics Form 3 Notes Mathematics Form 3 Notes and Questions Mathematics Form 3 Notes GCSE Mathematics Form 3 Notes KCSE-kcse Mathematics Form 3 Notes Pdf Mathematics Form 3 Notes Pdf Download Mathematics Form 3 Notes Topic 1 Mathematics Form 3 Past Papers Mathematics Form 3 Pdf Mathematics Form 3 Question Papers Mathematics Form 3 Questions Mathematics Form 3 Questions and Answers Mathematics Form 3 Questions and Answers Pdf Mathematics Form 3 Questions and Answers Term 3 Mathematics Form 3 Questions and Answers+pdf Mathematics Form 3 Quiz Mathematics Form 3 Revision Notes Mathematics Form 3 Revision Questions Mathematics Form 3 Summary Notes Mathematics Form 3 Syllabus Mathematics Form 3 Syllabus Pdf Mathematics Form 3 Topics Mathematics Form 3 Work Mathematics Form 4 Mathematics Form 4 All Chapter Mathematics Form 4 Chapter 1 Conversion of Units Mathematics Form 4 Chapter 1 Exercise Mathematics Form 4 Chapter 1 Exercise and Answers Mathematics Form 4 Chapter 1 Exercise Pdf Mathematics Form 4 Chapter 1 Mind Map Mathematics Form 4 Chapter 2 Mathematics Form 4 Chapter 2 Exercise and Answers Mathematics Form 4 Chapter 2 Exercise Pdf Mathematics Form 4 Chapter 2 Experiment Mathematics Form 4 Chapter 2 Formula Mathematics Form 4 Chapter 2 Mind Map Mathematics Form 4 Chapter 2 Momentum Mathematics Form 4 Chapter 2 Notes Pdf Mathematics Form 4 Chapter 2 Objective Questions and Answers Mathematics Form 4 Chapter 2 Paper 2 Mathematics Form 4 Chapter 2 Slideshare Mathematics Form 4 Chapter 3 Mathematics Form 4 Chapter 3 Questions and Answers Mathematics Form 4 Chapter 4 Mathematics Form 4 Chapter 4 Notes Pdf Mathematics Form 4 Chapter 5 Light Questions and Answers Mathematics Form 4 Chapter 5 Notes Pdf Mathematics Form 4 Diagrams Mathematics Form 4 Exam Paper 1 Mathematics Form 4 Exams Mathematics Form 4 Exercise Mathematics Form 4 Exercise Pdf Mathematics Form 4 Module With Answer Mathematics Form 4 Note Mathematics Form 4 Notes Mathematics Form 4 Notes (Pdf) Mathematics Form 4 Notes All Chapter Pdf Mathematics Form 4 Notes and Questions Mathematics Form 4 Notes Chapter 1 Mathematics Form 4 Notes Chapter 2 Mathematics Form 4 Notes Chapter 3 Mathematics Form 4 Notes Download Mathematics Form 4 Notes Free Download Mathematics Form 4 Notes GCSE Mathematics Form 4 Notes KCSE-kcse Mathematics Form 4 Notes Pdf Mathematics Form 4 Notes Pdf Download Mathematics Form 4 Paper 2 Questions and Answers Mathematics Form 4 Past Papers Mathematics Form 4 Question Papers Mathematics Form 4 Questions Mathematics Form 4 Questions and Answers Mathematics Form 4 Questions and Answers Pdf Mathematics Form 4 Quiz Mathematics Form 4 Revision Notes Mathematics Form 4 Schemes of Work Mathematics Form 4 Summary Notes Mathematics Form 4 Syllabus Mathematics Form 4 Textbook Pdf Mathematics Form 4 Work Mathematics Form 5 Chapter 1 Exercise and Answers Mathematics Form 5 Chapter 1 Notes Pdf Mathematics Form 5 Chapter 2 Notes Pdf Mathematics Form 5 Chapter 2 Slideshare Mathematics Form 5 Chapter 3 Notes Pdf Mathematics Form 5 Notes Pdf Mathematics Form Four Book Mathematics Form Four Notes Mathematics Form Four Notes and Questions Mathematics Form Four Notes GCSE Mathematics Form Four Notes Pdf Mathematics Form Four Past Papers Mathematics Form Four Questions Mathematics Form Four Questions and Answers Mathematics Form Four Questions and Answers Pdf Mathematics Form Four Quiz Mathematics Form Four Study Notes Mathematics Form Four Syllabus Mathematics Form Four Topic 2 Mathematics Form Four Topic 4 Mathematics Form Four Topics Mathematics Form Four Work Mathematics Form One Mathematics Form One Book Mathematics Form One Book Pdf Mathematics Form One Download Topic 1 Upto 3 Mathematics Form One Exam Mathematics Form One Notes Mathematics Form One Notes and Questions Mathematics Form One Notes GCSE Mathematics Form One Notes Pdf Mathematics Form One Pdf Mathematics Form One Questions Mathematics Form One Questions and Answers Mathematics Form One Questions and Answers Pdf Mathematics Form One Questions and Their Answers Mathematics Form One Quiz Mathematics Form One Revision Question Mathematics Form One Schemes of Work Mathematics Form One Study Notes Mathematics Form One Syllabus Mathematics Form One Term Three Test Mathematics Form One to Three Notes Mathematics Form One Work Mathematics Form Three Mathematics Form Three Book Mathematics Form Three Notes Mathematics Form Three Notes and Questions Mathematics Form Three Notes GCSE Mathematics Form Three Questions and Answers Mathematics Form Three Questions and Answers Pdf Mathematics Form Three Quiz Mathematics Form Three Reproduction Mathematics Form Three Reproduction. Mathematics Form Three Study Notes Mathematics Form Three Work Mathematics Form Three-questions and Answers Mathematics Form Two Mathematics Form Two Book Mathematics Form Two Diagrams Mathematics Form Two Notes Mathematics Form Two Notes and Questions Mathematics Form Two Notes GCSE Mathematics Form Two Notes Pdf Mathematics Form Two Notes-pdf Mathematics Form Two Pdf Mathematics Form Two Questions Mathematics Form Two Questions and Answers Mathematics Form Two Questions and Answers Pdf Mathematics Form Two Quiz Mathematics Form Two Study Notes Mathematics Form Two Topics Mathematics Form Two Work Mathematics Form Two,schemes of Work Mathematics Form2 Mathematics Form2 Textbook Mathematics Game Form Four Question End Answers Mathematics Grade 10 Exam Papers Mathematics Hsc Pdf Mathematics Human Reproduction Video Mathematics IGCSE Past Papers Xtremepapers Mathematics K.c.s.e 2017 Mathematics KCSE Mathematics KCSE 2016 Mathematics KCSE 2017 Mathematics KCSE 2017 Paper 1 Mathematics KCSE Past Papers Mathematics KCSE Questions Mathematics KCSE Questions and Answer Mathematics KCSE Quizzes & Answers Mathematics KCSE Revision Mathematics KCSE Revision Notes Mathematics KCSE Setting Questions Form One and Two Mathematics Ksce 2015 Mathematics Last Year K.c.s.e Questions Mathematics Lesson Plan Form Two Mathematics Made Familiar Mathematics Mcq for Class 11 Mathematics Mcq for Class 12 Mathematics Mcq for Competitive Exams Mathematics Mcq for Competitive Exams Pdf Mathematics Mcq for Neet Pdf Mathematics Mcq for Ssc Mathematics Mcq Questions With Answers Mathematics Mcq With Answers Pdf Mathematics Mcqs for Class 12 Pdf Mathematics Mcqs With Answers Pdf Mathematics Mid Familia Form One Mathematics Mock Papers Mathematics Module Form 5 Mathematics Multiple Choice Questions and Answers Cxc Mathematics Multiple Choice Questions and Answers Pdf Mathematics Multiple Choice Questions With Answers Pdf Mathematics Note Mathematics Note Form Two All Chapters Mathematics Notes Mathematics Notes and Guestion and Answear Mathematics Notes and Syllabus Mathematics Notes Class 10 Mathematics Notes for Class 11 Pdf Mathematics Notes for Class 12 Pdf Mathematics Notes for High School Students Mathematics Notes for IGCSE 2014 Mathematics Notes Form 1 Mathematics Notes Form 1 4 Mathematics Notes Form 1 Free Download Mathematics Notes Form 1 KLB Mathematics Notes Form 1 Pdf Mathematics Notes Form 1-4 Mathematics Notes Form 1-4(1) Mathematics Mathematics Notes Form 14 Mathematics Notes Form 2 Mathematics Notes Form 2 KLB Mathematics Notes Form 2 Pdf Mathematics Notes Form 2; Mathematics Notes Mathematics Notes Form 3 Mathematics Notes Form 3 KLB Mathematics Notes Form 3 Pdf Mathematics Notes Form 4 Mathematics Notes Form 4 Chapter 2 Mathematics Notes Form 4 KLB Mathematics Notes Form 4 Pdf Mathematics Notes Form 4-pdf Mathematics Notes Form Four Mathematics Notes Form Four KLB Mathematics Notes Form Four Pdf Mathematics Notes Form One Mathematics Notes Form One KLB Mathematics Notes Form One Pdf Mathematics Notes Form One to Form Four Mathematics Notes Form Three Mathematics Notes Form Three KLB Mathematics Notes Form Three Pdf Mathematics Notes Form Two Mathematics Notes Form Two KLB Mathematics Notes Form Two Pdf Mathematics Notes Form2 Mathematics Notes IGCSE Mathematics Notes Kenya Mathematics Notes on Agroforestry Mathematics Notes Pdf Mathematics Notes: Mathematics Objective Answer Mathematics Objective Answer 2018 Mathematics Objective Questions for Competitive Exams Mathematics Objective Questions for Competitive Exams Pdf Mathematics Oral Exam Questions Mathematics Paper 1 Mathematics Paper 1 2018 Marking Rules Mathematics Paper 1 Notes Mathematics Paper 1 Questions Mathematics Paper 1 Questions and Answers Mathematics Paper 1 Topics Mathematics Paper 1 With Answers Mathematics Paper 2 Mathematics Paper 2 2017 Mathematics Paper 2 2018 Marking Rules Mathematics Paper 2 Questions and Answers Mathematics Paper 2 Questions and Answers Pdf Mathematics Paper 2 Revision Mathematics Paper 2 Topics Mathematics Paper 2018 Mathematics Paper 3 2018 Marking Rules Mathematics Paper 3 Question and Answer Mathematics Paper 3 Question Paper 2014 KCSE Mathematics Paper 3 Question Paper 2015 KCSE Mathematics Paper 3 Question Paper 2016 KCSE Mathematics Paper 3 Question Paper 2017 KCSE Mathematics Paper 3 Question Paper 2018 KCSE Mathematics Paper 3 Questions and Answers Mathematics Paper One Questions and Answers Mathematics Paper One Topics Mathematics Paper Two Qestions With Answers Mathematics Paper1 Mathematics Paper2 Mathematics Paper3 Mathematics Paper4 Mathematics Past Papers Mathematics Past Papers 2017 Mathematics Past Papers a Level Mathematics Past Papers Form 1 Mathematics Past Papers Form 2 Mathematics Past Papers Form 3 Mathematics Past Papers O Level Mathematics Pdf Download Mathematics Pp1 KCSE 2016 Mathematics Practical Book Class 12 Pdf Mathematics Practical Exam Mathematics Practicals Form One Mathematics Practicals Questions and Answers Mathematics Practice Test 9th Grade Mathematics Practice Test Answers Mathematics Practice Test Questions and Answers Mathematics Practice Test Quizlet Mathematics Predicted Questions This Year KCSE Mathematics Preparation Notes Mathematics Pretest High School Pdf Mathematics Question and Answer With Explanation Mathematics Question and Answers 2019 Mathematics Question and Answers 2021 Mathematics Question and Answers 2022 Mathematics Question and Answers 2023 Mathematics Question and Answers Note Mathematics Questions Mathematics Questions and Answers Mathematics Questions and Answers for High School Mathematics Questions and Answers for High Schools Mathematics Questions and Answers for High Schools Pdf Mathematics Questions and Answers for Secondary Schools Mathematics Questions and Answers Form 1 Mathematics Questions and Answers Form 2 Mathematics Questions and Answers Form 3 Mathematics Questions and Answers Form 4 Mathematics Questions and Answers Multiple Choice Mathematics Questions and Answers Notes Mathematics Questions and Answers O Mathematics Questions and Answers Online Mathematics Questions and Answers Pdf Mathematics Questions and Answers Pdf for Class 12 Mathematics Questions and Answers Pdf for Competitive Exams Mathematics Questions and Answers-form 2 Mathematics Questions for High School Mathematics Questions for High School Students With Answers Mathematics Questions for Senior 1 Mathematics Questions for Senior 2 Mathematics Questions for Senior 3 Mathematics Questions for Senior 4 Mathematics Questions for Senior 5 Mathematics Questions for Senior 6 Mathematics Questions for Senior Five Mathematics Questions for Senior Four Mathematics Questions for Senior One Mathematics Questions for Senior Six Mathematics Questions for Senior Three Mathematics Questions for Senior Two Mathematics Questions Form One Mathematics Questions Multiple Choice Mathematics Questions Quizlet Mathematics Questions to Ask Your Teacher Mathematics Quetion and Answer Form Four Mathematics Quetion and Answer Form One Mathematics Quetion and Answer Form Three Mathematics Quetion and Answer Form Two Mathematics Quiz for Class 9 Mathematics Quiz for Class 9 Mathematics Mathematics Quiz Questions and Answers for Class 10 Mathematics Quiz Questions and Answers for Class 10 Pdf Mathematics Quiz Questions and Answers for Class 12 Mathematics Quiz Questions and Answers for Class 9 Mathematics Quiz Questions and Answers for Class 9 Pdf Mathematics Quiz Questions and Answers for High School Mathematics Quiz Questions and Answers Multiple Choice Mathematics Quiz Questions and Answers Pdf Mathematics Quiz Questions for Class 12 Mathematics Quiz Questions for College Students Mathematics Quiz With Answers Mathematics Quiz With Answers Pdf Mathematics Quizlet Mathematics Revision Mathematics Revision a Level Mathematics Revision Mathematics Notes Mathematics Mathematics Revision Exam Mathematics Revision Examination Mathematics Revision Form One Mathematics Revision Notes Mathematics Revision Notes Mathematics Mathematics Revision Notes Form 1 Mathematics Revision Notes Form 2 Mathematics Revision Notes Form 3 Mathematics Revision Notes Form 4 Mathematics Revision Notes IGCSE Mathematics Revision Paper One Mathematics Revision Questions Mathematics Revision Questions and Answers Mathematics Revision Questions and Answers Form 1 Mathematics Revision Questions and Answers Form 2 Mathematics Revision Questions and Answers Form 3 Mathematics Revision Questions and Answers Form 4 Mathematics Revision Questions and Answers Form Four Mathematics Revision Questions and Answers Form One Mathematics Revision Questions and Answers Form Three Mathematics Revision Questions and Answers Form Two Mathematics Revision Questions Form 1 Mathematics Revision Questions Form 2 Mathematics Revision Questions Form 3 Mathematics Revision Questions Form 4 Mathematics Revision Questions Form Four Mathematics Revision Questions Form One Mathematics Revision Questions Form Three Mathematics Revision Questions Form Two Mathematics Revision Quiz Mathematics Revision Test Mathematics Secondary School Revision Mathematics Simple Notes Mathematics Spm Notes Download Mathematics Spm Notes Pdf Mathematics Spm Questions Mathematics Study Form 2 Mathematics Study Guide Mathematics Study Guide Answer Key Mathematics Study Guide Answers Mathematics Study Guide Mathematics Questions and Answers Mathematics Study Guide Ib Mathematics Study Guide Pdf Mathematics Study Guides Mathematics Study Notes Mathematics Study Notes Materials Form 1 Pdf Mathematics Study Notes Materials Form 2 3 Pdf Mathematics Study Notes Materials Form 2 Pdf Mathematics Study Notes Materials Form 3 Pdf Mathematics Study Notes Materials Form 4 Pdf Mathematics Syllabus in Kenya Mathematics Syllabus Pdf Mathematics Test 1 Quizlet Mathematics Test Questions Mathematics Test Questions and Answers Mathematics Test Questions and Answers Pdf Mathematics Topic One Form Four Mathematics Topics Form One Mathematics Unit 1 Quiz Mathematics Vol 3 Mathematics | Revision Mathematics Mathematics,form 4 Mathematics.form Four.topic Three MathematicsExam Form Three MathematicsModule Form 5 MathematicsNotes MathematicsNotes for Class 11 Pdf MathematicsNotes for Class 12 Pdf MathematicsNotes Form 1 MathematicsNotes Form 1 Free Download MathematicsNotes Form 2 MathematicsNotes Form 3 MathematicsNotes Form 3 Pdf MathematicsNotes IGCSE MathematicsNotes Pdf MathematicsPast Papers MathematicsQuestions and Answers Pdf MathematicsSimple Notes MathematicsSpm Notes Download MathematicsSpm Notes Pdf MathematicsSpm Questions MathematicsStudy Guide Answers MathematicsStudy Guide Pdf MathematicsStudy Guides Blologytextpapers Bridge Mathematics Business Past KCSE Past Papers Mathematics Form 3 Notes Pdf Mathematics Form 4 Notes Pdf C R E Form One KLB C R E Form One Oli Topic C.r.e Form 1 Notes Kenya C.r.e Form 2 Notes Kenya C.r.e Form 3 Notes C.r.e Form 3 Notes Kenya C.r.e Form 3 Pdf C.r.e Form 4 Notes Kenya C.r.e Form One Notes Pdf C.r.e Notes Form 1 C.r.e Revision Notes C.r.e Short Notes Cambridge IGCSE Mathematics Cambridge IGCSE Mathematics 3rd Edition Cambridge IGCSE Mathematics 3rd Edition Plus Cd South Asia Edition Cambridge IGCSE Mathematics Answers Cambridge IGCSE Mathematics Coursebook Pdf Download Cambridge IGCSE Mathematics Practical Workbook Cambridge IGCSE Mathematics Revision Guide Pdf Cambridge IGCSE Mathematics Study and Revision Guide 2nd Edition Pdf Cambridge IGCSE Mathematics Study and Revision Guide Pdf Cambridge IGCSE Mathematics Workbook Free Download Cambridge IGCSE Mathematics Workbook Pdf Cambridge IGCSE® Mathematics Coursebook Caucasian Chalk Circle Essay Questions Chapter 1 Introduction to Mathematics Chapter 1 Introduction to Mathematics Studies Cie a Level Mathematics Notes 2016 Cie a Level Mathematics Notes Pdf Cie Past Papers Class 10 Mathematics Chapter 1 Mcqs Class 8 Mathematics Notes KCSE-kcse College Mathematics Notes College Mathematics Practice Test College Mathematics Quiz College Mathematics Quiz Chapter 1 College Mathematics Quizlet College Mathematics Study Guide College Mathematics Study Guide Pdf College Mathematics Test Questions and Answers College Mathematics Volume 3 Pdf College MathematicsNotes Complete Mathematics for Cambridge IGCSE Complete Mathematics for Cambridge IGCSE Revision Guide Pdf County Mocks 2017 Cse Past Papers Mathematics 2017 Dl Mathematics Form 3 Pdf Kusoma Download Mathematics Form 1 Download Mathematics Form 2 Download Mathematics Form 2 Notes Download Mathematics Form 3 Download Mathematics Form 3 Notes Download Mathematics Form 4 Download Mathematics Form Four Download Mathematics Form One Download Mathematics Form Three Download Mathematics Form Two Download Mathematics Notes Form 3 Download Mathematics Notes Form One Download MathematicsNotes Form 3 Download Form Three Mathematics Notes Download Free KCSE Past Papers Mathematics Download Free KCSE Past Papers From KNEC. Download KCSE Past Papers With Answers Download KCSE Revision Notes Download KLB Mathematics Book 2 Download KLB Mathematics Book 3 Download KLB Mathematics Book 4 Download Notes of Mathematics Downloads | Mathematics | Form Four Exams | Exams Downloads | Mathematics | Form One Exams | Exams Downloads | Mathematics | Form Three Exams | Exams Downloads | Mathematics | Form Two Exams | Exams Downloads | KCSE Papers and Marking Schemes | Dvance KCSE Past Papers Easy Mathematics Questions Edexcel a Level Mathematics B Edexcel a Level Mathematics Notes Pdf Edexcel a Level Mathematics Salters Nuffield Edexcel A2 Mathematics Notes Edexcel as Mathematics Revision Guide Pdf Edexcel Mathematics A2 Revision Notes Pdf Edexcel Mathematics Unit 2 Revision Notes Edexcel GCSE Mathematics Revision Guide Pdf Edexcel IGCSE Mathematics Past Papers Edexcel IGCSE Mathematics Revision Guide Free Pdf Download Edexcel IGCSE Mathematics Revision Guide Pdf Edexcel IGCSE Mathematics Revision Guide Pdf Download Electronics Form Four Notes Energy Questions Mathematics Bowl Essay Questions and Answers KCSE Mathematics Notes Essay Questions and Answers on Betrayal in the City Essay Questions Based on Betrayal in the City Evolving World Mathematics Book 1 Pdf Evolving World Mathematics Book 4 Notes Evolving World Mathematics Book Form 1 Evolving World-history Book 3 Exam Notes for Mathematics 101 Exams KCSE Mathematics Paper 1 Questions and Answers F3 Mathematics Test Paper Find Download KCSE Past Papers With Answers Find KCSE Mathematics Essay Questions and Answers Form 1 Mathematics Exam Form 1 Mathematics Notes Form 1 Mathematics Questions and Answers Form 1 Mathematics Questions and Answers Pdf Form 1 Mathematics Revision Notes Form 1 Mathematics Summurized Revision Pdf Form 1 Mathematics Syllabus Form 1 Mathematics Test Paper Pdf Form 1 Mathematics Topics Form 1 MathematicsNotes Form 1 MathematicsQuestions and Answers Form 1 MathematicsRevision Notes Form 1 MathematicsSyllabus Form 1 MathematicsTest Paper Pdf Form 1 Past Papers Form 1 Past Papers With Answers Form 1 Revision Papers Form 1 Subjects in Kenya Form 2 Mathematics Exam Form 2 Mathematics Exam Paper Form 2 Mathematics Exam Paper 2016 Form 2 Mathematics Exam Paper Free Download Form 2 Mathematics Exam Paper With Answer Form 2 Mathematics Final Year Exam Paper 2 Form 2 Mathematics Notes Form 2 Mathematics Notes and Revision Questions Form 2 Mathematics Notes Pdf Form 2 Mathematics Past Papers Form 2 Mathematics Questions Form 2 Mathematics Questions and Answers Form 2 Mathematics Questions and Answers > Form 2 Mathematics Questions and Answers Pdf Form 2 Mathematics Revision Notes Form 2 Mathematics Short Notes Form 2 Mathematics Syllabus Form 2 MathematicsExam Paper Form 2 MathematicsExam Paper Free Download Form 2 MathematicsExam Paper With Answer Form 2 MathematicsFinal Year Exam Paper 2 Form 2 MathematicsPast Papers Form 2 MathematicsRevision Notes Form 2 MathematicsShort Notes Form 2 MathematicsSyllabus Form 2 Revision Papers Form 2 Subjects in Kenya Form 3 Mathematics Book Form 3 Mathematics Exam Form 3 Mathematics Exam Paper Form 3 Mathematics Notes Form 3 Mathematics Past Papers Form 3 Mathematics Questions Form 3 Mathematics Questions and Answers Form 3 Mathematics Questions and Answers Pdf Form 3 Mathematics Revision Notes Form 3 Mathematics Syllabus Form 3 MathematicsExam Paper Form 3 MathematicsNotes Form 3 MathematicsPast Papers Form 3 MathematicsQuestions Form 3 MathematicsQuestions and Answers Pdf Form 3 MathematicsRevision Notes Form 3 MathematicsSyllabus Form 3 C.r.e Form 3 Notes of Mathematics Topic on Fish Form 3 Past Papers Form 3 Revision Papers Form 3 Subjects in Kenya Form 4 Mathematics Exam Form 4 Mathematics Notes Form 4 Mathematics Notes Pdf Form 4 Mathematics Questions and Answers Form 4 Mathematics Questions and Answers Pdf Form 4 Mathematics Revision Notes Form 4 Mathematics Syllabus Form 4 Mathematics Topics Form 4 MathematicsNotes Form 4 MathematicsRevision Notes Form 4 MathematicsSyllabus Form 4 MathematicsTopics Form 4 Exam Papers Form 4 Revision Papers Form 4 Subjects in Kenya Form 5 Mathematics Topics Form 5 MathematicsTopics Form Five Mathematics Notes Form Five MathematicsNotes Form Four Mathematics Book Form Four Mathematics Notes Form Four Mathematics Notes Pdf Form Four Mathematics Questions and Answers Form Four Mathematics Questions and Answers Pdf Form Four Mathematics Revision Questions Form Four Mathematics Syllabus Form Four Mathematics Topics Form Four MathematicsNotes Form Four MathematicsQuestions and Answers Form Four MathematicsQuestions and Answers Pdf Form Four MathematicsTopics Form Four Notes Form Four Revision Papers Form Four Subjects in Kenya Form One Mathematics Book Form One Mathematics Examination Form One Mathematics First Topic Form One Mathematics Lesson Plan Form One Mathematics Notes Pdf Form One Mathematics Past Papers Pdf Form One Mathematics Questions Form One Mathematics Questions and Answers Form One Mathematics Questions and Answers Pdf Form One Mathematics Revision Questions Form One Mathematics Short Notes Form One Mathematics Syllabus Form One Mathematics Topics Form One MathematicsExamination Form One MathematicsPast Papers Pdf Form One MathematicsQuestions and Answers Form One MathematicsQuestions and Answers Pdf Form One MathematicsTopics Form One Exams Form One Notes of Mathematics Form One Past Papers Form One Subjects in Kenya Form One Term One Mathematics Exam Form One Term One MathematicsExam Form Three Mathematics Book Form Three Mathematics Book Pdf Form Three Mathematics Notes Form Three Mathematics Notes Pdf Form Three Mathematics Questions and Answers Form Three Mathematics Questions and Answers Pdf Form Three Mathematics Revision Questions Form Three Mathematics Syllabus Form Three Mathematics Topics Form Three MathematicsNotes Form Three MathematicsNotes Pdf Form Three MathematicsQuestions and Answers Form Three MathematicsQuestions and Answers Pdf Form Three MathematicsTopics Form Three Subjects in Kenya Form Two Mathematics Book Form Two Mathematics Cat Form Two Mathematics Examination Form Two Mathematics Notes Form Two Mathematics Notes Pdf Form Two Mathematics Past Papers Form Two Mathematics Questions and Answers Form Two Mathematics Questions and Answers Pdf Form Two Mathematics Revision Questions Form Two Mathematics Syllabus Form Two Mathematics Topics Form Two MathematicsNotes Form Two MathematicsNotes Pdf Form Two MathematicsQuestions and Answers Form Two MathematicsQuestions and Answers Pdf Form Two MathematicsSyllabus Form Two MathematicsTopics Form Two Notes Form Two Subjects in Kenya Free a-level Mathematics Revision App | Pass Your Mathematics Exams Free Mathematics Form 1 Notes Free Mathematics Notes Form 1 Free Mathematics Notes Pdf Free MathematicsNotes Pdf Free College Mathematics Practice Test Free Form1,form2,form3 Past Papers Free KCSE Past Papers Free KCSE Mocks 2015 Free KCSE Past Papers 2014 Free KCSE Past Papers KCSE Past Free KCSE Past Papers Kenya, Free KCSE Past Papers With Answers Free KCSE Questions and Answers on Mathematics Free KCSE Revision Notes Free Marking Schemes Free Mocks Online KCSE Answers Past Exams Question Papers Free Revision Papers From Three Notes Topic One KLB Fun Mathematics Questions Funny Mathematics Questions Funny Mathematics Questions and Answers Funny Mathematics Questions to Ask Funny Mathematics Quotes GCSE Mathematics Exam Questions and Answers GCSE Mathematics Past Papers GCSE Mathematics Revision GCSE Mathematics Revision Notes GCSE Mathematics Revision Notes Pdf GCSE Mathematics Revision Notes Pdf 9-1 GCSE Mathematics Revision Questions and Answers GCSE Mathematics Textbook Pdf GCSE Mathematics Topics Pass My Exams: Easy Exam Revision Notes Home Mathematics Notes Pdf Home Mathematics Practice Test With Answers Home Mathematics Quiz Home Mathematics Quiz Pdf Home Mathematics Test Questions and Answers Home Mathematics Test Questions and Answers Pdf Home Knowledge in Mathematics Human Body Good Mathematics Questions to Ask GRE Mathematics Practice Test GRE Mathematics Subject Test Pdf Handbook of Mathematics Pdf Free Download Hard Mathematics Questions Hard Mathematics Questions and Answers Hard Mathematics Questions to Ask Your Teacher Hard Mathematics Quiz Questions Hard Form 3 Mathematics Question High School Mathematics Final Exam Doc High School Mathematics Final Exam Pdf High School Mathematics Final Exam Questions High School Mathematics Final Exam Questions and Answers High School Mathematics Notes High School Mathematics Practice Test High School Mathematics Pretest With Answers High School Mathematics Questions and Answers Pdf High School Mathematics Study Guide High School Mathematics Test Questions and Answers Pdf High School MathematicsNotes High School MathematicsStudy Guide How to Answer KCSE Mathematics Question How to Motivate a Form 4 Student How to Motivate a KCSE Candidate How to Motivate a KCSE Student How to Pass Mathematics Questions & Answers Form 1&2 | Text Book How to Revise Mathematics How to Revise Effectively for KCSE How to Study Mathematics: 5 Study Techniques to Master Mathematics Hsc Mathematics 2018 Hsc Mathematics 2019 Https://www.knec.ac.ke/ Www.knec-portal.ac.ke/ KNEC Portal: Ial Mathematics Notes Ib Mathematics Cold War Notes Ib Mathematics Notes Ib Mathematics Notes Pdf Ib Mathematics of the Americas Notes Ib Mathematics of the Americas Study Guide Ib Mathematics Paper 2 Study Guide Ib Mathematics Question Bank by Topic Ib Mathematics Study Guide Pdf Ict Notes Form 1 IGCSE Mathematics Alternative to Practical Revision IGCSE Mathematics Alternative to Practical Revision Notes IGCSE Mathematics Book IGCSE Mathematics Book Pdf Download IGCSE Mathematics Notes IGCSE Mathematics Notes 2017 Pdf IGCSE Mathematics Notes Edexcel IGCSE Mathematics Paper 2 Notes IGCSE Mathematics Paper 6 Notes IGCSE Mathematics Past Papers IGCSE Mathematics Past Papers 2014 IGCSE Mathematics Past Papers 2017 IGCSE Mathematics Pdf IGCSE Mathematics Pre Release Material 2018 IGCSE Mathematics Resources IGCSE Mathematics Revision Guide IGCSE Mathematics Revision Guide Free Download IGCSE Mathematics Revision Guide Pdf Download IGCSE Mathematics Revision Notes Pdf IGCSE Mathematics Revision Worksheets IGCSE Mathematics Workbook Pdf IGCSE Mathematics Znotes IGCSE MathematicsPast Papers IGCSE Notes Mathematics Importance of Agroforestry Inorganic Mathematics Multiple Choice Questions With Answers Pdf Inorganic Mathematics Questions and Answers Pdf Interesting Mathematics Questions Interesting Mathematics Questions and Answers Interesting Questions to Ask About Mathematics Intro to Mathematics Quiz Introduction of Mathematics Form One Introduction to Mathematics Introduction to Mathematics Notes Introduction to Mathematics Pdf Introduction to MathematicsNotes Is Agroforestry Sustainable? K.c.s.e Answers Mathematics Paper One 2018 K.c.s.e Mathematics 2017 K.c.s.e Mathematics 2018 K.c.s.e Mathematics Paper 1 2017 K.c.s.e Mocks 2018 K.c.s.e Papers 2015 K.c.s.e Papers 2016 K.c.s.e Past Papers 2014 K.c.s.e.Mathematics Paper 2 Year 2018 K.c.s.e.results 2018 for Busia County K.l.b Mathematics Form 3 K.l.b Mathematics Notes K.l.b MathematicsNotes Kasneb Past Papers for Colleges Mathematics Past Papers KCSE 2010 Marking Scheme KCSE 2010 Past Papers KCSE 2011 Mathematics Paper 1 KCSE 2011 Marking Scheme KCSE 2012 Mathematics Paper 2 Marking Scheme KCSE 2012 Marking Schemes KCSE 2013 Mathematics Paper 1 KCSE 2013 Marking Scheme KCSE 2013 Marking Scheme Pdf KCSE 2014 KCSE 2015 Mathematics Paper 2 KCSE 2015 Mathematics Paper 3 KCSE 2015 Marking Scheme KCSE 2015 Past Papers KCSE 2016 Mathematics Paper 1 KCSE 2016 Mathematics Paper 2 KCSE 2017 Mathematics Paper 1 KCSE 2017 Mathematics Paper 2 KCSE 2017 Hostory Papers With Answers.com KCSE 2017 Marking Scheme KCSE 2017 Papers KCSE 2017 Papers and Marking Scheme KCSE 2017 Papers Pdf KCSE 2017 Past Papers KCSE 2017 Prediction Pdf KCSE 2018 Mathematics and Answers KCSE 2018 Mathematics Prediction KCSE 2018 Leakage KCSE 2018 Marking Scheme KCSE 2018 Papers KCSE 2018 Prediction Pdf KCSE 2018 Predictions KCSE 2018 Questions KCSE 2018 Questions and Answers KCSE 2019 Leakage Mathematics KCSE 2019 Marking Scheme KCSE 2019 Questions KCSE 2019 Questions and Answers KCSE 2021 Questions KCSE 2021 Questions and Answers KCSE Answers KCSE Answers Past Exams Question Papers Downloads | KCSE Mathematics 2011 KCSE Mathematics 2016 KCSE Mathematics Diagramsbiology Revision Tips KCSE Mathematics Essay Questions and Answers KCSE Mathematics Essay Questions and Answers Pdf KCSE Mathematics Essays KCSE Mathematics Essays Pdf KCSE Mathematics Marking Schemes KCSE Mathematics Notes KCSE Mathematics Notes Pdf KCSE Mathematics Notes, Syllabus, Questions, Answers KCSE Mathematics Paper 1 KCSE Mathematics Paper 1 2011 KCSE Mathematics Paper 1 2012 KCSE Mathematics Paper 1 2013 KCSE Mathematics Paper 1 2015 KCSE Mathematics Paper 1 2016 KCSE Mathematics Paper 1 2017 KCSE Mathematics Paper 1 2017 Pdf KCSE Mathematics Paper 1 Questions and Answers KCSE Mathematics Paper 2 KCSE Mathematics Paper 2 2012 KCSE Mathematics Paper 2 2012 KCSE Mathematics Paper 2 2015 KCSE Mathematics Paper 2 2013 KCSE Mathematics Paper 2 2014 KCSE Mathematics Paper 2 2015 KCSE Mathematics Paper 2 2016 KCSE Mathematics Paper 2 2017 KCSE Mathematics Paper 3 KCSE Mathematics Paper 3 2012 KCSE Mathematics Paper 3 2016 KCSE Mathematics Paper 3 2017 KCSE Mathematics Paper 3 Past Papers KCSE Mathematics Past Papers KCSE Mathematics Past Papers and Answers KCSE Mathematics Past Papers Pdf KCSE Mathematics Practical KCSE Mathematics Practical 2015 KCSE Mathematics Practical 2016 KCSE Mathematics Practical Past Papers KCSE Mathematics Practicals KCSE Mathematics Practicals KCSE Mathematics Paper 1 KCSE Mathematics Question and Answer KCSE Mathematics Questions and Answers KCSE Mathematics Questions and Answers Ap Mathematics KCSE Mathematics Revision KCSE Mathematics Revision Notes KCSE Mathematics Revision Papers KCSE Mathematics Revision Questions KCSE Mathematics Revision Questions and Answers KCSE Mathematics Syllabus KCSE MathematicsNotes KCSE MathematicsPaper 1 KCSE MathematicsPaper 2 KCSE MathematicsPaper 2 Pdf KCSE MathematicsSyllabus KCSE Business Paper 1 2016 KCSE Business Past Papers KCSE Mathematics Past Papers KCSE Essay Questions in Betrayal in the City KCSE Essays KCSE Exam Papers 2018 KCSE Exam Papers Answers KCSE Form 1 Mathematics Revision KCSE Form 2 Mathematics Revision KCSE Form 3 Mathematics Revision KCSE Form 4 Mathematics Revision KCSE Form Four Mathematics Revision KCSE Form One Mathematics Revision KCSE Form Three Mathematics Revision KCSE Form Two Mathematics Revision KCSE KCSE Past Papers KNEC KCSE Leakage KCSE Leakage Mathematics KCSE Made Familiar Mathematics KCSE Made Familiar Mathematics Pdf KCSE Marking Scheme 2016 KCSE Marking Schemes KCSE Marking Schemes 2017 KCSE Marking Schemes Pdf KCSE Mock Exams KCSE Mock Papers 2015 KCSE Mock Papers 2017 KCSE Mock Papers 2018 KCSE Mock Papers Pdf KCSE Mock Papers Pdf 2018 KCSE Mock Papers Pdf KCSE Past Papers KCSE Mocks 2017 KCSE Mocks 2018 KCSE Notes KCSE Online Notes KCSE Online Past Papers KCSE Online Registration KCSE Papers 2015 KCSE Papers and Marking Schemes | Exams KCSE Past Papers KCSE Past Papers 2007 KCSE Past Papers 2009 KCSE Past Papers 2010 KCSE Past Papers 2011 KCSE Past Papers 2011 Pdf KCSE Past Papers 2012 KCSE Past Papers 2013 KCSE Past Papers 2013knec KCSE Past Papers 2014 KCSE Past Papers 2014 Pdf KCSE Past Papers 2015 KCSE Past Papers 2015 Marking Schemes KCSE Past Papers 2015 Pdf KCSE Past Papers 2016 KCSE Past Papers 2016 Pdf KCSE Past Papers 2017 KCSE Past Papers 2017 Pdf KCSE Past Papers 2018 KCSE Past Papers Mathematics KCSE Past Papers Mathematics and Answers KCSE Past Papers Mathematics Pdf KCSE Past Papers Mathematics With Answers KCSE Past Papers Mathematicsand Answers KCSE Past Papers Mathematics and Answers KCSE Past Papers KCSE and Answers KCSE Past Papers KCSE and Answers Free Mocks Online KCSE Past Papers Marking Scheme KCSE Past Papers Pdf Download KCSE Past Papers Pdf Download KCSE 2013 KCSE Past Papers With Answers KCSE Past Papers Woodwork and Answers KCSE Prediction 2017 KCSE Prediction 2018 KCSE Prediction 2018 Pdf KCSE Prediction Papers 2018 KCSE Prediction Questions KCSE Prediction Questions 2018 KCSE Prediction Questions and Answers KCSE Questions KCSE Questions and Answers KCSE Questions and Answers. KCSE Questions on Mathematics KCSE Results, Online Registration, KCSE Result Slip. KCSE Revision KCSE Revision Notes KCSE Revision Notes Mathematics KCSE Revision Notes Pdf KCSE Revision Papers KCSE Revision Papers 2014 KCSE Revision Papers With Answers KCSE Revision Question for Mathematics KCSE Revision Questions KCSE Revision Questions and Answers KCSE Revision | Secondary School | Text Books | Text Book Centre KCSE Syllabus Pdf KCSE Trial 2017 KCSE Trial Exams 2017 Kenya Secondary School Mathematics Syllabus Kenya Secondary School Mathematics Syllabus Pdf Kenya Secondary School MathematicsSyllabus Pdf Kenya Secondary School Syllabus Pdf Kenya-kcse-christian Religious Education Syllabus Kenyaplex KCSE Past Papers Kenyaplex Past Papers for Secondary KLB Mathematics Book 1 Download KLB Mathematics Book 1 Notes KLB Mathematics Book 1 Pdf KLB Mathematics Book 2 KLB Mathematics Book 2 Notes KLB Mathematics Book 2 Notes Pdf KLB Mathematics Book 2 Pdf KLB Mathematics Book 3 Notes KLB Mathematics Book 3 Pdf KLB Mathematics Book 3 Pdf Download KLB Mathematics Book 4 Notes KLB Mathematics Book 4 Pdf KLB Mathematics Book 4 Pdf Download KLB Mathematics Book 4 Topics KLB Mathematics Book One KLB Mathematics Form 1 KLB Mathematics Form 1 Notes KLB Mathematics Form 1 Pdf KLB Mathematics Form 2 KLB Mathematics Form 2 Book KLB Mathematics Form 2 Notes KLB Mathematics Form 2 Pdf KLB Mathematics Form 2 Pdf Download KLB Mathematics Form 2 Schemes of Work KLB Mathematics Form 3 KLB Mathematics Form 3 Notes KLB Mathematics Form 3 Notes Pdf KLB Mathematics Form 3 Pdf KLB Mathematics Form 3 Pdf Download KLB Mathematics Form 4 KLB Mathematics Form 4 Notes KLB Mathematics Form 4 Pdf KLB Mathematics Form Four KLB Mathematics Form Four Notes KLB Mathematics Form One KLB Mathematics Form One Notes KLB Mathematics Form Three KLB Mathematics Form Three Notes KLB Mathematics Form Two KLB Mathematics Form Two Notes KLB Mathematics Notes KLB Mathematics Notes Form 4 KLB Mathematics Pdf KLB MathematicsNotes KLB MathematicsNotes Form 4 KLB MathematicsPdf KNEC Mathematics Syllabus KNEC Examiners Portal KNEC Website KNEC Ict Past Papers KNEC Past Papers for Colleges KNEC Past Papers Free Download KNEC Past Papers Free Downloads KNEC Past Papers Pdf KNEC Portal Confirmation KNEC Portal KCSE Results KNEC Portal KNEC Past Papers for Colleges Kasneb Past Papers KNEC Revision Papers KNEC Technical Exams Past Papers Kusoma Mathematics Notes Kusoma Mathematics Notes Pdf Kusoma Notes Mathematics Kusoma.co.ke Kusoma.com Past Papers Learner Guide for Cambridge IGCSE Mathematics Longhorn Mathematics Book 3 Pdf Made Familiar Mathematics Made Familiar Mathematics Pdf Made Familiar Mathematics Questions Maktaba Tetea Notes Marking Scheme KCSE Mathematics Past Papers Math Form2 Note Mcqs About Gaseous Exchange Middle School Mathematics Bowl Mathematics Questions Mock Past Papers 2017 Mock Past Papers With Answers Mokasa Mock 2017 More Than 1800 Mathematics Questions and Answers to Help You Study Multiple Choice Questions on Mathematics Necta Mathematics Past Papers Necta Mathematics Practicals Necta MathematicsPast Papers Necta MathematicsPracticals Necta Form Four Past Papers Necta Past Papers Form 4 Necta Past Papers Form 4 2016 Necta Past Papers Form Six Necta Past Papers Form Two Necta Questions and Answers Necta Review Questions Notes Mathematics Form 1 Notes Mathematics Form 2 Notes Mathematics Form 3 Notes Mathematics Form 3 Notes Pdf Notes Mathematics Form 3 Syllabus Notes Mathematics Form 4 Syllabus Notes on Mathematics Studies Notes Za Mathematics 4m 2 Notes Za Mathematics Form One Notes Za Mathematics Form Three O Level Mathematics Practical Experiments O Level Mathematics Questions and Answers Pdf Orm Three Mathematics Notes Page Navigation Papacambridge Mathematics IGCSE Papers KNEC KCSE Online Past Papers KNEC KCSE Results Past Papers Past KCSE Papers Past Paper Questions by Topic Mathematics Past Papers 2014 Past Papers in Kenya Pdf Mathematics Form 3 Pdf Mathematics Notes Pdf Mathematics Notes Form 1 Pdf Mathematics Notes Form 2 Pdf Mathematics Notes Form 3 Pdf Mathematics Notes Form 4 Pdf Mathematics Notes Form Four Pdf Mathematics Notes Form One Pdf Mathematics Notes Form Three Pdf Mathematics Notes Form Two Pdf Form 1 Mathematics Questions and Answers Pdf Form 2 Mathematics Questions and Answers Pdf Form 3 Mathematics Questions and Answers Pdf Form 4 Mathematics Questions and Answers Pdf Form Four Mathematics Questions and Answers Pdf Form One Mathematics Questions and Answers Pdf Form Three Mathematics Questions and Answers Pdf Form Two Mathematics Questions and Answers Pdf Free KCSE Past Papers and Marking Schemes Pdf" Revision Questions Mathematics Form 1 Practical Mathematics Experiments Pdf Practical Mathematics Question and Answer Pdf Pre Mocks 2018 Preliminary Mathematics Primary and Secondary Tillage Implements Ppt Pte KNEC Past Papers Questions and Answers Pdf Mathematics Form 1 Questions and Answers Pdf Mathematics Form 2 Questions and Answers Pdf Mathematics Form 3 Questions and Answers Pdf Mathematics Form 4 Questions and Answers Pdf Mathematics Form Four Questions and Answers Pdf Mathematics Form One Questions and Answers Pdf Mathematics Form Three Questions and Answers Pdf Mathematics Form Two Questions Based to Introduction to Mathematics Questions on Gaseous Exchange in Humans Questions on Introduction to Mathematics Questions to Ask in Mathematics Class Questions to Confuse Your Mathematics Teacher Quizlet Mathematics Test Quizlet Test Questions Qustions in Mathematics and Answers Revision Revision Mathematics Notes and Questions? Revision Quiz for Mathematics for Form Three S.1 Mathematics Questions S.2 Mathematics Questions S.3 Mathematics Questions S.4 Mathematics Questions Sample Essays on Betrayal in the City School Mathematics Notes Secondary Mathematics Notes Secondary Mathematics Notes Pdf Secondary MathematicsNotes Pdf Senior 1 Mathematics Notes Senior 2 Mathematics Notes Senior 3 Mathematics Notes Senior 4 Mathematics Notes Senior 5 Mathematics Notes Senior 6 Mathematics Notes Senior Five Mathematics Notes Senior Four Mathematics Notes Senior One Mathematics Notes Senior Six Mathematics Notes Senior Three Mathematics Notes Senior Two Mathematics Notes Simple Scientific Questions Smart Questions to Ask a Mathematics Teacher Snab Mathematics Revision Notes Southwest Mock Paper 2 2016 Mathematics Only Spm Mathematics Revision Notes Spm Notes Success Mathematics Spm Pdf Success MathematicsSpm Pdf Summary of Mathematics Form 3 Tahossa Past Papers To Motivate a Form 4 KCSE Student To Motivate a Form 4 Student Topical Revision Material Tricky Mathematics Questions and Answers Tricky Mathematics Questions for Adults Tricky Mathematics Questions With Answers Tricky Mathematics Quiz Questions Two Mathematics Revision Questions University Mathematics Volume 3 Openstax University Mathematics Volume 3 Pdf University Mathematics Volume 4 Pdf Ur Revision Guide IGCSE Mathematics What Are the Types of Gametes Working of Excretory System Www.Mathematics Form One Notes.com Www.Mathematics From One KLB.com Www.form 1 Mathematics.com Www.form 2 Mathematics.com Www.form 3 Mathematics.com Www.form 4 Mathematics.com Www.form Four Mathematics.com Www.form One Mathematics.com Www.form Three Mathematics.com Www.form Two Mathematics.com Www.kusoma Notes Www.kusoma Revision Materials Www.kusoma.co.ke Mathematics Notes Xtremepapers IGCSE Mathematics Year 11 Mathematics Z Notes Mathematics IGCSE Znotes as Mathematics "Pdf" Revision Questions Maths Form 1 "Pdf" Revision Questions Maths Form 2 "Pdf" Revision Questions Maths Form 3 "Pdf" Revision Questions Maths Form 4 "Pdf" Revision Questions Maths Form Four "Pdf" Revision Questions Maths Form One "Pdf" Revision Questions Maths Form Three "Pdf" Revision Questions Maths Form Two 1 a a KCSE Past Papers 10th Grade Maths Questions and Answers 10th Grade Maths Test 11th Ncert Maths 12th Class Maths Book Free Download 2014 KCSE Marking Schemes 2014 Pdf KCSE Past Papers 2015 2015 Maths Essay Questions and Answers Form 4 2016 KCSE Papers 2016 KCSE Prediction Questions 2017 Maths Hsc Answers 2017 KCSE Prediction Questions 2018 Maths KCSE Leakage 2018 Maths KCSE Questions 2018 KCSE Busineness Studies 2018 KCSE Exam 2018 KCSE Leakage 2018 KCSE Prediction Questions 2018 KCSE Questions 2019 Maths KCSE Leakage 2019 Maths KCSE Questions 2019 KCSE Leakage 2019 KCSE Questions 9th Grade Maths Study Guide A a a Maths Notes a a a Maths Notes! a a a MathsNotes! A a KCSE Past Papers A Biblical View of Social Justice A Level Maths Biological Molecules Questions A Level Maths Exam Questions by Topic A Level Maths Notes Edexcel A Level Maths Notes Xtremepapers A Level Maths Past Papers A Level Maths Questions and Answers a Level Maths Questions and Answers A Level Maths Questions and Answers (Pdf) A Level Maths Questions and Answers Pdf A Level Maths Questions by Topic Kidney Questions With Markschemes A Level Maths Revision A Level Maths Revision Edexcel A Level Maths Revision Guide A Level Maths Revision Notes A Level Maths Revision Notes Pdf A Level Maths Textbook Pdf A Level Maths Year 1 / as Aqa Exam Questions by Topic A Level Edexcel Notes a* Maths aa Maths Form 3 Questions and Answers Advance KCSE Past Papers Advance-africa.com KCSE Rev Quiz Advantages and Disadvantages. All Maths Essays All Maths Notes for Senior Two All KCSE Past Papers Maths With Making Schemes All Marking Schemes Questions and Answers All Past K.c.s.e Questions With Answers Alliance Mocks 2017 Ap Bio Quizzes Ap Maths 1 Textbook Pdf Ap Maths Essay Questions and Answers Are Sourced From KNEC. As Level Maths Notes Atika Maths Notes Atika School Maths Notes B/s Book 2 Notes Basic Maths Books Pdf basic Maths Interview Questions and Answers Pdf Basic Maths Interview Questions and Answers Pdf Basic Maths Pdf Basic Maths Questions and Answers Basic Maths Questions and Answers Pdf Bbc Bitesize Maths Ks3 Bihar Board Maths Objective Answer 2017 Bihar Board Maths Objective Answer 2018 Bio Answers Bio Quesions Maths 0478 Maths 101 Maths 12th Maths 12th Class Notes Pdf Maths 2019 Syllabus Maths All KCSE Short Notes Maths Answers Maths Answers Online Free Maths Answers Quizlet Maths Bk 2 Notes Maths Book 1 Maths Book 1 Notes Maths Book 2 Maths Book 2 Notes Maths Book 3 Maths Book 3 KLB Maths Book 3 Notes Maths Book 4 Maths Book 4 Notes Maths Book 4 Pdf Maths Book for Class 11 Maths Book Four Maths Book Four Notes Maths Book One Maths Book One Notes Maths Book Pdf Free Download Maths Book Three Maths Book Three Notes Maths Book Three Pdf Maths Book Two Maths Book Two Notes Maths Books Form Three Maths Bowl Maths Study Guide Maths Bowl Questions Maths Maths Bowl Questions Earth Maths Maths Bowl Questions Math Maths Bowl Questions Middle School Maths Brekthrough Form Two Notes Maths Class 12 Ncert Solutions Maths Class 12 Pdf Maths Communication Syllabus Maths Diagram Software Maths Diagrams for Class 11 Maths Diagrams for Class 12 Maths Diagrams for Class 9 Maths Diagrams for Class-10 Maths Diagrams in Form 1 Maths Diagrams in Form 2 Maths Diagrams in Form 3 Maths Diagrams in Form 4 Maths Diagrams Pdf Maths Diagrams to Label Maths Essay Questions and Answers Maths Essay Questions and Answers 2018 Maths Essay Questions and Answers Form 1 Maths Essay Questions and Answers Form 2 Maths Essay Questions and Answers Form 3 Maths Essay Questions and Answers Form 4 Maths Essay Questions and Answers Form 4 Pdf Maths Essay Questions and Answers Pdf Maths Essay Revision Q Maths Essays and Answers Maths Essays Form One to Form Four Maths Essays Form One to Form Three Maths Essays KCSE Maths Essays Pdf Maths Exam 1 Multiple Choice Maths Exam 2 Advance Maths Exam 2 Test Maths Exam 2016 Maths Exam Form Four Maths Exam Form One Maths Exam Form Three Maths Exam Form Two Maths Exam Practice Test Maths Exam Questions Maths Exam Questions and Answers Maths Exam Questions and Answers Pdf Maths Exam Study Guide Maths Exams Maths Excretion Notes Maths Exercise Form 4 With Answers Maths Final Exam Answer Key Maths Final Exam Answer Key 2016 Maths Final Exam Answer Key 2017 Maths Final Exam Answers 2018 Maths Final Exam Answers 2019 Maths Final Exam Questions and Answers Maths Fom 1 Notes Maths Fom 2 Notes Maths Fom 3 Notes Maths Fom 4 Notes Maths Form 1 Maths Form 1 & 2 and Answers Maths Form 1 and 2 Essays Maths Form 1 and 2 Essays Questions and Answers Maths Form 1 Chapter 1 Maths Form 1 Diagrams Maths Form 1 Exams Maths Form 1 Mid Year Exam Maths Form 1 Notes Maths Form 1 Notes and Questions Maths Form 1 Notes Download Maths Form 1 Notes Free Download Maths Form 1 Notes GCSE Maths Form 1 Notes KCSE-kcse Maths Form 1 Notes Pdf Maths Form 1 Notes Pdf Download Maths Form 1 Past Papers Maths Form 1 Pdf Maths Form 1 Pressure Maths Form 1 Question Papers Maths Form 1 Questions Maths Form 1 Questions and Answers Maths Form 1 Questions and Answers Pdf Maths Form 1 Quiz Maths Form 1 Revision Questions Maths Form 1 Summary Notes Maths Form 1 Syllabus Maths Form 1 Work Maths Form 1-4 Notes Maths Form 2 Maths Form 2 Chapter 1 Maths Form 2 Chapter 2 Maths Form 2 Diagrams Maths Form 2 Exam Paper 2014 Maths Form 2 Exams Maths Form 2 Notes Maths Form 2 Notes and Questions Maths Form 2 Notes GCSE Maths Form 2 Notes KCSE-kcse Maths Form 2 Notes Pdf Maths Form 2 Notes Pdf Download Maths Form 2 Past Papers Maths Form 2 Pdf Maths Form 2 Question Papers Maths Form 2 Questions Maths Form 2 Questions and Answers Maths Form 2 Questions and Answers Pdf Maths Form 2 Quiz Maths Form 2 Revision Notes Maths Form 2 Salts Maths Form 2 Structure and Bonding Maths Form 2 Summary Notes Maths Form 2 Syllabus Maths Form 2 Work Maths Form 3 Maths Form 3 and 4 Essays Maths Form 3 and 4 Essays Questions and Answers Maths Form 3 Chapter 3 Maths Form 3 Classification Maths Form 3 Diagrams Maths Form 3 Ecology Maths Form 3 Exams Maths Form 3 Notes Maths Form 3 Notes and Questions Maths Form 3 Notes GCSE Maths Form 3 Notes KCSE-kcse Maths Form 3 Notes Pdf Maths Form 3 Notes Pdf Download Maths Form 3 Notes Topic 1 Maths Form 3 Past Papers Maths Form 3 Pdf Maths Form 3 Question Papers Maths Form 3 Questions Maths Form 3 Questions and Answers Maths Form 3 Questions and Answers Pdf Maths Form 3 Questions and Answers Term 3 Maths Form 3 Questions and Answers+pdf Maths Form 3 Quiz Maths Form 3 Revision Notes Maths Form 3 Revision Questions Maths Form 3 Summary Notes Maths Form 3 Syllabus Maths Form 3 Syllabus Pdf Maths Form 3 Topics Maths Form 3 Work Maths Form 4 Maths Form 4 All Chapter Maths Form 4 Chapter 1 Conversion of Units Maths Form 4 Chapter 1 Exercise Maths Form 4 Chapter 1 Exercise and Answers Maths Form 4 Chapter 1 Exercise Pdf Maths Form 4 Chapter 1 Mind Map Maths Form 4 Chapter 2 Maths Form 4 Chapter 2 Exercise and Answers Maths Form 4 Chapter 2 Exercise Pdf Maths Form 4 Chapter 2 Experiment Maths Form 4 Chapter 2 Formula Maths Form 4 Chapter 2 Mind Map Maths Form 4 Chapter 2 Momentum Maths Form 4 Chapter 2 Notes Pdf Maths Form 4 Chapter 2 Objective Questions and Answers Maths Form 4 Chapter 2 Paper 2 Maths Form 4 Chapter 2 Slideshare Maths Form 4 Chapter 3 Maths Form 4 Chapter 3 Questions and Answers Maths Form 4 Chapter 4 Maths Form 4 Chapter 4 Notes Pdf Maths Form 4 Chapter 5 Light Questions and Answers Maths Form 4 Chapter 5 Notes Pdf Maths Form 4 Diagrams Maths Form 4 Exam Paper 1 Maths Form 4 Exams Maths Form 4 Exercise Maths Form 4 Exercise Pdf Maths Form 4 Module With Answer Maths Form 4 Note Maths Form 4 Notes Maths Form 4 Notes (Pdf) Maths Form 4 Notes All Chapter Pdf Maths Form 4 Notes and Questions Maths Form 4 Notes Chapter 1 Maths Form 4 Notes Chapter 2 Maths Form 4 Notes Chapter 3 Maths Form 4 Notes Download Maths Form 4 Notes Free Download Maths Form 4 Notes GCSE Maths Form 4 Notes KCSE-kcse Maths Form 4 Notes Pdf Maths Form 4 Notes Pdf Download Maths Form 4 Paper 2 Questions and Answers Maths Form 4 Past Papers Maths Form 4 Question Papers Maths Form 4 Questions Maths Form 4 Questions and Answers Maths Form 4 Questions and Answers Pdf Maths Form 4 Quiz Maths Form 4 Revision Notes Maths Form 4 Schemes of Work Maths Form 4 Summary Notes Maths Form 4 Syllabus Maths Form 4 Textbook Pdf Maths Form 4 Work Maths Form 5 Chapter 1 Exercise and Answers Maths Form 5 Chapter 1 Notes Pdf Maths Form 5 Chapter 2 Notes Pdf Maths Form 5 Chapter 2 Slideshare Maths Form 5 Chapter 3 Notes Pdf Maths Form 5 Notes Pdf Maths Form Four Book Maths Form Four Notes Maths Form Four Notes and Questions Maths Form Four Notes GCSE Maths Form Four Notes Pdf Maths Form Four Past Papers Maths Form Four Questions Maths Form Four Questions and Answers Maths Form Four Questions and Answers Pdf Maths Form Four Quiz Maths Form Four Study Notes Maths Form Four Syllabus Maths Form Four Topic 2 Maths Form Four Topic 4 Maths Form Four Topics Maths Form Four Work Maths Form One Maths Form One Book Maths Form One Book Pdf Maths Form One Download Topic 1 Upto 3 Maths Form One Exam Maths Form One Notes Maths Form One Notes and Questions Maths Form One Notes GCSE Maths Form One Notes Pdf Maths Form One Pdf Maths Form One Questions Maths Form One Questions and Answers Maths Form One Questions and Answers Pdf Maths Form One Questions and Their Answers Maths Form One Quiz Maths Form One Revision Question Maths Form One Schemes of Work Maths Form One Study Notes Maths Form One Syllabus Maths Form One Term Three Test Maths Form One to Three Notes Maths Form One Work Maths Form Three Maths Form Three Book Maths Form Three Notes Maths Form Three Notes and Questions Maths Form Three Notes GCSE Maths Form Three Questions and Answers Maths Form Three Questions and Answers Pdf Maths Form Three Quiz Maths Form Three Reproduction Maths Form Three Reproduction. Maths Form Three Study Notes Maths Form Three Work Maths Form Three-questions and Answers Maths Form Two Maths Form Two Book Maths Form Two Diagrams Maths Form Two Notes Maths Form Two Notes and Questions Maths Form Two Notes GCSE Maths Form Two Notes Pdf Maths Form Two Notes-pdf Maths Form Two Pdf Maths Form Two Questions Maths Form Two Questions and Answers Maths Form Two Questions and Answers Pdf Maths Form Two Quiz Maths Form Two Study Notes Maths Form Two Topics Maths Form Two Work Maths Form Two,schemes of Work Maths Form2 Maths Form2 Textbook Maths Game Form Four Question End Answers Maths Grade 10 Exam Papers Maths Hsc Pdf Maths Human Reproduction Video Maths IGCSE Past Papers Xtremepapers Maths K.c.s.e 2017 Maths KCSE Maths KCSE 2016 Maths KCSE 2017 Maths KCSE 2017 Paper 1 Maths KCSE Past Papers Maths KCSE Questions Maths KCSE Questions and Answer Maths KCSE Quizzes & Answers Maths KCSE Revision Maths KCSE Revision Notes Maths KCSE Setting Questions Form One and Two Maths Ksce 2015 Maths Last Year K.c.s.e Questions Maths Lesson Plan Form Two Maths Made Familiar Maths Mcq for Class 11 Maths Mcq for Class 12 Maths Mcq for Competitive Exams Maths Mcq for Competitive Exams Pdf Maths Mcq for Neet Pdf Maths Mcq for Ssc Maths Mcq Questions With Answers Maths Mcq With Answers Pdf Maths Mcqs for Class 12 Pdf Maths Mcqs With Answers Pdf Maths Mid Familia Form One Maths Mock Papers Maths Module Form 5 Maths Multiple Choice Questions and Answers Cxc Maths Multiple Choice Questions and Answers Pdf Maths Multiple Choice Questions With Answers Pdf Maths Note Maths Note Form Two All Chapters Maths Notes Maths Notes and Guestion and Answear Maths Notes and Syllabus Maths Notes Class 10 Maths Notes for Class 11 Pdf Maths Notes for Class 12 Pdf Maths Notes for High School Students Maths Notes for IGCSE 2014 Maths Notes Form 1 Maths Notes Form 1 4 Maths Notes Form 1 Free Download Maths Notes Form 1 KLB Maths Notes Form 1 Pdf Maths Notes Form 1-4 Maths Notes Form 1-4(1) Maths Maths Notes Form 14 Maths Notes Form 2 Maths Notes Form 2 KLB Maths Notes Form 2 Pdf Maths Notes Form 2; Maths Notes Maths Notes Form 3 Maths Notes Form 3 KLB Maths Notes Form 3 Pdf Maths Notes Form 4 Maths Notes Form 4 Chapter 2 Maths Notes Form 4 KLB Maths Notes Form 4 Pdf Maths Notes Form 4-pdf Maths Notes Form Four Maths Notes Form Four KLB Maths Notes Form Four Pdf Maths Notes Form One Maths Notes Form One KLB Maths Notes Form One Pdf Maths Notes Form One to Form Four Maths Notes Form Three Maths Notes Form Three KLB Maths Notes Form Three Pdf Maths Notes Form Two Maths Notes Form Two KLB Maths Notes Form Two Pdf Maths Notes Form2 Maths Notes IGCSE Maths Notes Kenya Maths Notes on Agroforestry Maths Notes Pdf Maths Notes: Maths Objective Answer Maths Objective Answer 2018 Maths Objective Questions for Competitive Exams Maths Objective Questions for Competitive Exams Pdf Maths Oral Exam Questions Maths Paper 1 Maths Paper 1 2018 Marking Rules Maths Paper 1 Notes Maths Paper 1 Questions Maths Paper 1 Questions and Answers Maths Paper 1 Topics Maths Paper 1 With Answers Maths Paper 2 Maths Paper 2 2017 Maths Paper 2 2018 Marking Rules Maths Paper 2 Questions and Answers Maths Paper 2 Questions and Answers Pdf Maths Paper 2 Revision Maths Paper 2 Topics Maths Paper 2018 Maths Paper 3 2018 Marking Rules Maths Paper 3 Question and Answer Maths Paper 3 Question Paper 2014 KCSE Maths Paper 3 Question Paper 2015 KCSE Maths Paper 3 Question Paper 2016 KCSE Maths Paper 3 Question Paper 2017 KCSE Maths Paper 3 Question Paper 2018 KCSE Maths Paper 3 Questions and Answers Maths Paper One Questions and Answers Maths Paper One Topics Maths Paper Two Qestions With Answers Maths Paper1 Maths Paper2 Maths Paper3 Maths Paper4 Maths Past Papers Maths Past Papers 2017 Maths Past Papers a Level Maths Past Papers Form 1 Maths Past Papers Form 2 Maths Past Papers Form 3 Maths Past Papers O Level Maths Pdf Download Maths Pp1 KCSE 2016 Maths Practical Book Class 12 Pdf Maths Practical Exam Maths Practicals Form One Maths Practicals Questions and Answers Maths Practice Test 9th Grade Maths Practice Test Answers Maths Practice Test Questions and Answers Maths Practice Test Quizlet Maths Predicted Questions This Year KCSE Maths Preparation Notes Maths Pretest High School Pdf Maths Question and Answer With Explanation Maths Question and Answers 2019 Maths Question and Answers 2021 Maths Question and Answers 2022 Maths Question and Answers 2023 Maths Question and Answers Note Maths Questions Maths Questions and Answers Maths Questions and Answers for High School Maths Questions and Answers for High Schools Maths Questions and Answers for High Schools Pdf Maths Questions and Answers for Secondary Schools Maths Questions and Answers Form 1 Maths Questions and Answers Form 2 Maths Questions and Answers Form 3 Maths Questions and Answers Form 4 Maths Questions and Answers Multiple Choice Maths Questions and Answers Notes Maths Questions and Answers O Maths Questions and Answers Online Maths Questions and Answers Pdf Maths Questions and Answers Pdf for Class 12 Maths Questions and Answers Pdf for Competitive Exams Maths Questions and Answers-form 2 Maths Questions for High School Maths Questions for High School Students With Answers Maths Questions for Senior 1 Maths Questions for Senior 2 Maths Questions for Senior 3 Maths Questions for Senior 4 Maths Questions for Senior 5 Maths Questions for Senior 6 Maths Questions for Senior Five Maths Questions for Senior Four Maths Questions for Senior One Maths Questions for Senior Six Maths Questions for Senior Three Maths Questions for Senior Two Maths Questions Form One Maths Questions Multiple Choice Maths Questions Quizlet Maths Questions to Ask Your Teacher Maths Quetion and Answer Form Four Maths Quetion and Answer Form One Maths Quetion and Answer Form Three Maths Quetion and Answer Form Two Maths Quiz for Class 9 Maths Quiz for Class 9 Maths Maths Quiz Questions and Answers for Class 10 Maths Quiz Questions and Answers for Class 10 Pdf Maths Quiz Questions and Answers for Class 12 Maths Quiz Questions and Answers for Class 9 Maths Quiz Questions and Answers for Class 9 Pdf Maths Quiz Questions and Answers for High School Maths Quiz Questions and Answers Multiple Choice Maths Quiz Questions and Answers Pdf Maths Quiz Questions for Class 12 Maths Quiz Questions for College Students Maths Quiz With Answers Maths Quiz With Answers Pdf Maths Quizlet Maths Revision Maths Revision a Level Maths Revision Maths Notes Maths Maths Revision Exam Maths Revision Examination Maths Revision Form One Maths Revision Notes Maths Revision Notes Maths Maths Revision Notes Form 1 Maths Revision Notes Form 2 Maths Revision Notes Form 3 Maths Revision Notes Form 4 Maths Revision Notes IGCSE Maths Revision Paper One Maths Revision Questions Maths Revision Questions and Answers Maths Revision Questions and Answers Form 1 Maths Revision Questions and Answers Form 2 Maths Revision Questions and Answers Form 3 Maths Revision Questions and Answers Form 4 Maths Revision Questions and Answers Form Four Maths Revision Questions and Answers Form One Maths Revision Questions and Answers Form Three Maths Revision Questions and Answers Form Two Maths Revision Questions Form 1 Maths Revision Questions Form 2 Maths Revision Questions Form 3 Maths Revision Questions Form 4 Maths Revision Questions Form Four Maths Revision Questions Form One Maths Revision Questions Form Three Maths Revision Questions Form Two Maths Revision Quiz Maths Revision Test Maths Secondary School Revision Maths Simple Notes Maths Spm Notes Download Maths Spm Notes Pdf Maths Spm Questions Maths Study Form 2 Maths Study Guide Maths Study Guide Answer Key Maths Study Guide Answers Maths Study Guide Maths Questions and Answers Maths Study Guide Ib Maths Study Guide Pdf Maths Study Guides Maths Study Notes Maths Study Notes Materials Form 1 Pdf Maths Study Notes Materials Form 2 3 Pdf Maths Study Notes Materials Form 2 Pdf Maths Study Notes Materials Form 3 Pdf Maths Study Notes Materials Form 4 Pdf Maths Syllabus in Kenya Maths Syllabus Pdf Maths Test 1 Quizlet Maths Test Questions Maths Test Questions and Answers Maths Test Questions and Answers Pdf Maths Topic One Form Four Maths Topics Form One Maths Unit 1 Quiz Maths Vol 3 Maths | Revision Maths Maths,form 4 Maths.form Four.topic Three MathsExam Form Three MathsModule Form 5 MathsNotes MathsNotes for Class 11 Pdf MathsNotes for Class 12 Pdf MathsNotes Form 1 MathsNotes Form 1 Free Download MathsNotes Form 2 MathsNotes Form 3 MathsNotes Form 3 Pdf MathsNotes IGCSE MathsNotes Pdf MathsPast Papers MathsQuestions and Answers Pdf MathsSimple Notes MathsSpm Notes Download MathsSpm Notes Pdf MathsSpm Questions MathsStudy Guide Answers MathsStudy Guide Pdf MathsStudy Guides Blologytextpapers Bridge Maths Business Past KCSE Past Papers Maths Form 3 Notes Pdf Maths Form 4 Notes Pdf C R E Form One KLB C R E Form One Oli Topic C.r.e Form 1 Notes Kenya C.r.e Form 2 Notes Kenya C.r.e Form 3 Notes C.r.e Form 3 Notes Kenya C.r.e Form 3 Pdf C.r.e Form 4 Notes Kenya C.r.e Form One Notes Pdf C.r.e Notes Form 1 C.r.e Revision Notes C.r.e Short Notes Cambridge IGCSE Maths Cambridge IGCSE Maths 3rd Edition Cambridge IGCSE Maths 3rd Edition Plus Cd South Asia Edition Cambridge IGCSE Maths Answers Cambridge IGCSE Maths Coursebook Pdf Download Cambridge IGCSE Maths Practical Workbook Cambridge IGCSE Maths Revision Guide Pdf Cambridge IGCSE Maths Study and Revision Guide 2nd Edition Pdf Cambridge IGCSE Maths Study and Revision Guide Pdf Cambridge IGCSE Maths Workbook Free Download Cambridge IGCSE Maths Workbook Pdf Cambridge IGCSE® Maths Coursebook Caucasian Chalk Circle Essay Questions Chapter 1 Introduction to Maths Chapter 1 Introduction to Maths Studies Cie a Level Maths Notes 2016 Cie a Level Maths Notes Pdf Cie Past Papers Class 10 Maths Chapter 1 Mcqs Class 8 Maths Notes KCSE-kcse College Maths Notes College Maths Practice Test College Maths Quiz College Maths Quiz Chapter 1 College Maths Quizlet College Maths Study Guide College Maths Study Guide Pdf College Maths Test Questions and Answers College Maths Volume 3 Pdf College MathsNotes Complete Maths for Cambridge IGCSE Complete Maths for Cambridge IGCSE Revision Guide Pdf County Mocks 2017 Cse Past Papers Maths 2017 Dl Maths Form 3 Pdf Kusoma Download Maths Form 1 Download Maths Form 2 Download Maths Form 2 Notes Download Maths Form 3 Download Maths Form 3 Notes Download Maths Form 4 Download Maths Form Four Download Maths Form One Download Maths Form Three Download Maths Form Two Download Maths Notes Form 3 Download Maths Notes Form One Download MathsNotes Form 3 Download Form Three Maths Notes Download Free KCSE Past Papers Maths Download Free KCSE Past Papers From KNEC. Download KCSE Past Papers With Answers Download KCSE Revision Notes Download KLB Maths Book 2 Download KLB Maths Book 3 Download KLB Maths Book 4 Download Notes of Maths Downloads | Maths | Form Four Exams | Exams Downloads | Maths | Form One Exams | Exams Downloads | Maths | Form Three Exams | Exams Downloads | Maths | Form Two Exams | Exams Downloads | KCSE Papers and Marking Schemes | Dvance KCSE Past Papers Easy Maths Questions Edexcel a Level Maths B Edexcel a Level Maths Notes Pdf Edexcel a Level Maths Salters Nuffield Edexcel A2 Maths Notes Edexcel as Maths Revision Guide Pdf Edexcel Maths A2 Revision Notes Pdf Edexcel Maths Unit 2 Revision Notes Edexcel GCSE Maths Revision Guide Pdf Edexcel IGCSE Maths Past Papers Edexcel IGCSE Maths Revision Guide Free Pdf Download Edexcel IGCSE Maths Revision Guide Pdf Edexcel IGCSE Maths Revision Guide Pdf Download Electronics Form Four Notes Energy Questions Maths Bowl Essay Questions and Answers KCSE Maths Notes Essay Questions and Answers on Betrayal in the City Essay Questions Based on Betrayal in the City Evolving World Maths Book 1 Pdf Evolving World Maths Book 4 Notes Evolving World Maths Book Form 1 Evolving World-history Book 3 Exam Notes for Maths 101 Exams KCSE Maths Paper 1 Questions and Answers F3 Maths Test Paper Find Download KCSE Past Papers With Answers Find KCSE Maths Essay Questions and Answers Form 1 Maths Exam Form 1 Maths Notes Form 1 Maths Questions and Answers Form 1 Maths Questions and Answers Pdf Form 1 Maths Revision Notes Form 1 Maths Summurized Revision Pdf Form 1 Maths Syllabus Form 1 Maths Test Paper Pdf Form 1 Maths Topics Form 1 MathsNotes Form 1 MathsQuestions and Answers Form 1 MathsRevision Notes Form 1 MathsSyllabus Form 1 MathsTest Paper Pdf Form 1 Past Papers Form 1 Past Papers With Answers Form 1 Revision Papers Form 1 Subjects in Kenya Form 2 Maths Exam Form 2 Maths Exam Paper Form 2 Maths Exam Paper 2016 Form 2 Maths Exam Paper Free Download Form 2 Maths Exam Paper With Answer Form 2 Maths Final Year Exam Paper 2 Form 2 Maths Notes Form 2 Maths Notes and Revision Questions Form 2 Maths Notes Pdf Form 2 Maths Past Papers Form 2 Maths Questions Form 2 Maths Questions and Answers Form 2 Maths Questions and Answers > Form 2 Maths Questions and Answers Pdf Form 2 Maths Revision Notes Form 2 Maths Short Notes Form 2 Maths Syllabus Form 2 MathsExam Paper Form 2 MathsExam Paper Free Download Form 2 MathsExam Paper With Answer Form 2 MathsFinal Year Exam Paper 2 Form 2 MathsPast Papers Form 2 MathsRevision Notes Form 2 MathsShort Notes Form 2 MathsSyllabus Form 2 Revision Papers Form 2 Subjects in Kenya Form 3 Maths Book Form 3 Maths Exam Form 3 Maths Exam Paper Form 3 Maths Notes Form 3 Maths Past Papers Form 3 Maths Questions Form 3 Maths Questions and Answers Form 3 Maths Questions and Answers Pdf Form 3 Maths Revision Notes Form 3 Maths Syllabus Form 3 MathsExam Paper Form 3 MathsNotes Form 3 MathsPast Papers Form 3 MathsQuestions Form 3 MathsQuestions and Answers Pdf Form 3 MathsRevision Notes Form 3 MathsSyllabus Form 3 C.r.e Form 3 Notes of Maths Topic on Fish Form 3 Past Papers Form 3 Revision Papers Form 3 Subjects in Kenya Form 4 Maths Exam Form 4 Maths Notes Form 4 Maths Notes Pdf Form 4 Maths Questions and Answers Form 4 Maths Questions and Answers Pdf Form 4 Maths Revision Notes Form 4 Maths Syllabus Form 4 Maths Topics Form 4 MathsNotes Form 4 MathsRevision Notes Form 4 MathsSyllabus Form 4 MathsTopics Form 4 Exam Papers Form 4 Revision Papers Form 4 Subjects in Kenya Form 5 Maths Topics Form 5 MathsTopics Form Five Maths Notes Form Five MathsNotes Form Four Maths Book Form Four Maths Notes Form Four Maths Notes Pdf Form Four Maths Questions and Answers Form Four Maths Questions and Answers Pdf Form Four Maths Revision Questions Form Four Maths Syllabus Form Four Maths Topics Form Four MathsNotes Form Four MathsQuestions and Answers Form Four MathsQuestions and Answers Pdf Form Four MathsTopics Form Four Notes Form Four Revision Papers Form Four Subjects in Kenya Form One Maths Book Form One Maths Examination Form One Maths First Topic Form One Maths Lesson Plan Form One Maths Notes Pdf Form One Maths Past Papers Pdf Form One Maths Questions Form One Maths Questions and Answers Form One Maths Questions and Answers Pdf Form One Maths Revision Questions Form One Maths Short Notes Form One Maths Syllabus Form One Maths Topics Form One MathsExamination Form One MathsPast Papers Pdf Form One MathsQuestions and Answers Form One MathsQuestions and Answers Pdf Form One MathsTopics Form One Exams Form One Notes of Maths Form One Past Papers Form One Subjects in Kenya Form One Term One Maths Exam Form One Term One MathsExam Form Three Maths Book Form Three Maths Book Pdf Form Three Maths Notes Form Three Maths Notes Pdf Form Three Maths Questions and Answers Form Three Maths Questions and Answers Pdf Form Three Maths Revision Questions Form Three Maths Syllabus Form Three Maths Topics Form Three MathsNotes Form Three MathsNotes Pdf Form Three MathsQuestions and Answers Form Three MathsQuestions and Answers Pdf Form Three MathsTopics Form Three Subjects in Kenya Form Two Maths Book Form Two Maths Cat Form Two Maths Examination Form Two Maths Notes Form Two Maths Notes Pdf Form Two Maths Past Papers Form Two Maths Questions and Answers Form Two Maths Questions and Answers Pdf Form Two Maths Revision Questions Form Two Maths Syllabus Form Two Maths Topics Form Two MathsNotes Form Two MathsNotes Pdf Form Two MathsQuestions and Answers Form Two MathsQuestions and Answers Pdf Form Two MathsSyllabus Form Two MathsTopics Form Two Notes Form Two Subjects in Kenya Free a-level Maths Revision App | Pass Your Maths Exams Free Maths Form 1 Notes Free Maths Notes Form 1 Free Maths Notes Pdf Free MathsNotes Pdf Free College Maths Practice Test Free Form1,form2,form3 Past Papers Free KCSE Past Papers Free KCSE Mocks 2015 Free KCSE Past Papers 2014 Free KCSE Past Papers KCSE Past Free KCSE Past Papers Kenya, Free KCSE Past Papers With Answers Free KCSE Questions and Answers on Maths Free KCSE Revision Notes Free Marking Schemes Free Mocks Online KCSE Answers Past Exams Question Papers Free Revision Papers From Three Notes Topic One KLB Fun Maths Questions Funny Maths Questions Funny Maths Questions and Answers Funny Maths Questions to Ask Funny Maths Quotes GCSE Maths Exam Questions and Answers GCSE Maths Past Papers GCSE Maths Revision GCSE Maths Revision Notes GCSE Maths Revision Notes Pdf GCSE Maths Revision Notes Pdf 9-1 GCSE Maths Revision Questions and Answers GCSE Maths Textbook Pdf GCSE Maths Topics Pass My Exams: Easy Exam Revision Notes Home Maths Notes Pdf Home Maths Practice Test With Answers Home Maths Quiz Home Maths Quiz Pdf Home Maths Test Questions and Answers Home Maths Test Questions and Answers Pdf Home Knowledge in Maths Human Body Good Maths Questions to Ask GRE Maths Practice Test GRE Maths Subject Test Pdf Handbook of Maths Pdf Free Download Hard Maths Questions Hard Maths Questions and Answers Hard Maths Questions to Ask Your Teacher Hard Maths Quiz Questions Hard Form 3 Maths Question High School Maths Final Exam Doc High School Maths Final Exam Pdf High School Maths Final Exam Questions High School Maths Final Exam Questions and Answers High School Maths Notes High School Maths Practice Test High School Maths Pretest With Answers High School Maths Questions and Answers Pdf High School Maths Study Guide High School Maths Test Questions and Answers Pdf High School MathsNotes High School MathsStudy Guide How to Answer KCSE Maths Question How to Motivate a Form 4 Student How to Motivate a KCSE Candidate How to Motivate a KCSE Student How to Pass Maths Questions & Answers Form 1&2 | Text Book How to Revise Maths How to Revise Effectively for KCSE How to Study Maths: 5 Study Techniques to Master Maths Hsc Maths 2018 Hsc Maths 2019 Https://www.knec.ac.ke/ Www.knec-portal.ac.ke/ KNEC Portal: Ial Maths Notes Ib Maths Cold War Notes Ib Maths Notes Ib Maths Notes Pdf Ib Maths of the Americas Notes Ib Maths of the Americas Study Guide Ib Maths Paper 2 Study Guide Ib Maths Question Bank by Topic Ib Maths Study Guide Pdf Ict Notes Form 1 IGCSE Maths Alternative to Practical Revision IGCSE Maths Alternative to Practical Revision Notes IGCSE Maths Book IGCSE Maths Book Pdf Download IGCSE Maths Notes IGCSE Maths Notes 2017 Pdf IGCSE Maths Notes Edexcel IGCSE Maths Paper 2 Notes IGCSE Maths Paper 6 Notes IGCSE Maths Past Papers IGCSE Maths Past Papers 2014 IGCSE Maths Past Papers 2017 IGCSE Maths Pdf IGCSE Maths Pre Release Material 2018 IGCSE Maths Resources IGCSE Maths Revision Guide IGCSE Maths Revision Guide Free Download IGCSE Maths Revision Guide Pdf Download IGCSE Maths Revision Notes Pdf IGCSE Maths Revision Worksheets IGCSE Maths Workbook Pdf IGCSE Maths Znotes IGCSE MathsPast Papers IGCSE Notes Maths Importance of Agroforestry Inorganic Maths Multiple Choice Questions With Answers Pdf Inorganic Maths Questions and Answers Pdf Interesting Maths Questions Interesting Maths Questions and Answers Interesting Questions to Ask About Maths Intro to Maths Quiz Introduction of Maths Form One Introduction to Maths Introduction to Maths Notes Introduction to Maths Pdf Introduction to MathsNotes Is Agroforestry Sustainable? K.c.s.e Answers Maths Paper One 2018 K.c.s.e Maths 2017 K.c.s.e Maths 2018 K.c.s.e Maths Paper 1 2017 K.c.s.e Mocks 2018 K.c.s.e Papers 2015 K.c.s.e Papers 2016 K.c.s.e Past Papers 2014 K.c.s.e.Maths Paper 2 Year 2018 K.c.s.e.results 2018 for Busia County K.l.b Maths Form 3 K.l.b Maths Notes K.l.b MathsNotes Kasneb Past Papers for Colleges Maths Past Papers KCSE 2010 Marking Scheme KCSE 2010 Past Papers KCSE 2011 Maths Paper 1 KCSE 2011 Marking Scheme KCSE 2012 Maths Paper 2 Marking Scheme KCSE 2012 Marking Schemes KCSE 2013 Maths Paper 1 KCSE 2013 Marking Scheme KCSE 2013 Marking Scheme Pdf KCSE 2014 KCSE 2015 Maths Paper 2 KCSE 2015 Maths Paper 3 KCSE 2015 Marking Scheme KCSE 2015 Past Papers KCSE 2016 Maths Paper 1 KCSE 2016 Maths Paper 2 KCSE 2017 Maths Paper 1 KCSE 2017 Maths Paper 2 KCSE 2017 Hostory Papers With Answers.com KCSE 2017 Marking Scheme KCSE 2017 Papers KCSE 2017 Papers and Marking Scheme KCSE 2017 Papers Pdf KCSE 2017 Past Papers KCSE 2017 Prediction Pdf KCSE 2018 Maths and Answers KCSE 2018 Maths Prediction KCSE 2018 Leakage KCSE 2018 Marking Scheme KCSE 2018 Papers KCSE 2018 Prediction Pdf KCSE 2018 Predictions KCSE 2018 Questions KCSE 2018 Questions and Answers KCSE 2019 Leakage Maths KCSE 2019 Marking Scheme KCSE 2019 Questions KCSE 2019 Questions and Answers KCSE 2021 Questions KCSE 2021 Questions and Answers KCSE Answers KCSE Answers Past Exams Question Papers Downloads | KCSE Maths 2011 KCSE Maths 2016 KCSE Maths Diagramsbiology Revision Tips KCSE Maths Essay Questions and Answers KCSE Maths Essay Questions and Answers Pdf KCSE Maths Essays KCSE Maths Essays Pdf KCSE Maths Marking Schemes KCSE Maths Notes KCSE Maths Notes Pdf KCSE Maths Notes, Syllabus, Questions, Answers KCSE Maths Paper 1 KCSE Maths Paper 1 2011 KCSE Maths Paper 1 2012 KCSE Maths Paper 1 2013 KCSE Maths Paper 1 2015 KCSE Maths Paper 1 2016 KCSE Maths Paper 1 2017 KCSE Maths Paper 1 2017 Pdf KCSE Maths Paper 1 Questions and Answers KCSE Maths Paper 2 KCSE Maths Paper 2 2012 KCSE Maths Paper 2 2012 KCSE Maths Paper 2 2015 KCSE Maths Paper 2 2013 KCSE Maths Paper 2 2014 KCSE Maths Paper 2 2015 KCSE Maths Paper 2 2016 KCSE Maths Paper 2 2017 KCSE Maths Paper 3 KCSE Maths Paper 3 2012 KCSE Maths Paper 3 2016 KCSE Maths Paper 3 2017 KCSE Maths Paper 3 Past Papers KCSE Maths Past Papers KCSE Maths Past Papers and Answers KCSE Maths Past Papers Pdf KCSE Maths Practical KCSE Maths Practical 2015 KCSE Maths Practical 2016 KCSE Maths Practical Past Papers KCSE Maths Practicals KCSE Maths Practicals KCSE Maths Paper 1 KCSE Maths Question and Answer KCSE Maths Questions and Answers KCSE Maths Questions and Answers Ap Maths KCSE Maths Revision KCSE Maths Revision Notes KCSE Maths Revision Papers KCSE Maths Revision Questions KCSE Maths Revision Questions and Answers KCSE Maths Syllabus KCSE MathsNotes KCSE MathsPaper 1 KCSE MathsPaper 2 KCSE MathsPaper 2 Pdf KCSE MathsSyllabus KCSE Business Paper 1 2016 KCSE Business Past Papers KCSE Maths Past Papers KCSE Essay Questions in Betrayal in the City KCSE Essays KCSE Exam Papers 2018 KCSE Exam Papers Answers KCSE Form 1 Maths Revision KCSE Form 2 Maths Revision KCSE Form 3 Maths Revision KCSE Form 4 Maths Revision KCSE Form Four Maths Revision KCSE Form One Maths Revision KCSE Form Three Maths Revision KCSE Form Two Maths Revision KCSE KCSE Past Papers KNEC KCSE Leakage KCSE Leakage Maths KCSE Made Familiar Maths KCSE Made Familiar Maths Pdf KCSE Marking Scheme 2016 KCSE Marking Schemes KCSE Marking Schemes 2017 KCSE Marking Schemes Pdf KCSE Mock Exams KCSE Mock Papers 2015 KCSE Mock Papers 2017 KCSE Mock Papers 2018 KCSE Mock Papers Pdf KCSE Mock Papers Pdf 2018 KCSE Mock Papers Pdf KCSE Past Papers KCSE Mocks 2017 KCSE Mocks 2018 KCSE Notes KCSE Online Notes KCSE Online Past Papers KCSE Online Registration KCSE Papers 2015 KCSE Papers and Marking Schemes | Exams KCSE Past Papers KCSE Past Papers 2007 KCSE Past Papers 2009 KCSE Past Papers 2010 KCSE Past Papers 2011 KCSE Past Papers 2011 Pdf KCSE Past Papers 2012 KCSE Past Papers 2013 KCSE Past Papers 2013knec KCSE Past Papers 2014 KCSE Past Papers 2014 Pdf KCSE Past Papers 2015 KCSE Past Papers 2015 Marking Schemes KCSE Past Papers 2015 Pdf KCSE Past Papers 2016 KCSE Past Papers 2016 Pdf KCSE Past Papers 2017 KCSE Past Papers 2017 Pdf KCSE Past Papers 2018 KCSE Past Papers Maths KCSE Past Papers Maths and Answers KCSE Past Papers Maths Pdf KCSE Past Papers Maths With Answers KCSE Past Papers Mathsand Answers KCSE Past Papers Maths and Answers KCSE Past Papers KCSE and Answers KCSE Past Papers KCSE and Answers Free Mocks Online KCSE Past Papers Marking Scheme KCSE Past Papers Pdf Download KCSE Past Papers Pdf Download KCSE 2013 KCSE Past Papers With Answers KCSE Past Papers Woodwork and Answers KCSE Prediction 2017 KCSE Prediction 2018 KCSE Prediction 2018 Pdf KCSE Prediction Papers 2018 KCSE Prediction Questions KCSE Prediction Questions 2018 KCSE Prediction Questions and Answers KCSE Questions KCSE Questions and Answers KCSE Questions and Answers. KCSE Questions on Maths KCSE Results, Online Registration, KCSE Result Slip. KCSE Revision KCSE Revision Notes KCSE Revision Notes Maths KCSE Revision Notes Pdf KCSE Revision Papers KCSE Revision Papers 2014 KCSE Revision Papers With Answers KCSE Revision Question for Maths KCSE Revision Questions KCSE Revision Questions and Answers KCSE Revision | Secondary School | Text Books | Text Book Centre KCSE Syllabus Pdf KCSE Trial 2017 KCSE Trial Exams 2017 Kenya Secondary School Maths Syllabus Kenya Secondary School Maths Syllabus Pdf Kenya Secondary School MathsSyllabus Pdf Kenya Secondary School Syllabus Pdf Kenya-kcse-christian Religious Education Syllabus Kenyaplex KCSE Past Papers Kenyaplex Past Papers for Secondary KLB Maths Book 1 Download KLB Maths Book 1 Notes KLB Maths Book 1 Pdf KLB Maths Book 2 KLB Maths Book 2 Notes KLB Maths Book 2 Notes Pdf KLB Maths Book 2 Pdf KLB Maths Book 3 Notes KLB Maths Book 3 Pdf KLB Maths Book 3 Pdf Download KLB Maths Book 4 Notes KLB Maths Book 4 Pdf KLB Maths Book 4 Pdf Download KLB Maths Book 4 Topics KLB Maths Book One KLB Maths Form 1 KLB Maths Form 1 Notes KLB Maths Form 1 Pdf KLB Maths Form 2 KLB Maths Form 2 Book KLB Maths Form 2 Notes KLB Maths Form 2 Pdf KLB Maths Form 2 Pdf Download KLB Maths Form 2 Schemes of Work KLB Maths Form 3 KLB Maths Form 3 Notes KLB Maths Form 3 Notes Pdf KLB Maths Form 3 Pdf KLB Maths Form 3 Pdf Download KLB Maths Form 4 KLB Maths Form 4 Notes KLB Maths Form 4 Pdf KLB Maths Form Four KLB Maths Form Four Notes KLB Maths Form One KLB Maths Form One Notes KLB Maths Form Three KLB Maths Form Three Notes KLB Maths Form Two KLB Maths Form Two Notes KLB Maths Notes KLB Maths Notes Form 4 KLB Maths Pdf KLB MathsNotes KLB MathsNotes Form 4 KLB MathsPdf KNEC Maths Syllabus KNEC Examiners Portal KNEC Website KNEC Ict Past Papers KNEC Past Papers for Colleges KNEC Past Papers Free Download KNEC Past Papers Free Downloads KNEC Past Papers Pdf KNEC Portal Confirmation KNEC Portal KCSE Results KNEC Portal KNEC Past Papers for Colleges Kasneb Past Papers KNEC Revision Papers KNEC Technical Exams Past Papers Kusoma Maths Notes Kusoma Maths Notes Pdf Kusoma Notes Maths Kusoma.co.ke Kusoma.com Past Papers Learner Guide for Cambridge IGCSE Maths Longhorn Maths Book 3 Pdf Made Familiar Maths Made Familiar Maths Pdf Made Familiar Maths Questions Maktaba Tetea Notes Marking Scheme KCSE Maths Past Papers Math Form2 Note Mcqs About Gaseous Exchange Middle School Maths Bowl Maths Questions Mock Past Papers 2017 Mock Past Papers With Answers Mokasa Mock 2017 More Than 1800 Maths Questions and Answers to Help You Study Multiple Choice Questions on Maths Necta Maths Past Papers Necta Maths Practicals Necta MathsPast Papers Necta MathsPracticals Necta Form Four Past Papers Necta Past Papers Form 4 Necta Past Papers Form 4 2016 Necta Past Papers Form Six Necta Past Papers Form Two Necta Questions and Answers Necta Review Questions Notes Maths Form 1 Notes Maths Form 2 Notes Maths Form 3 Notes Maths Form 3 Notes Pdf Notes Maths Form 3 Syllabus Notes Maths Form 4 Syllabus Notes on Maths Studies Notes Za Maths 4m 2 Notes Za Maths Form One Notes Za Maths Form Three O Level Maths Practical Experiments O Level Maths Questions and Answers Pdf Orm Three Maths Notes Papacambridge Maths IGCSE Papers KNEC KCSE Online Past Papers KNEC KCSE Results Past Papers Past KCSE Papers Past Paper Questions by Topic Maths Past Papers 2014 Past Papers in Kenya Pdf Maths Form 3 Pdf Maths Notes Pdf Maths Notes Form 1 Pdf Maths Notes Form 2 Pdf Maths Notes Form 3 Pdf Maths Notes Form 4 Pdf Maths Notes Form Four Pdf Maths Notes Form One Pdf Maths Notes Form Three Pdf Maths Notes Form Two Pdf Form 1 Maths Questions and Answers Pdf Form 2 Maths Questions and Answers Pdf Form 3 Maths Questions and Answers Pdf Form 4 Maths Questions and Answers Pdf Form Four Maths Questions and Answers Pdf Form One Maths Questions and Answers Pdf Form Three Maths Questions and Answers Pdf Form Two Maths Questions and Answers Pdf Free KCSE Past Papers and Marking Schemes Pdf" Revision Questions Maths Form 1 Practical Maths Experiments Pdf Practical Maths Question and Answer Pdf Pre Mocks 2018 Preliminary Maths Pte KNEC Past Papers Questions and Answers Pdf Maths Form 1 Questions and Answers Pdf Maths Form 2 Questions and Answers Pdf Maths Form 3 Questions and Answers Pdf Maths Form 4 Questions and Answers Pdf Maths Form Four Questions and Answers Pdf Maths Form One Questions and Answers Pdf Maths Form Three Questions and Answers Pdf Maths Form Two Questions Based to Introduction to Maths Questions on Gaseous Exchange in Humans Questions on Introduction to Maths Questions to Ask in Maths Class Questions to Confuse Your Maths Teacher Quizlet Maths Test Quizlet Test Questions Qustions in Maths and Answers Revision Revision Maths Notes and Questions? Revision Quiz for Maths for Form Three S.1 Maths Questions S.2 Maths Questions S.3 Maths Questions S.4 Maths Questions School Maths Notes Secondary Maths Notes Secondary Maths Notes Pdf Secondary MathsNotes Pdf Senior 1 Maths Notes Senior 2 Maths Notes Senior 3 Maths Notes Senior 4 Maths Notes Senior 5 Maths Notes Senior 6 Maths Notes Senior Five Maths Notes Senior Four Maths Notes Senior One Maths Notes Senior Six Maths Notes Senior Three Maths Notes Senior Two Maths Notes Simple Scientific Questions Smart Questions to Ask a Maths Teacher Snab Maths Revision Notes Southwest Mock Paper 2 2016 Maths Only Spm Maths Revision Notes Spm Notes Success Maths Spm Pdf Success MathsSpm Pdf Summary of Maths Form 3 Tahossa Past Papers To Motivate a Form 4 KCSE Student To Motivate a Form 4 Student Topical Revision Material Tricky Maths Questions and Answers Tricky Maths Questions for Adults Tricky Maths Questions With Answers Tricky Maths Quiz Questions Two Maths Revision Questions University Maths Volume 3 Openstax University Maths Volume 3 Pdf University Maths Volume 4 Pdf Ur Revision Guide IGCSE Maths Www.Maths Form One Notes.com Www.Maths From One KLB.com Www.form 1 Maths.com Www.form 2 Maths.com Www.form 3 Maths.com Www.form 4 Maths.com Www.form Four Maths.com Www.form One Maths.com Www.form Three Maths.com Www.form Two Maths.com Www.kusoma Notes Www.kusoma Revision Materials Www.kusoma.co.ke Maths Notes Xtremepapers IGCSE Maths Year 11 Maths Z Notes Maths IGCSE Znotes as Maths 2018 Mathematics Paper One Questions and Answers 2018 Mathematics Paper Two Questions and Answers Advice to KCSE Candidates Best Revision Books for KCSE How to Pass an Exam Successfully How to Pass KCSE 2018 How to Pass KCSE 2019 How to Pass KCSE Mathematics Paper How to Pass KCSE Mathematics How to Pass KCSE Mathematics How to Pass KCSE 2019 K.c.s.e Mathematics Paper 1 2017 KCSE 2019 Prediction KCSE Prediction 2019 KCSE Revision Tips KCSE Mathematics Paper 1 2018 KCSE Mathematics Paper 2 2018 KCSE Mathematics Past Papers Pdf KCSE Past Papers 2012 KCSE Past Papers 2017 Pdf KCSE Past Papers 2018 KCSE Past Papers of Mathematics Pp2 KCSE Mathematics Past Papers Pdf Advice to KCSE Candidates Best Revision Books for KCSE How to Pass an Exam Successfully How to Pass KCSE 2018 How to Pass KCSE 2019 How to Pass KCSE Maths Paper How to Pass KCSE Maths How to Pass KCSE Maths How to Pass KCSE 2019 K.c.s.e Maths Paper 1 2017 KCSE 2019 Prediction KCSE Prediction 2019 KCSE Revision Tips KCSE Maths Paper 1 2018 KCSE Maths Paper 2 2018 KCSE Maths Past Papers Pdf KCSE Past Papers 2012 KCSE Past Papers 2017 Pdf KCSE Past Papers 2018 KCSE Past Papers of Maths Pp2 KCSE Maths Past Papers Pdf Maths KCSE Papers With Their Marking Schemes Maths Paper 1 and Answers KCSE 2017 Papers and Marking Scheme KCSE 2019 Papers and Marking Scheme KCSE Maths Paper 1 2018 KCSE Maths Paper 1 2019 KCSE Maths Paper 1 2019 Past Papers KCSE Maths Paper 2 2017 KCSE Maths Paper 2 2018 KCSE Maths Paper 2 2019 KCSE Maths Paper 2 2019 Past Papers KCSE Maths Paper 3 2019 Past Papers KCSE Maths Past Papers and Answers KCSE Marking Schemes Pdf KCSE Past Papers 2015 Marking Schemes KCSE Past Papers 2019 Marking Schemes KCSE Past Papers Maths Paper 1 2019 KCSE Past Papers Maths Paper 2 2019 KCSE Past Papers Maths Paper 3 2019 Past Papers KCSE Maths Paper 1 2019 Past Papers KCSE Maths Paper 2 2019 Past Papers KCSE Maths Paper 3 2019 Mathematics KCSE Papers With Their Marking Schemes Mathematics Paper 1 and Answers KCSE 2017 Papers and Marking Scheme KCSE 2019 Papers and Marking Scheme KCSE Mathematics Paper 1 2018 KCSE Mathematics Paper 1 2019 KCSE Mathematics Paper 1 2019 Past Papers KCSE Mathematics Paper 2 2017 KCSE Mathematics Paper 2 2018 KCSE Mathematics Paper 2 2019 KCSE Mathematics Paper 2 2019 Past Papers KCSE Mathematics Paper 3 2019 Past Papers KCSE Mathematics Past Papers and Answers KCSE Marking Schemes Pdf KCSE Past Papers 2015 Marking Schemes KCSE Past Papers 2019 Marking Schemes KCSE Past Papers Mathematics Paper 1 2019 KCSE Past Papers Mathematics Paper 2 2019 KCSE Past Papers Mathematics Paper 3 2019 Past Papers KCSE Mathematics Paper 1 2019 Past Papers KCSE Mathematics Paper 2 2019 Past Papers KCSE Mathematics Paper 3 2019 KCSE Mathematics Paper 1 2017 KCSE Mathematics Paper 1 2018 KCSE Mathematics Paper 2 2016 KCSE Mathematics Paper 2 2017 Marking Scheme KCSE Mathematics Paper 2 2018 KCSE Mathematics Paper 2 2018 Pdf KCSE Mathematics Past Papers Pdf KCSE Past Papers of Mathematics Pp2 Maths KCSE 2017 K.C.S.E. Paper 1 Maths Revision Calculations KCSE Maths Paper 1 2018 KCSE Mathematics Paper 1 2017 KCSE Mathematics Paper 1 Topics KCSE Mathematics Paper 2 2018 KCSE Mathematics Paper 2 2018 Marking Scheme KCSE Mathematics Paper 2 2018 Pdf KCSE Mathematics Past Papers Pdf Solving Problems Mathematics Paper 1 Pdf Mathematics Form 1 Questions and Answers Mathematics Paper 1 2018 Mathematics Paper 2 2018 Mathematics Paper 1 2019 Mathematics Paper 2 2019 Mathematics Paper 1 Notes Mathematics Paper 1 Questions and Answers Pdf Mathematics Paper 2 Questions and Answers Mathematics Questions and Answers Form 2 KCSE Mathematics Paper 1 2018 KCSE Mathematics Paper 2 2018 KCSE Mathematics Paper 1 2017 KCSE Mathematics Paper 2 2017 KCSE Mathematics Paper 1 2019 KCSE Mathematics Paper 2 2019 Most Tested KCSE Mathematics Questions Maths Form 1 Questions and Answers Maths Paper 1 2018 Maths Paper 2 2018 Maths Paper 1 2019 Maths Paper 2 2019 Maths Paper 1 Notes Maths Paper 1 Questions and Answers Pdf Maths Paper 2 Questions and Answers Maths Questions and Answers Form 2 KCSE Maths Paper 1 2018 KCSE Maths Paper 2 2018 KCSE Maths Paper 1 2017 KCSE Maths Paper 2 2017 KCSE Maths Paper 1 2019 KCSE Maths Paper 2 2019 Most Tested KCSE Maths Questions 4m1 Notes Viusasa 4m2 Notes Viusasa 4m3 Notes Viusasa 4m4 Notes Viusasa Download on Viusasa - Download Now for Free Elimu - Viusasa Elimu Library | Notes, Exams, Lesson Plans, Schemes Elimu Online High School Notes - Revision Materials for Kenyan Schools Https //www.viusasa.com/elimu Kenya Notes Viusasa Elimu Form 1 Notes Viusasa Elimu Form 2 Notes Viusasa Elimu Form 3 Notes Viusasa Elimu Form 4 Notes Viusasa Elimu Form Four Notes Viusasa Elimu Form One Notes Viusasa Elimu Form Three Notes Viusasa Elimu Form Two Viusasa Viusasa Education Viusasa Elimu Viusasa Elimu Class 6 Viusasa Elimu Form 1 Viusasa Elimu Form 1 Notes Viusasa Elimu Form 2 Viusasa Elimu Form 2 Notes Viusasa Elimu Form 3 Viusasa Elimu Form 3 Notes Viusasa Elimu Form 4 Viusasa Elimu Form 4 Notes Viusasa Elimu Form Four Viusasa Elimu Form Four Notes Viusasa Elimu Form One Viusasa Elimu Form One Notes Viusasa Elimu Form Three Viusasa Elimu Form Three Notes Viusasa Elimu Form Two Viusasa Elimu Form Two Notes Viusasa High School Notes - Revision Materials for Kenyan Schools Viusasa Notes Mathematics Mock Papers Mathematics Paper 1 2019 Mathematics Paper 1 Notes Mathematics Paper 1 Questions and Answers Mathematics Paper 1 Questions and Answers Pdf Mathematics Paper 2 Form 3 Mathematics Paper 2 Notes Mathematics Paper 2 Questions and Answers Pdf Mathematics Past Papers Mathematics Past Papers Pdf Mathematics Questions and Answers Pdf Mathematics Revision Questions and Answers Pdf Mathematics Revision Questions Pdf Common Exam Questions in Mathematics Paper 1 Common Exam Questions in Mathematics Paper 2 Common Test Questions in Mathematics Paper 1 Common Tested Questions in Mathematics Paper 1 Commonly Tested Questions in Mathematics Paper 1 K.c.s.e.Mathematics Questions and Answers KCSE 2019 Mathematics Paper 1 Marking Scheme KCSE 2019 Mathematics Paper 2 KCSE 2019 Mathematics Paper 2 Marking Scheme KCSE 2021 Prediction Questions and Answers KCSE Mathematics Paper 1 2019 KCSE Mathematics Paper 2 2016 KCSE Mathematics Paper 2 2017 KCSE Mathematics Paper 2 2018 KCSE Mathematics Paper 2 2019 KCSE Mathematics Questions and Answers Most Tested Questions in Mathematics Paper 1 Most Tested Questions in Mathematics Paper 2 Mostly Tested Questions in Mathematics Paper 1 Mostly Tested Questions in Mathematics Paper 2 A Level Maths Notes Uganda Pdf Download Buddo Junior School Holiday Work Maths Notes for a Level Pdf Maths Notes Form 1 Maths Notes Form 3 the Mole Maths Notes Form 4 Maths Notes O Level Maths Notes O Level Uganda Maths Notes O Level Uganda Pdf Maths Notes Pdf Download Maths Notes Form 3 Maths Notes Form 3 Maths Questions and Answers Form Three Maths Syllabus Pdf Gayaza High School Maths Notes Gayaza High School Maths Notes Pdf Gayaza High School Maths Past Papers Gayaza High School Maths Past Papers Answers Gayaza High School Maths Past Papers Questions and Answers Gayaza High School E Learning Gayaza High School Elearning Platform Gayaza High School Examinations Gayaza High School Holiday Work Gayaza High School Notes Gayaza High School Notes 2022 Gayaza High School Notes 2026 Gayaza High School Notes 2025 Gayaza High School Notes Pdf Gayaza Junior School E Learning Platform Gayaza Junior School Holiday Work Gayaza O Level Maths Notes Home › Gayaza High School | Elearning Platform Kabojja Junior School Holiday Work Pdf Klb Maths Book 3 Klb Maths Form 3 Teachers Guide Klb Maths Notes List of Ugandan E-learning Platforms for Students Mirembe Junior School Holiday Work Ntare School Past Papers O Level Maths Notes Free Download O Level Maths Notes in Uganda O Level Maths Notes Pdf O Level Maths Notes Uganda Pdf O Level Maths Notes Uganda Pdf Download O Level General - Home › Gayaza High School | Elearning S.1 Maths Notes | Standard High School Zzana S.3 Maths Notes S.4 Maths 2 Notes | Standard High School Zzana Seeta High School Elearning Seeta High School Holiday Work Seeta High School Notes Seeta High School Notes Pdf Seeta High School Past Papers Seeta High School Past Papers Pdf Senior 1 Maths Notes Senior 1 Maths Notes in Uganda Senior 1 Maths Notes Uganda Senior 1 Maths Questions Senior 1 Exams Senior 1 Work Senior 1 Work 2021 Senior 1 Work 2021 Uganda Senior 2 Maths Notes Senior 2 Maths Notes in Uganda Senior 2 Maths Notes Uganda Senior 2 Maths Questions Senior 2 Exams Senior 2 Work Senior 2 Work 2021 Senior 2 Work 2021 Uganda Senior 3 Maths Notes Senior 3 Maths Notes in Uganda Senior 3 Maths Notes Uganda Senior 3 Maths Questions Senior 3 Exams Senior 3 Work Senior 3 Work 2021 Senior 3 Work 2021 Uganda Senior 4 Maths Notes Senior 4 Maths Notes in Uganda Senior 4 Maths Notes Uganda Senior 4 Maths Questions Senior 4 Exams Senior 4 Work Senior 4 Work 2021 Senior 4 Work 2021 Uganda Senior Four Maths Notes Senior Four Maths Notes in Uganda Senior Four Maths Notes Uganda Senior Four Maths Questions Senior Four Exams Senior Four Work Senior Four Work 2021 Senior Four Work 2021 Uganda Senior One Maths Notes Senior One Maths Notes in Uganda Senior One Maths Notes Uganda Senior One Maths Questions Senior One Exams Senior One Work Senior One Work 2021 Senior One Work 2021 Uganda Senior Three Maths Notes Senior Three Maths Notes in Uganda Senior Three Maths Notes Uganda Senior Three Maths Questions Senior Three Exams Senior Three Work Senior Three Work 2021 Senior Three Work 2021 Uganda Senior Two Maths Notes Senior Two Maths Notes in Uganda Senior Two Maths Notes Pdf Senior Two Maths Notes Uganda Senior Two Maths Questions Senior Two Exams Senior Two Work Senior Two Work 2021 Senior Two Work 2021 Uganda St Mary's Kitende E Learning Standard High School Notes Standard High School Zana a Level Notes Standard High School Zana Com Notes Standard High School Zana E Learning Standard High School Zana E Learning Platform Standard High School Zana E-learning Platform Standard High School Zana Notes for Senior Two Standard High School Zana Notes Pdf Standard High School Zana Website Standard High Zana Notes Uace Maths Notes Uace Maths Notes Pdf Uce Maths Notes Pdf A Level Mathematics Notes Uganda Pdf Download Buddo Junior School Holiday Work Mathematics Notes for a Level Pdf Mathematics Notes Form 1 Mathematics Notes Form 3 the Mole Mathematics Notes Form 4 Mathematics Notes O Level Mathematics Notes O Level Uganda Mathematics Notes O Level Uganda Pdf Mathematics Notes Pdf Download Mathematics Notes Form 3 Mathematics Notes Form 3 Mathematics Questions and Answers Form Three Mathematics Syllabus Pdf Gayaza High School Mathematics Notes Gayaza High School Mathematics Notes Pdf Gayaza High School Mathematics Past Papers Gayaza High School Mathematics Past Papers Answers Gayaza High School Mathematics Past Papers Questions and Answers Gayaza High School E Learning Gayaza High School Elearning Platform Gayaza High School Examinations Gayaza High School Holiday Work Gayaza High School Notes Gayaza High School Notes 2022 Gayaza High School Notes 2023 Gayaza High School Notes 2024 Gayaza High School Notes Pdf Gayaza Junior School E Learning Platform Gayaza Junior School Holiday Work Gayaza O Level Mathematics Notes Home › Gayaza High School | Elearning Platform Kabojja Junior School Holiday Work Pdf Klb Mathematics Book 3 Klb Mathematics Form 3 Teachers Guide Klb Mathematics Notes List of Ugandan E-learning Platforms for Students Mirembe Junior School Holiday Work Ntare School Past Papers O Level Mathematics Notes Free Download O Level Mathematics Notes in Uganda O Level Mathematics Notes Pdf O Level Mathematics Notes Uganda Pdf O Level Mathematics Notes Uganda Pdf Download O Level General - Home › Gayaza High School | Elearning S.1 Mathematics Notes | Standard High School Zzana S.3 Mathematics Notes S.4 Mathematics 2 Notes | Standard High School Zzana Seeta High School Elearning Seeta High School Holiday Work Seeta High School Notes Seeta High School Notes Pdf Seeta High School Past Papers Seeta High School Past Papers Pdf Senior 1 Mathematics Notes Senior 1 Mathematics Notes in Uganda Senior 1 Mathematics Notes Uganda Senior 1 Mathematics Questions Senior 1 Exams Senior 1 Work Senior 1 Work 2021 Senior 1 Work 2021 Uganda Senior 2 Mathematics Notes Senior 2 Mathematics Notes in Uganda Senior 2 Mathematics Notes Uganda Senior 2 Mathematics Questions Senior 2 Exams Senior 2 Work Senior 2 Work 2021 Senior 2 Work 2021 Uganda Senior 3 Mathematics Notes Senior 3 Mathematics Notes in Uganda Senior 3 Mathematics Notes Uganda Senior 3 Mathematics Questions Senior 3 Exams Senior 3 Work Senior 3 Work 2021 Senior 3 Work 2021 Uganda Senior 4 Mathematics Notes Senior 4 Mathematics Notes in Uganda Senior 4 Mathematics Notes Uganda Senior 4 Mathematics Questions Senior 4 Exams Senior 4 Work Senior 4 Work 2021 Senior 4 Work 2021 Uganda Senior Four Mathematics Notes Senior Four Mathematics Notes in Uganda Senior Four Mathematics Notes Uganda Senior Four Mathematics Questions Senior Four Exams Senior Four Work Senior Four Work 2021 Senior Four Work 2021 Uganda Senior One Mathematics Notes Senior One Mathematics Notes in Uganda Senior One Mathematics Notes Uganda Senior One Mathematics Questions Senior One Exams Senior One Work Senior One Work 2021 Senior One Work 2021 Uganda Senior Three Mathematics Notes Senior Three Mathematics Notes in Uganda Senior Three Mathematics Notes Uganda Senior Three Mathematics Questions Senior Three Exams Senior Three Work Senior Three Work 2021 Senior Three Work 2021 Uganda Senior Two Mathematics Notes Senior Two Mathematics Notes in Uganda Senior Two Mathematics Notes Pdf Senior Two Mathematics Notes Uganda Senior Two Mathematics Questions Senior Two Exams Senior Two Work Senior Two Work 2021 Senior Two Work 2021 Uganda St Mary's Kitende E Learning Standard High School Notes Standard High School Zana a Level Notes Standard High School Zana Com Notes Standard High School Zana E Learning Standard High School Zana E Learning Platform Standard High School Zana E-learning Platform Standard High School Zana Notes for Senior Two Standard High School Zana Notes Pdf Standard High School Zana Website Standard High Zana Notes Uace Mathematics Notes Uace Mathematics Notes Pdf Uce Mathematics Notes Pdf Uce Mathematics Notes Pdf Download Uce Past Papers Uganda Secondary Schools E-learning Platform Uneb Marking Guides Pdf Uneb Past Papers and Answers Pdf Uce Maths Notes Pdf Download Uce Past Papers Uganda Secondary Schools E-learning Platform Uneb Marking Guides Pdf Uneb Past Papers and Answers Pdf Ntare School Past Papers Seeta High School Notes Pdf Seeta High School Past Papers Seeta High School Past Papers Pdf St Mary's Kitende Past Papers Uce Mathematics Notes Pdf Uce Past Papers Uneb Marking Guides Pdf Uneb Past Papers and Answers Pdf Gayaza High School Mathematics Notes Gayaza High School Notes Pdf O Level Mathematics Notes in Uganda O Level Maths Notes Free Download Senior Two Mathematics Notes Pdf Uace Mathematics Notes Uace Mathematics Notes Pdf Uce Math Notes Pdf Uce Math Notes Pdf Download Last Year Kcse Exams for Marths Last Year Kcse Exams for Maths Last Year Kcse Exams for Mathematics Last Year Kcse Past Papers for Marths Last Year Kcse Past Papers for Maths Last Year Kcse Past Papers for Mathematics Download Secondary Mathematics Mock Papers Solving Problems Mathematics Paper 2 Pdf Download Kcse 2021 Mathematics Paper 1 Marking Scheme Kcse 2021 Mathematics Paper 2 Marking Scheme Mathematics Paper 1 Questions and Answers Pdf Kcse Mathematics Questions and Answers Pdf Kcse Mock Papers Pdf 2020 Mathematics Paper 1 Questions and Answers Pdf 2020 Mathematics Paper 2 Questions and Answers Pdf "Legitimate KCPE Results Available Now" #1 Best KCPE Results Website "Kapkateny" Primary KCPE Result 2022 "Kapkateny" Primary KCPE Result 2023 "Kapkateny" Primary KCPE Result 2024 Top KCPE Candidate Faith Mumo Speaks 10 Best Perfomed Schools KCPE 2022 10 Best Perfomed Schools KCPE 2023 10 Best Perfomed Schools KCPE 2024 2022 Date When KCPE Will Be Released 2022 Exam Results 2022 Exam Timetable 2022 K C.p.e Results Day of Announcement of Results 2022 K.c.p.e Narok County. 2022 K.c.p.e Result in West Pokot County 2022 KCPE 2022 KCPE Best Pupils in the Country 2022 KCPE Certificate 2022 KCPE Countrywide, Www.knec Result Nairobi County, Www.knec. KCPE Results 2022.ac.ke, Www.knec.ac.ke 2022 KCPE Results, 2022 KCPE Date of the Release of Exam 2022 KCPE Exam Release 2022 KCPE Exam Results 2022 Set for Release This Week 2022 KCPE Exam Results Set for Release in April 2022 2022 KCPE Grading System 2022 KCPE in Kisumu County 2022 KCPE Leakage 2022 KCPE Number One People in the Country 2022 KCPE Perfomance Kisii County 2022 KCPE Prediction Past Papers 2022 KCPE Prediction Questions and Answers 2022 KCPE Predictions Trial Exams With Answers 2022 KCPE Questions and Answers 2022 KCPE Ranking 2022 KCPE Release 2022 KCPE Release Date 2022 KCPE Release is? 2022 KCPE Result 2022 KCPE Result KCPE 2022 KCPE Results 2022 KCPE Results 2022! 2022 KCPE Results Date 2022 KCPE Results Day of Announcement of Results 2022 KCPE Results Online 2022 KCPE Results Online, KCPE, KCPE 2022, KCPE, KCPE Result 2022, Knec 2022, Knec2022, 2022 KCPE Online Results, 2022 KCPE Results Release 2022 KCPE Results Release Date 2022 KCPE Results Releasing Day 2022 KCPE Results to Be Announced in April 2022 2022 KCPE Results to Be Announced in Before Mid-april 2022 2022 KCPE Results to Be Announced in Early April 2022 2022 KCPE Results to Be Released 2022 KCPE Results to Be Released in April 2022 2022 KCPE Results to Be Released in Before Mid-april 2022 2022 KCPE Results to Be Released in Early April 2022 2022 KCPE Results Top 100 Schools 2022 KCPE Results Will Be Released in April 2022 2022 KCPE Results, Knec Website, Knec KCPE Results, KCPE Results Online, https://www.advance-africa.com/KCPE-results.html 2022 KCPE Resuts Online, 2022 Kenya Certificate of Primary Education, Check KCPE Results 2022online, 2022 KCPE Timetable 2022 KCPE to Be Released on? - When is Form Four Results Released - Time for KCPE2022 Realese - Time of KCPE Release - Date of Form 4 Results Announcement - at What Time Will the KCPE Results Be Announced 2022 KCPE Top 100 Schools 2022 KCPE Top Pupils in the Country 2022 KCPE Top Schools 2022 KCPE Will Be Relised on? 2022 KCPE, KCPE Assessments to Be Concluded 2022 KCPE, KCPE Knec Results 2022, KCPE Results of 2022, Knec.co.ke, Top 100 Candidates KCPE 2022, KCPE 2022 Release, 2022 Online KCPE Results, 2022KCPE Results, Check KCPE 2022 Results Online, Download KCPE Results 2022, 2022 Result KCPE Results 2022 Top 100 Schools 2022 Top KCPE Meru County Candidates 2022 Top Schools 2023 Date When KCPE Will Be Released 2023 Exam Results 2023 Exam Timetable 2023 K C.p.e Results Day of Announcement of Results 2023 K.c.p.e Narok County. 2023 K.c.p.e Result in West Pokot County 2023 KCPE 2023 KCPE Best Pupils in the Country 2023 KCPE Certificate 2023 KCPE Countrywide, Www.knec Result Nairobi County, Www.knec. KCPE Results 2023.ac.ke, Www.knec.ac.ke 2023 KCPE Results, 2023 KCPE Date of the Release of Exam 2023 KCPE Exam Release 2023 KCPE Exam Results 2023 Set for Release This Week 2023 KCPE Exam Results Set for Release in April 2023 2023 KCPE Grading System 2023 KCPE in Kisumu County 2023 KCPE Leakage 2023 KCPE Number One People in the Country 2023 KCPE Perfomance Kisii County 2023 KCPE Prediction Past Papers 2023 KCPE Prediction Questions and Answers 2023 KCPE Predictions Trial Exams With Answers 2023 KCPE Questions and Answers 2023 KCPE Ranking 2023 KCPE Release 2023 KCPE Release Date 2023 KCPE Release is? 2023 KCPE Result 2023 KCPE Result KCPE 2023 KCPE Results 2023 KCPE Results 2023! 2023 KCPE Results Date 2023 KCPE Results Day of Announcement of Results 2023 KCPE Results Online 2023 KCPE Results Online, KCPE, KCPE 2023, KCPE, KCPE Result 2023, Knec 2023, Knec2023, 2023 KCPE Online Results, 2023 KCPE Results Release 2023 KCPE Results Release Date 2023 KCPE Results Releasing Day 2023 KCPE Results to Be Announced in April 2023 2023 KCPE Results to Be Announced in Before Mid-april 2023 2023 KCPE Results to Be Announced in Early April 2023 2023 KCPE Results to Be Released 2023 KCPE Results to Be Released in April 2023 2023 KCPE Results to Be Released in Before Mid-april 2023 2023 KCPE Results to Be Released in Early April 2023 2023 KCPE Results Top 100 Schools 2023 KCPE Results Will Be Released in April 2023 2023 KCPE Results, Knec Website, Knec KCPE Results, KCPE Results Online, https://www.advance-africa.com/KCPE-results.html 2023 KCPE Resuts Online, 2023 Kenya Certificate of Primary Education, Check KCPE Results 2023online, 2023 KCPE Timetable 2023 KCPE to Be Released on? - When is Form Four Results Released - Time for KCPE2023 Realese - Time of KCPE Release - Date of Form 4 Results Announcement - at What Time Will the KCPE Results Be Announced 2023 KCPE Top 100 Schools 2023 KCPE Top Pupils in the Country 2023 KCPE Top Schools 2023 KCPE Will Be Relised on? 2023 KCPE, KCPE Assessments to Be Concluded 2023 KCPE, KCPE Knec Results 2023, KCPE Results of 2023, Knec.co.ke, Top 100 Candidates KCPE 2023, KCPE 2023 Release, 2023 Online KCPE Results, 2023KCPE Results, Check KCPE 2023 Results Online, Download KCPE Results 2023, 2023 Result KCPE Results 2023 Top 100 Schools 2023 Top KCPE Meru County Candidates 2023 Top Schools 2024 Date When KCPE Will Be Released 2024 Exam Results 2024 Exam Timetable 2024 K C.p.e Results Day of Announcement of Results 2024 K.c.p.e Narok County. 2024 K.c.p.e Result in West Pokot County 2024 KCPE 2024 KCPE Best Pupils in the Country 2024 KCPE Certificate 2024 KCPE Countrywide, Www.knec Result Nairobi County, Www.knec. KCPE Results 2024.ac.ke, Www.knec.ac.ke 2024 KCPE Results, 2024 KCPE Date of the Release of Exam 2024 KCPE Exam Release 2024 KCPE Exam Results 2024 Set for Release This Week 2024 KCPE Exam Results Set for Release in April 2024 2024 KCPE Grading System 2024 KCPE in Kisumu County 2024 KCPE Leakage 2024 KCPE Number One People in the Country 2024 KCPE Perfomance Kisii County 2024 KCPE Prediction Past Papers 2024 KCPE Prediction Questions and Answers 2024 KCPE Predictions Trial Exams With Answers 2024 KCPE Questions and Answers 2024 KCPE Ranking 2024 KCPE Release 2024 KCPE Release Date 2024 KCPE Release is? 2024 KCPE Result 2024 KCPE Result KCPE 2024 KCPE Results 2024 KCPE Results 2024! 2024 KCPE Results Date 2024 KCPE Results Day of Announcement of Results 2024 KCPE Results Online 2024 KCPE Results Online, KCPE, KCPE 2024, KCPE, KCPE Result 2024, Knec 2024, Knec2024, 2024 KCPE Online Results, 2024 KCPE Results Release 2024 KCPE Results Release Date 2024 KCPE Results Releasing Day 2024 KCPE Results to Be Announced in April 2024 2024 KCPE Results to Be Announced in Before Mid-april 2024 2024 KCPE Results to Be Announced in Early April 2024 2024 KCPE Results to Be Released 2024 KCPE Results to Be Released in April 2024 2024 KCPE Results to Be Released in Before Mid-april 2024 2024 KCPE Results to Be Released in Early April 2024 2024 KCPE Results Top 100 Schools 2024 KCPE Results Will Be Released in April 2024 2024 KCPE Results, Knec Website, Knec KCPE Results, KCPE Results Online, https://www.advance-africa.com/KCPE-results.html 2024 KCPE Resuts Online, 2024 Kenya Certificate of Primary Education, Check KCPE Results 2024online, 2024 KCPE Timetable 2024 KCPE to Be Released on? - When is Form Four Results Released - Time for KCPE2024 Realese - Time of KCPE Release - Date of Form 4 Results Announcement - at What Time Will the KCPE Results Be Announced 2024 KCPE Top 100 Schools 2024 KCPE Top Pupils in the Country 2024 KCPE Top Schools 2024 KCPE Will Be Relised on? 2024 KCPE, KCPE Assessments to Be Concluded 2024 KCPE, KCPE Knec Results 2024, KCPE Results of 2024, Knec.co.ke, Top 100 Candidates KCPE 2024, KCPE 2024 Release, 2024 Online KCPE Results, 2024KCPE Results, Check KCPE 2024 Results Online, Download KCPE Results 2024, 2024 Result KCPE Results 2024 Top 100 Schools 2024 Top KCPE Meru County Candidates 2024 Top Schools 28539308 All School Results 32. Nakuru County Top 100 Schools in 2022 KCSE 32. Nakuru County Top 100 Schools in 2023 KCSE 32. Nakuru County Top 100 Schools in 2024 KCSE Acacia Crest Academy KCPE Results 2022 Acacia Crest Academy KCPE Results 2023 Acacia Crest Academy KCPE Results 2024 Advance Africa KCPE Past Papers Advice to KCPE Candidates Amend 2022 KCPE Results 2022! Amend 2023 KCPE Results 2023! Amend 2024 KCPE Results 2024! Annoncing of KCPE and KCPE Resurlt 2022 Annoncing of KCPE and KCPE Resurlt 2023 Annoncing of KCPE and KCPE Resurlt 2024 Announcement Date for KCPE Announcement of KCPE Results 2022 Announcement of KCPE Results 2023 Announcement of KCPE Results 2024 Are 2022 KCPE Certificates Out? Are 2023 KCPE Certificates Out? Are 2024 KCPE Certificates Out? Are Result Relise Today Are Result Relise Today - Yes Baringo County KCPE Results 2022 Baringo County KCPE Results 2022/2022 Baringo County KCPE Results 2023 Baringo County KCPE Results 2023/2023 Baringo County KCPE Results 2024 Baringo County KCPE Results 2024/2024 Basic Education Regulations, 2015 Best Candidates in KCPE in Elgeyomarakwet Best Candidates KCPE in Whow Country Best is Subject in KCPE 2022 Best is Subject in KCPE 2023 Best is Subject in KCPE 2024 Best Performing Primary Schools in Nairobi Best Primary Schools in Bomet County Best Private Primary Schools in Kiambu County Best Private Primary Schools in Nairobi Best School KCPE Result 2022 Best School KCPE Result 2023 Best School KCPE Result 2024 Best Schools Busia County KCPE Result 2022 Best Schools Busia County KCPE Result 2023 Best Schools Busia County KCPE Result 2024 Best Students in KCPE Last Year Bishop Gatimu KCPE 2022 Results Bishop Gatimu KCPE 2023 Results Bishop Gatimu KCPE 2024 Results Bomet County KCPE Results Bomet County KCPE Results 2022 Bomet County KCPE Results 2022/2022 Bomet County KCPE Results 2023 Bomet County KCPE Results 2023/2023 Bomet County KCPE Results 2024 Bomet County KCPE Results 2024/2024 Bomet County KCPE Results, KCPE Results, KCPE 2022 Result Online, KCPE Online Results 2022, KCPE Results Online 2022, Bomet County KCPE Results, KCPE Results, KCPE 2023 Result Online, KCPE Online Results 2023, KCPE Results Online 2023, Bomet County KCPE Results, KCPE Results, KCPE 2024 Result Online, KCPE Online Results 2024, KCPE Results Online 2024, Breaking News About 2022 Release of KCPE Results Breaking News About 2023 Release of KCPE Results Breaking News About 2024 Release of KCPE Results Breaking News of Education KCPE Result Breaking News on KCPE Results Bungoma County KCPE Results Bungoma County KCPE Results 2022 Bungoma County KCPE Results 2022/2022 Bungoma County KCPE Results 2023 Bungoma County KCPE Results 2023/2023 Bungoma County KCPE Results 2024 Bungoma County KCPE Results 2024/2024 Bungoma KCPE Busia County KCPE Results 2022 Busia County KCPE Results 2022/2022 Busia County KCPE Results 2023 Busia County KCPE Results 2023/2023 Busia County KCPE Results 2024 Busia County KCPE Results 2024/2024 Can I Get My KCPE Certificate Online? Can I Get My KCPE Result Slip Online? Can Knec Change a Student Name in KCPE Certificate? Central KCPE Results 2022 Central KCPE Results 2022/2022 Central KCPE Results 2023 Central KCPE Results 2023/2023 Central KCPE Results 2024 Central KCPE Results 2024/2024 Check My KCPE Results, Finding KCPE Result 2022, How Can I Get KCPE Results List of Any School, How Can One Check KCPE 2022 Results on Line, Check My KCPE Results, Finding KCPE Result 2023, How Can I Get KCPE Results List of Any School, How Can One Check KCPE 2023 Results on Line, Check My KCPE Results, Finding KCPE Result 2024, How Can I Get KCPE Results List of Any School, How Can One Check KCPE 2024 Results on Line, Check Up KCPE 2022 Result via Okoa Jahazi Check Up KCPE 2023 Result via Okoa Jahazi Check Up KCPE 2024 Result via Okoa Jahazi Class 8 KCPE Results Released Class 8 Results Released Class Eight KCPE Results Released Class Eight Results Released Code for Cheking Result of K.c.p.e Common Questions on KCPE 2022 Common Questions on KCPE 2023 Common Questions on KCPE 2024 Commonly Questions on KCPE 2022 Commonly Questions on KCPE 2023 Commonly Questions on KCPE 2024 Cut Off Marks for National Schools 2022 Cut Off Marks for National Schools 2023 Cut Off Marks for National Schools 2024 Date at Which KCPE Results Will Be Announced Date at Which KCPE Results Will Be Released Date of Announcement of KCPE 2022 Date of Announcement of KCPE 2022 the Date of Releasing KCPE 2022 Exam When is KCPE Exam Being Releast 2022 KCPE Results Releasing Day When Are the KCPE Results Coming Out When Will KCPE Results Be Announced? When Will Be the Realese of KCPE Results When Will KCPE Results 2022 Be Out? KCPE Results of the Year 2022 Will Be Released on When? The Date When KCPE Results 2022 Will Be Released When Will KCPE Result Be Out? Knec;KCPE 2022 Results Release Date When is KCPE Exam Being Releast When Will KCPE Exam Annoced the Date of Releasing KCPE 2022 Exam KCPE Releasing Day KCPE 2022 Results Release Date When Will KCPE 2022 Results Be Out? Which Date is 2022 KCPE Results Coming Out? Release of KCPE Exams 2022 When is the K.c.p.e Results Being Announced KCPE 2022 Result Release Date? K.c.p.e Details Annouencement Period KCPE 2022 Results Release Date Breaking News About 2022 Release of KCPE Results Annoncing of KCPE and KCPE Resurlt 2022 When Will KCPE Results Be Released KCPE 2022 Results Release Date When Will Results of KCPE 2022 Be Released ? 2022 Date When KCPE Will Be Released KCPE 2022 Result Announcement. KCPE 2022 Results Date of Release Updates Annoncing of KCPE and KCPE Resurlt 2022 Date Pf 2022 KCPE Results Announcement by Matiagi Release Date for KCPE KCPE 2022 Result Release Date KCPE Results 2022 Announcement KCPE 2022 Results Date KCPE 2022 Release Dates Which is the Best School in Kenya KCPE When is KCPE Results is Being Released When Will 2022 KCPE Exam Be Released When Will KCPE Results Be Released When Will 2022 KCPE Rests Be Released When Do KCPE Results 2022 Announce Update on KCPE the Knec Breaking News KCPE 2022 Result Release Day Date of Release of KCPE Exams 2022 Announcement Date for KCPE When Will KCPE 2022 Results Be Released? When is the Release of KCPE 2022 2022 K C.p.e Results Day of Announcement of Results Date of Release of 2022 KCPE Results When Are KCPE Results 2022 Being Released 2022 KCPE to Be Released on? - When is Form Four Results Released - Time for KCPE2022 Realese - Time of KCPE Release - Date of Form 4 Results Announcement - at What Time Will the KCPE Results Be Announced? Date of Announcement of KCPE 2023 Date of Announcement of KCPE 2023 the Date of Releasing KCPE 2023 Exam When is KCPE Exam Being Releast 2023 KCPE Results Releasing Day When Are the KCPE Results Coming Out When Will KCPE Results Be Announced? When Will Be the Realese of KCPE Results When Will KCPE Results 2023 Be Out? KCPE Results of the Year 2023 Will Be Released on When? The Date When KCPE Results 2023 Will Be Released When Will KCPE Result Be Out? Knec;KCPE 2023 Results Release Date When is KCPE Exam Being Releast When Will KCPE Exam Annoced the Date of Releasing KCPE 2023 Exam KCPE Releasing Day KCPE 2023 Results Release Date When Will KCPE 2023 Results Be Out? Which Date is 2023 KCPE Results Coming Out? Release of KCPE Exams 2023 When is the K.c.p.e Results Being Announced KCPE 2023 Result Release Date? K.c.p.e Details Annouencement Period KCPE 2023 Results Release Date Breaking News About 2023 Release of KCPE Results Annoncing of KCPE and KCPE Resurlt 2023 When Will KCPE Results Be Released KCPE 2023 Results Release Date When Will Results of KCPE 2023 Be Released ? 2023 Date When KCPE Will Be Released KCPE 2023 Result Announcement. KCPE 2023 Results Date of Release Updates Annoncing of KCPE and KCPE Resurlt 2023 Date Pf 2023 KCPE Results Announcement by Matiagi Release Date for KCPE KCPE 2023 Result Release Date KCPE Results 2023 Announcement KCPE 2023 Results Date KCPE 2023 Release Dates Which is the Best School in Kenya KCPE When is KCPE Results is Being Released When Will 2023 KCPE Exam Be Released When Will KCPE Results Be Released When Will 2023 KCPE Rests Be Released When Do KCPE Results 2023 Announce Update on KCPE the Knec Breaking News KCPE 2023 Result Release Day Date of Release of KCPE Exams 2023 Announcement Date for KCPE When Will KCPE 2023 Results Be Released? When is the Release of KCPE 2023 2023 K C.p.e Results Day of Announcement of Results Date of Release of 2023 KCPE Results When Are KCPE Results 2023 Being Released 2023 KCPE to Be Released on? - When is Form Four Results Released - Time for KCPE2023 Realese - Time of KCPE Release - Date of Form 4 Results Announcement - at What Time Will the KCPE Results Be Announced? Date of Announcement of KCPE 2024 Date of Announcement of KCPE 2024 the Date of Releasing KCPE 2024 Exam When is KCPE Exam Being Releast 2024 KCPE Results Releasing Day When Are the KCPE Results Coming Out When Will KCPE Results Be Announced? When Will Be the Realese of KCPE Results When Will KCPE Results 2024 Be Out? KCPE Results of the Year 2024 Will Be Released on When? The Date When KCPE Results 2024 Will Be Released When Will KCPE Result Be Out? Knec;KCPE 2024 Results Release Date When is KCPE Exam Being Releast When Will KCPE Exam Annoced the Date of Releasing KCPE 2024 Exam KCPE Releasing Day KCPE 2024 Results Release Date When Will KCPE 2024 Results Be Out? Which Date is 2024 KCPE Results Coming Out? Release of KCPE Exams 2024 When is the K.c.p.e Results Being Announced KCPE 2024 Result Release Date? K.c.p.e Details Annouencement Period KCPE 2024 Results Release Date Breaking News About 2024 Release of KCPE Results Annoncing of KCPE and KCPE Resurlt 2024 When Will KCPE Results Be Released KCPE 2024 Results Release Date When Will Results of KCPE 2024 Be Released ? 2024 Date When KCPE Will Be Released KCPE 2024 Result Announcement. KCPE 2024 Results Date of Release Updates Annoncing of KCPE and KCPE Resurlt 2024 Date Pf 2024 KCPE Results Announcement by Matiagi Release Date for KCPE KCPE 2024 Result Release Date KCPE Results 2024 Announcement KCPE 2024 Results Date KCPE 2024 Release Dates Which is the Best School in Kenya KCPE When is KCPE Results is Being Released When Will 2024 KCPE Exam Be Released When Will KCPE Results Be Released When Will 2024 KCPE Rests Be Released When Do KCPE Results 2024 Announce Update on KCPE the Knec Breaking News KCPE 2024 Result Release Day Date of Release of KCPE Exams 2024 Announcement Date for KCPE When Will KCPE 2024 Results Be Released? When is the Release of KCPE 2024 2024 K C.p.e Results Day of Announcement of Results Date of Release of 2024 KCPE Results When Are KCPE Results 2024 Being Released 2024 KCPE to Be Released on? - When is Form Four Results Released - Time for KCPE2024 Realese - Time of KCPE Release - Date of Form 4 Results Announcement - at What Time Will the KCPE Results Be Announced? Date of Release KCPE Date of Release of 2022 KCPE Results Date of Release of 2023 KCPE Results Date of Release of 2024 KCPE Results Date of Release of KCPE Exams 2022 Date of Release of KCPE Exams 2023 Date of Release of KCPE Exams 2024 Date Pf 2022 KCPE Results Announcement by Matiagi Date Pf 2023 KCPE Results Announcement by Matiagi Date Pf 2024 KCPE Results Announcement by Matiagi Date When KCPE 2022 Exam Results Will Be Released Date When KCPE 2023 Exam Results Will Be Released Date When KCPE 2024 Exam Results Will Be Released Day of Announcement of Results KCPE 2022 Day of Announcement of Results KCPE 2023 Day of Announcement of Results KCPE 2024 Day to Be Realeased KCPE Results Day to Be Released KCPE Results Download KCPE Past Papers With Answers Download KCPE Results 2022 Download KCPE Results 2023 Download KCPE Results 2024 Download KCPE Results Samburu County Download KCPE Timetable 2022 Download KCPE Timetable 2023 Download KCPE Timetable 2024 Eastern KCPE Results 2022 Eastern KCPE Results 2022/2022 Eastern KCPE Results 2023 Eastern KCPE Results 2023/2023 Eastern KCPE Results 2024 Eastern KCPE Results 2024/2024 Education Act 2013 Kenya Education Act 2019 Kenya Education Act Kenya Pdf Elgeyo-marakwet County KCPE Results 2022 Elgeyo-marakwet County KCPE Results 2022/2022 Elgeyo-marakwet County KCPE Results 2023 Elgeyo-marakwet County KCPE Results 2023/2023 Elgeyo-marakwet County KCPE Results 2024 Elgeyo-marakwet County KCPE Results 2024/2024 Embu County KCPE Results 2022 Embu County KCPE Results 2022/2022 Embu County KCPE Results 2023 Embu County KCPE Results 2023/2023 Embu County KCPE Results 2024 Embu County KCPE Results 2024/2024 Faith Mumo Results Per Subject Find Out How Many Marks Are Deducted in KCPE Find Result of Top Pupils Narok Count Find School KCPE Result Find the Marks That Are Standardized in KCPE First Student in KCPE Last Year First Students in KCPE Last Year Form Four Results 2022 Form Four Results 2023 Form Four Results 2024 Garissa County KCPE Results 2022 Garissa County KCPE Results 2022/2022 Garissa County KCPE Results 2023 Garissa County KCPE Results 2023/2023 Garissa County KCPE Results 2024 Garissa County KCPE Results 2024/2024 Girls 2022 KCPE Results Girls 2023 KCPE Results Girls 2024 KCPE Results Grading System 2022 Grading System 2023 Grading System 2024 Grading System KCPE 2022 Grading System KCPE 2023 Grading System KCPE 2024 Green Garden School KCPE Results 2022 Green Garden School KCPE Results 2023 Green Garden School KCPE Results 2024 Habari Za K C P I Matokeo Have Many People Passed in KCPE 2022 Have Many People Passed in KCPE 2023 Have Many People Passed in KCPE 2024 Here is How to Get Results for the Whole School High Peak Junior Academy KCPE Results 2022 High Peak Junior Academy KCPE Results 2023 High Peak Junior Academy KCPE Results 2024 High School 2022 KCPE Results High School 2023 KCPE Results High School 2024 KCPE Results Highest KCPE Highest KCPE Marks Ever in Kenya Highest KCPE Results Ever Highest KCPE Results Now Highest KCPE Results This Year Highest KCPE Results Today Homa Bay County KCPE Results 2022 Homa Bay County KCPE Results 2022/2022 Homa Bay County KCPE Results 2023 Homa Bay County KCPE Results 2023/2023 Homa Bay County KCPE Results 2024 Homa Bay County KCPE Results 2024/2024 How Can I Change My Name in KCPE Certificate? How Can I Check My 2022 KCPE Results Online? How Can I Check My 2023 KCPE Results Online? How Can I Check My 2024 KCPE Results Online? How Can I Check My KCPE 2022? How Can I Check My KCPE 2023? How Can I Check My KCPE 2024? How Can I Check My KCPE Certificate is Genuine? How Can I Check My KCPE Registration 2022? How Can I Check My KCPE Registration 2023? How Can I Check My KCPE Registration 2024? How Can I Check My KCPE Results for 2022 Whole School? How Can I Check My KCPE Results for 2023 Whole School? How Can I Check My KCPE Results for 2024 Whole School? How Can I Check My KCPE Results Online? How Can I Check My Knec Certificate? How Can I Check My Knec Result via Sms? How Can I Check My Result in KCPE How Can I Get Good Marks in KCPE? How Can I Get KCPE Result 2022 by Sms? How Can I Get KCPE Result 2023 by Sms? How Can I Get KCPE Result 2024 by Sms? How Can I Get KCPE Result by Sms? How Can I Get KCPE Result From 2022 by Sms? How Can I Get KCPE Result From 2023 by Sms? How Can I Get KCPE Result From 2024 by Sms? How Can I Get My KCPE Results 2022? How Can I Get My KCPE Results 2023? How Can I Get My KCPE Results 2024? How Can I Get My KCPE Results Online 2022? How Can I Get My KCPE Results Online 2023? How Can I Get My KCPE Results Online 2024? How Can I Get My KCPE School Results? How Can I Retrieve My KCPE Certificate? How Can I Verify My Degree Certificate Online? How Do I Access Knec Portal? How Do I Check My KCPE Results 2022? How Do I Check My KCPE Results 2023? How Do I Check My KCPE Results 2024? How Do I Contact Knec? How Do I Get My College Knec Results? How Do I Get My KCPE Results 2022? How Do I Get My KCPE Results 2023? How Do I Get My KCPE Results 2024? How Do I Get My KCPE Results for the Whole School? How Do I Get My Original Certificate if I Lost It? How Do I Get Results for the Whole School How Do I Know My KCPE Score? How Do I Pass KCPE? How Do I Verify a Degree Certificate? How Do You Get B+ in KCSE? How Do You Get KCPE Results Per School? How Long Does KCPE Certificate Take to Be Released? How Many Days to KCPE 2022 How Many Days to KCPE 2023 How Many Days to KCPE 2024 How Many Marks Are Deducted in KCPE How Many Marks Are Standardized in KCPE How Many Marks Are Standardized in KCPE 2022 How Many Marks Are Standardized in KCPE 2023 How Many Marks Are Standardized in KCPE 2024 How Many Marks is Required in Kakamega How Many Marks the First Pupil Got in KCPE 2022 How Many Marks the First Pupil Got in KCPE 2023 How Many Marks the First Pupil Got in KCPE 2024 How Many Students Sat for KCPE 2022? How Many Students Sat for KCPE 2023? How Many Students Sat for KCPE 2024? How to Check 2022 KCPE Results Online, How to Check KCPE Results 2022, How to Check KCPE Results 2022 Online, How to Check 2022 KCPE Results via Sms and Online Portal How to Check 2023 KCPE Results Online, How to Check KCPE Results 2023, How to Check KCPE Results 2023 Online, How to Check 2023 KCPE Results via Sms and Online Portal How to Check 2024 KCPE Results Online, How to Check KCPE Results 2024, How to Check KCPE Results 2024 Online, How to Check 2024 KCPE Results via Sms and Online Portal How to Check K.c.p.e Examination Results Online How to Check KCPE 2022 Results Online How to Check KCPE 2023 Results Online How to Check KCPE 2024 Results Online How to Check KCPE Results How to Check KCPE Results 2022 How to Check KCPE Results 2022 Online, Online KCPE Results 2022, KCPE Result 2022, Www.knec.ac.ke KCPE Results 2022, Www.kenya National Examination Council.com, How to Check KCPE Results 2022 | KCPE 2022 Release Date How to Check KCPE Results 2023 How to Check KCPE Results 2023 Online, Online KCPE Results 2023, KCPE Result 2023, Www.knec.ac.ke KCPE Results 2023, Www.kenya National Examination Council.com, How to Check KCPE Results 2023 | KCPE 2023 Release Date How to Check KCPE Results 2024 How to Check KCPE Results 2024 Online, Online KCPE Results 2024, KCPE Result 2024, Www.knec.ac.ke KCPE Results 2024, Www.kenya National Examination Council.com, How to Check KCPE Results 2024 | KCPE 2024 Release Date How to Check KCPE Results for the Whole School How to Check KCPE Results for the Whole School 2022 How to Check KCPE Results for the Whole School 2023 How to Check KCPE Results for the Whole School 2024 How to Check KCPE Results Online How to Check KCPE Results Online 2022 How to Check KCPE Results Online 2023 How to Check KCPE Results Online 2024 How to Check KCPE Results Online, How to Download KCPE Results 2022 for Acertain School, How to Get KCPE Results 2022 Online, How to Check KCPE Results Online, How to Download KCPE Results 2023 for Acertain School, How to Get KCPE Results 2023 Online, How to Check KCPE Results Online, How to Download KCPE Results 2024 for Acertain School, How to Get KCPE Results 2024 Online, How to Check KCPE Results via Sms How to Check KCPE Results, 2022 KCPE Online Results, KCPE Results 2022 Online Check, Results KCPE 2022, How to Check KCPE Results, 2023 KCPE Online Results, KCPE Results 2023 Online Check, Results KCPE 2023, How to Check KCPE Results, 2024 KCPE Online Results, KCPE Results 2024 Online Check, Results KCPE 2024, How to Check Kenya National Examination Council 2022, How to Check the School KCPE Results 2022, How to Find KCPE Results 2022, How to Check Kenya National Examination Council 2023, How to Check the School KCPE Results 2023, How to Find KCPE Results 2023, How to Check Kenya National Examination Council 2024, How to Check the School KCPE Results 2024, How to Find KCPE Results 2024, How to Check Your KCPE Results Online How to Check Your KCPE Results Online. How Can I See the KCPE Results Online? Download KCPE Results. Below Are the Knec KCPE Online Results. How to Download KCPE Result Slip How to Download KCPE Result Slip Online How to Download the 2022 KCPE Results for the Whole School How to Download the 2023 KCPE Results for the Whole School How to Download the 2024 KCPE Results for the Whole School How to Get 2022 KCPE Results, Http/www KCPE/results. How to Get 2023 KCPE Results, Http/www KCPE/results. How to Get 2024 KCPE Results, Http/www KCPE/results. How to Get KCPE Results How to Get KCPE Results 2022 How to Get KCPE Results 2023 How to Get KCPE Results 2024 How to Get Your KCPE Index Number How to Know Your KCPE Score? How to Pass KCPE 2022 How to Pass KCPE 2023 How to Pass KCPE 2024 How to Pass KCPE Kiswahili How to Pass KCPE Mathematics How to Pass KCSE 2022 How to Pass KCSE 2023 How to Pass KCSE 2024 How to Receive the 2022 KCPE Results How to Receive the 2023 KCPE Results How to Receive the 2024 KCPE Results How Will I Get My KCPE Result Http://www.knec.ac.ke Http://www.knec.ac.ke, Knec Website, Knec Results 2022 KCPE, KCPE 2022 Results Online, KCPE 2022 Result, KCPE 2022 Results, KCPE 2022 Online Results, Http://www.knec.ac.ke, Knec Website, Knec Results 2023 KCPE, KCPE 2023 Results Online, KCPE 2023 Result, KCPE 2023 Results, KCPE 2023 Online Results, Http://www.knec.ac.ke, Knec Website, Knec Results 2024 KCPE, KCPE 2024 Results Online, KCPE 2024 Result, KCPE 2024 Results, KCPE 2024 Online Results, Http://www.knec.ac.ke/ Humility Was My Secret, Top Girl in 2022 KCPE Wants to Be Neurosurgeon Humility Was My Secret, Top Girl in 2023 KCPE Wants to Be Neurosurgeon Humility Was My Secret, Top Girl in 2024 KCPE Wants to Be Neurosurgeon I.want.sms.number.for.today.KCPE.result Impacts of Free Primary Education in Kenya In KCPE 2022 Students With 300+ In KCPE 2022 Students With 400+ In KCPE 2023 Students With 300+ In KCPE 2023 Students With 400+ In KCPE 2024 Students With 300+ In KCPE 2024 Students With 400+ Information on K.c.p.e Results Annunciation Is It Possible to Change Name in Educational Certificates? Is KCPE 2022 Results Out? Is KCPE 2022 Results Out? Yes Is KCPE 2023 Results Out? Is KCPE 2023 Results Out? Yes Is KCPE 2024 Results Out? Is KCPE 2024 Results Out? Yes Is KCPE Being Released Today Is KCPE Easy? Is KCPE Result Released? Isiolo County KCPE Results 2022 Isiolo County KCPE Results 2022/2022 Isiolo County KCPE Results 2023 Isiolo County KCPE Results 2023/2023 Isiolo County KCPE Results 2024 Isiolo County KCPE Results 2024/2024 Jobs in Europe 2022☆☛✅;australia Jobs for Foreigners With Visa Sponsorship. Nursing Australia Jobs for Foreigners With Visa Sponsorship. Unskilled Australia Jobs for Foreigners With Visa Sponsorship. Factory Worker Jobs, Driver Jobs, Farm Jobs, Nanny Jobs, Teaching Job 2022 Jobs in Europe 2023☆☛✅;australia Jobs for Foreigners With Visa Sponsorship. Nursing Australia Jobs for Foreigners With Visa Sponsorship. Unskilled Australia Jobs for Foreigners With Visa Sponsorship. Factory Worker Jobs, Driver Jobs, Farm Jobs, Nanny Jobs, Teaching Job 2023 Jobs in Europe 2024☆☛✅;australia Jobs for Foreigners With Visa Sponsorship. Nursing Australia Jobs for Foreigners With Visa Sponsorship. Unskilled Australia Jobs for Foreigners With Visa Sponsorship. Factory Worker Jobs, Driver Jobs, Farm Jobs, Nanny Jobs, Teaching Job 2024 K.c.p.e K.c.p.e 2022 Answers K.c.p.e 2022 Grading System K.c.p.e 2022 Mathematics K.c.p.e 2022 Prediction K.c.p.e 2023 Answers K.c.p.e 2023 Grading System K.c.p.e 2023 Mathematics K.c.p.e 2023 Prediction K.c.p.e 2024 Answers K.c.p.e 2024 Grading System K.c.p.e 2024 Mathematics K.c.p.e 2024 Prediction K.c.p.e Details Annouencement Period K.c.p.e Result 2022 Index Number 23528214006 K.c.p.e Result 2023 Index Number 23528214006 K.c.p.e Result 2024 Index Number 23528214006 K.c.p.e Results K.c.p.e Results 2022 K.c.p.e Results 2023 K.c.p.e Results 2024 K.c.p.e Results Kakamega County K.c.p.e Results Release K.c.p.e.2022 K.c.p.e.2023 K.c.p.e.2024 K.c.s.e 2022 Results K.c.s.e 2023 Results K.c.s.e 2024 Results K.c.s.e Results 2022 K.c.s.e Results 2023 K.c.s.e Results 2024 K.n.e.c, KCPE Results for 2022, KCPE Top 100 Schools, Www.KCPE Results.com, Www.knec.co.ke KCPE 2022 Results, 2022KCPE Results, K.n.e.c, KCPE Results for 2023, KCPE Top 100 Schools, Www.KCPE Results.com, Www.knec.co.ke KCPE 2023 Results, 2023KCPE Results, K.n.e.c, KCPE Results for 2024, KCPE Top 100 Schools, Www.KCPE Results.com, Www.knec.co.ke KCPE 2024 Results, 2024KCPE Results, Kajiado County KCPE Results 2022 Kajiado County KCPE Results 2022/2022 Kajiado County KCPE Results 2023 Kajiado County KCPE Results 2023/2023 Kajiado County KCPE Results 2024 Kajiado County KCPE Results 2024/2024 Kakamega County KCPE Results 2022 Kakamega County KCPE Results 2022/2022 Kakamega County KCPE Results 2023 Kakamega County KCPE Results 2023/2023 Kakamega County KCPE Results 2024 Kakamega County KCPE Results 2024/2024 Kakamega High School KCPE Results Karima Girls High School 2022 KCPE Results Karima Girls High School 2023 KCPE Results Karima Girls High School 2024 KCPE Results KCPE KCPE 2 21 Top Ten Schools in Nakuru KCPE 2022 KCPE 2022 Analysis KCPE 2022 Announcement KCPE 2022 Answers KCPE 2022 Dates KCPE 2022 Day of Announcement of Results KCPE 2022 December Timetable KCPE 2022 Exam Results to Be Announced Today KCPE 2022 Exams KCPE 2022 Grading System KCPE 2022 Grading System Per Subject KCPE 2022 KCPE Results 2022 KCPE 2022 Results Www.knec.ac.ke Knec Www.knec.ac.ke 2022 KCPE Results KCPE Results 2022 Www.knec.com Knec Results 2022 Top Schools in 2022 KCPE KCPE Results 2022 Knec KCPE Results 2022 Knec KCPE Results 2022 KCPE Results Online KCPE Timetable 2022 KCPE 2022 Results Ranking KCPE Results 2022 Top 100 Schools KCPE Results 2022 Top 100 Schools KCPE Results 2022 Top 100 Schools Knec KCPE Results 2022 Top 100 Schools KCPE 2022 Top Schools in KCPE 2022 KCPE 2022 KCPE Results 2022 Knec Results for Technical Institutions Http://www.knec.ac.ke 2022 KCPE Results Www. Knec. Ac. Ke Knec Results for Technical Colleges Knec Results 2022 Www.knec.ac.ke 2022 KCPE Results Knec Results for Colleges Knec KCPE Results Www.knec.co.ke Knec.ac.ke Knec Results Www.knec Knec.com Knec Website Knec 2022 Results Www.knec.com 2022 KCPE 2022 Results Knec KCPE 2022 Results Www.knec.ac.ke 2022 Results Www.kneck.com Knec Results Online Www.knec.ke Knec Results for Colleges 2022 Www.kneck.ac.ke Knec.co.ke Knec Technical Exams Results Www.knec.ac Knec 2022 Knec Result 2022 Knec KCPE Results 2022 Knec News Http://www.knec.ac.ke/ Www.knec .ac.ke KCPE Top Schools 2022 KCPE Results Knec Exam Results Knec Result KCPE 2022 KCPE 2022 Results Ranking Knec Results 2022 Kneck Results 2022 KCPE Results Online KCPE Result 2022 Kuccps Cluster Points KCPE Results 2022 Knec KCPE Results 2022 Knec KCPE Results KCPE Top Schools 2022 2022 KCPE Result KCPE 2022 Result KCPE Results Knec KCPE Results Knec KCPE Results 2022 2022 Top Schools Top 100 Schools in KCPE 2022 KCPE Results 2022 Top 100 Schools KCPE 2022 Results Top 100 Schools Knec KCPE 2022 Results KCPE 2022 Top Schools KCPE Online Results Top Schools in KCPE 2022 KCPE Timetable 2022 2022 KCPE Results Top 100 Schools KCPE 2022 Results Online KCPE Results 2022 Release Date KCPE Result Slip Download Makueni County KCPE Results 2022 Knec 2022 KCPE Result KCPE Results 2022 Online Top 100 Schools in KCPE 2022 Results Top Schools KCPE 2022 KCPE 2022 Grading System 2022 KCPE Top 100 Schools in KCPE 2022 Released in 2022 Top 100 KCPE 2022 Top 100 Schools in 2022 KCPE Online KCPE Results 2022 KCPE2022 KCPE Results 2022 Top 100 Schools Top KCPE Schools 2022 KCPE Results 2022 Top 100 Schools KCPE 2022 Top 100 Schools KCPE Online KCPE 2022 Announcement KCPE Results for 2022 2022 KCPE Results Online Online KCPE Results KCPE 2022 Online Results 2022 KCPE Results Www.knec.ac.ke 2022 KCPE Results Http://www.knec.ac.ke/ Www.knec .ac.ke Www.KCPE Results 2022 KCPE Results of 2022 KCPE Ranking 2022 KCPE 2022 Ranking KCPE Performance 2022 KCPE 2022 Results Release Date KCPE Results 2022 Top Schools Top 100 Schools in 2022 KCPE Results 2022 KCPE Ranking KCPE Registration 2022 How to Check KCPE Results Online Www.knec.ac.ke 2022 KCPE Results KCPE 2022 Results Ranking When Will KCPE Results 2022 Be Released KCPE 2022 Results Release Date Www.knec.com 2022 2022 KCPE Top Schools Knec KCPE Results KCPE 2022 Grading System Kakamega High School KCPE Results KCPE Results 2022 Knec 2022 KCPE Results Www.kneck.com Knec KCPE Results 2022 KCPE Results for 2022 Release of KCPE Results 2022 2022 KCPE Results Date 2022 KCPE Grading System KCPE 2022 Results Knec KCPE 2022 Results KCPE Release Date 2022 KCPE Results of 2022 When Will KCPE 2022 Be Released KCPE2022 KCPE Grades and Points KCPE Results Release KCPE 2022 Results Per School KCPE 2022 Results Release Dates KCPE Registration 2022 KCPE Results When Are KCPE Results 2022 Being Released KCPE Results Announcement KCPE Results News 2022 KCPE Results KCPE Release Date Www.knec.ke KCPE Results 2022 Release 2022 KCPE Release KCPE Release 2022 KCPE Results Release Date KCPE Grading System 2022 KCPE KCPE Results 2022 Release Date KCPE 2022 Results Announcement 2022 KCPE Release Date When Will KCPE 2022 Results Be Released 2022 KCPE Results Release Release of KCPE 2022 Release of KCPE 2022 Results KCPE Timetable 2022 Release of 2022 KCPE Results KCPE Results Release Date KCPE 2022 Results KCPE 2022 Result KCPE 2022 Release 2022 KCPE Result KCPE Result 2022 KCPE KCPE Results 2022 KCPE Results 2022 Release Date Www.knec.co.ke KCPE Result 2022 KCPE 2022 Announcement Www.knec Knec Website 2022 KCPE Results KCPE Results Online KCPE 2022 Release Date Knec Knec News Www.knec.ac.ke Knec Grading System 2022 Knec KCPE Results Www.kneck.com Www.knec.com Knec.com Www.kneck.com Www.knec.co.ke Knec KCPE 2022 Results Knec Latest News Knec KCPE Results 2022 Www.knec.com 2022 Knec 2022 Results Knec Results 2022 Www.knec.ke Knec Results Knec.ac.ke Www.knec.ac.ke Knec KCPE Results KCPE Results Online Knec Results 2022 KCPE 2022 Announcement KCPE Result Slip 2022 Knec Website Www.knec Knec Grading System 2022 Knec.com Knec KCPE Results 2022 Knec.ac.ke KCPE Grading System 2022 KCPE Results 2022 Release Date KCPE Results 2022 Top 100 Schools Knec Exams 2022.grading Knec KCPE Results KCPE 2022 Results Ranking Knec KCPE Results 2022 KCPE 2022 Results Per School Knec Grading System 2022 Top 100 Schools in KCPE 2022 Released in 2022 KCPE 2022 Grading System School KCPE Results 2022 Top Schools in Machakos County KCPE 2022 KCPE Results Slip Bishop Gatimu KCPE 2022 Results Karima Girls High School 2022 KCPE Results 2022 KCPE Grading System Top Schools in Embu County KCPE 2022 KCPE Result 2022 KCPE Results 2022 Online Mangu High School 2022 KCPE Results KCPE 2022 Results Top 100 Schools KCPE 2022 Results KCPE Result Slip Download How to Download KCPE Result Slip KCPE Results 2022 Top 100 Schools Knec KCPE Results KCPE Results 2022 Alliance High School 2022 KCPE Results How to Download KCPE Result Slip KCPE Results Slip KCPE Result Slip 2022 KCPE Results 2022 Top 100 Schools KCPE Result Slip 2022 KCPE Results 2022 KCPE 2022 Results Moi Girls Isinya 2022 KCPE Results Girls 2022 KCPE Results Knec KCPE Results KCPE Results KCPE 2022 Grading System KCPE Results Release KCPE 2022 KCPE Results 2022 Top 100 Schools KCPE Grading System 2022 2022 KCPE Results KCPE 2022 Results Ranking KCPE Results Online KCPE 2022 Grading System KCPE Result 2022 Www.knec.ac.ke Knec Www.knec.com Knec KCPE Results Www.knec.co.ke Knec KCPE Results Knec Results Knec.ac.ke Http://www.knec.ac.ke Knec Website Knec KCPE Results 2022 Knec 2022 KCPE Results Knec 2022 Results Knec KCPE 2022 Results Www.knec Knec.co.ke Www.knec.com 2022 Knec.com Www.kneck.com Knec Result Knec KCPE 2022 Knec KCPE Www.knec.ac.com Knec Grading System 2022 Knec Result 2022 Www.knec.ac.ke/ Www.knec-results.ac.ke Knec KCPE Result 2022 KCPE 2022 Results KCPE Results 2022 How to Check KCPE Results Online Bungoma County KCPE Results Knec Exam Results KCPE Results 2022 Knec Results for Colleges KCPE 2022 Results Top 100 Schools Www.KCPE 2022 KCPE Result Slip Download KCPE 2022 Results KCPE 2022 KCPE Knec Results Knec Results KCPE 2022 KCPE Result 2022 Top 100 How to Check KCPE Results 2022 Knec News 2022 KCPE Exam Release Top 100 KCPE 2022 KCPE2022 KCPE 2022 Result KCPE Results 2022 Online How to Check KCPE Results Top Student KCPE 2022 KCPE 2022 Results Online Knec KCPE Result Www.knec Results.com Knec Results 2022 KCPE Kiambu County 2022 KCPE Results Www.KCPE Results 2022.com KCPE2022 Results Knec KCPE Result KCPE Results 2022 Top 100 Schools Top 100 KCPE Candidates 2022 Kitui County KCPE Results 2022 How to Get KCPE Results 2022 KCPE Results 2022 Top 100 Schools KCPE Exam Results Online KCPE Results 2022 2022 KCPE How to Check KCPE Results via Sms KCPE Code Bomet County KCPE Results Top Students KCPE 2022 2022 KCPE Results Online KCPE Results 2022 Top 100 Schools How to Check KCPE Results for the Whole School KCPE Results 2022 Release Date KCPE 2022 Results Ranking 2022 KCPE Results KCPE Results 2022 Top 100 Schools KCPE Results 2022 Per School Knec KCPE 2022 Results Download KCPE Grades and Points - Date for Release of KCPE - Date of Releasing 2022 KCPE Results - KCPE Results 2022 Release Date - Knec News Today KCPE 2022 KCPE Results 2022 KCPE 2022 Results Www.knec.ac.ke Knec Www.knec.ac.ke 2022 KCPE Results KCPE Results 2022 Www.knec.com Knec Results 2022 Top Schools in 2022 KCPE KCPE Results 2022 Knec KCPE Results 2022 Knec KCPE Results 2022 KCPE Results Online KCPE Timetable 2022 KCPE 2022 Results Ranking KCPE Results 2022 Top 100 Schools KCPE Results 2022 Top 100 Schools KCPE Results 2022 Top 100 Schools Knec KCPE Results 2022 Top 100 Schools KCPE 2022 Top Schools in KCPE 2022 KCPE 2022 KCPE Results 2022 Knec Results for Technical Institutions Http://www.knec.ac.ke 2022 KCPE Results Www. Knec. Ac. Ke Knec Results for Technical Colleges Knec Results 2022 Www.knec.ac.ke 2022 KCPE Results Knec Results for Colleges Knec KCPE Results Www.knec.co.ke Knec.ac.ke Knec Results Www.knec Knec.com Knec Website Knec 2022 Results Www.knec.com 2022 KCPE 2022 Results Knec KCPE 2022 Results Www.knec.ac.ke 2022 Results Www.kneck.com Knec Results Online Www.knec.ke Knec Results for Colleges 2022 Www.kneck.ac.ke Knec.co.ke Knec Technical Exams Results Www.knec.ac Knec 2022 Knec Result 2022 Knec KCPE Results 2022 Knec News Http://www.knec.ac.ke/ Www.knec .ac.ke KCPE Top Schools 2022 KCPE Results Knec Exam Results Knec Result KCPE 2022 KCPE 2022 Results Ranking Knec Results 2022 Kneck Results 2022 KCPE Results Online KCPE Result 2022 Kuccps Cluster Points KCPE Results 2022 Knec KCPE Results 2022 Knec KCPE Results KCPE Top Schools 2022 2022 KCPE Result KCPE 2022 Result KCPE Results Knec KCPE Results Knec KCPE Results 2022 2022 Top Schools Top 100 Schools in KCPE 2022 KCPE Results 2022 Top 100 Schools KCPE 2022 Results Top 100 Schools Knec KCPE 2022 Results KCPE 2022 Top Schools KCPE Online Results Top Schools in KCPE 2022 KCPE Timetable 2022 2022 KCPE Results Top 100 Schools KCPE 2022 Results Online KCPE Results 2022 Release Date KCPE Result Slip Download Makueni County KCPE Results 2022 Knec 2022 KCPE Result KCPE Results 2022 Online Top 100 Schools in KCPE 2022 Results Top Schools KCPE 2022 KCPE 2022 Grading System 2022 KCPE Top 100 Schools in KCPE 2022 Released in 2022 Top 100 KCPE 2022 Top 100 Schools in 2022 KCPE Online KCPE Results 2022 KCPE2022 KCPE Results 2022 Top 100 Schools Top KCPE Schools 2022 KCPE Results 2022 Top 100 Schools KCPE 2022 Top 100 Schools KCPE Online KCPE 2022 Announcement KCPE Results for 2022 2022 KCPE Results Online Online KCPE Results KCPE 2022 Online Results 2022 KCPE Results Www.knec.ac.ke 2022 KCPE Results Http://www.knec.ac.ke/ Www.knec .ac.ke Www.KCPE Results 2022 KCPE Results of 2022 KCPE Ranking 2022 KCPE 2022 Ranking KCPE Performance 2022 KCPE 2022 Results Release Date KCPE Results 2022 Top Schools Top 100 Schools in 2022 KCPE Results 2022 KCPE Ranking KCPE Registration 2022 How to Check KCPE Results Online Www.knec.ac.ke 2022 KCPE Results KCPE 2022 Results Ranking When Will KCPE Results 2022 Be Released KCPE 2022 Results Release Date Www.knec.com 2022 2022 KCPE Top Schools Knec KCPE Results KCPE 2022 Grading System Kakamega High School KCPE Results KCPE Results 2022 Knec 2022 KCPE Results Www.kneck.com Knec KCPE Results 2022 KCPE Results for 2022 Release of KCPE Results 2022 2022 KCPE Results Date 2022 KCPE Grading System KCPE 2022 Results Knec KCPE 2022 Results KCPE Release Date 2022 KCPE Results of 2022 When Will KCPE 2022 Be Released KCPE2022 KCPE Grades and Points KCPE Results Release KCPE 2022 Results Per School KCPE 2022 Results Release Dates KCPE Registration 2022 KCPE Results When Are KCPE Results 2022 Being Released KCPE Results Announcement KCPE Results News 2022 KCPE Results KCPE Release Date Www.knec.ke KCPE Results 2022 Release 2022 KCPE Release KCPE Release 2022 KCPE Results Release Date KCPE Grading System 2022 KCPE KCPE Results 2022 Release Date KCPE 2022 Results Announcement 2022 KCPE Release Date When Will KCPE 2022 Results Be Released 2022 KCPE Results Release Release of KCPE 2022 Release of KCPE 2022 Results KCPE Timetable 2022 Release of 2022 KCPE Results KCPE Results Release Date KCPE 2022 Results KCPE 2022 Result KCPE 2022 Release 2022 KCPE Result KCPE Result 2022 KCPE KCPE Results 2022 KCPE Results 2022 Release Date Www.knec.co.ke KCPE Result 2022 KCPE 2022 Announcement Www.knec Knec Website 2022 KCPE Results KCPE Results Online KCPE 2022 Release Date Knec Knec News Www.knec.ac.ke Knec Grading System 2022 Knec KCPE Results Www.kneck.com Www.knec.com Knec.com Www.kneck.com Www.knec.co.ke Knec KCPE 2022 Results Knec Latest News Knec KCPE Results 2022 Www.knec.com 2022 Knec 2022 Results Knec Results 2022 Www.knec.ke Knec Results Knec.ac.ke Www.knec.ac.ke Knec KCPE Results KCPE Results Online Knec Results 2022 KCPE 2022 Announcement KCPE Result Slip 2022 Knec Website Www.knec Knec Grading System 2022 Knec.com Knec KCPE Results 2022 Knec.ac.ke KCPE Grading System 2022 KCPE Results 2022 Release Date KCPE Results 2022 Top 100 Schools Knec Exams 2022.grading Knec KCPE Results KCPE 2022 Results Ranking Knec KCPE Results 2022 KCPE 2022 Results Per School Knec Grading System 2022 Top 100 Schools in KCPE 2022 Released in 2022 KCPE 2022 Grading System School KCPE Results 2022 Top Schools in Machakos County KCPE 2022 KCPE Results Slip Bishop Gatimu KCPE 2022 Results Karima Girls High School 2022 KCPE Results 2022 KCPE Grading System Top Schools in Embu County KCPE 2022 KCPE Result 2022 KCPE Results 2022 Online Mangu High School 2022 KCPE Results KCPE 2022 Results Top 100 Schools KCPE 2022 Results KCPE Result Slip Download How to Download KCPE Result Slip KCPE Results 2022 Top 100 Schools Knec KCPE Results KCPE Results 2022 School 2022 KCPE Results How to Download KCPE Result Slip KCPE Results Slip KCPE Result Slip 2022 KCPE Results 2022 Top 100 Schools KCPE Result Slip 2022 KCPE Results 2022 KCPE 2022 Results Moi Girls Isinya 2022 KCPE Results Girls 2022 KCPE Results Knec KCPE Results KCPE Results KCPE 2022 Grading System KCPE Results Release KCPE 2022 KCPE Results 2022 Top 100 Schools KCPE Grading System 2022 2022 KCPE Results KCPE 2022 Results Ranking KCPE Results Online KCPE 2022 Grading System KCPE Result 2022 Www.knec.ac.ke Knec Www.knec.com Knec KCPE Results Www.knec.co.ke Knec KCPE Results Knec Results Knec.ac.ke Http://www.knec.ac.ke Knec Website Knec KCPE Results 2022 Knec 2022 KCPE Results Knec 2022 Results Knec KCPE 2022 Results Www.knec Knec.co.ke Www.knec.com 2022 Knec.com Www.kneck.com Knec Result Knec KCPE 2022 Knec KCPE Www.knec.ac.com Knec Grading System 2022 Knec Result 2022 Www.knec.ac.ke/ Www.knec-results.ac.ke Knec KCPE Result 2022 KCPE 2022 Results KCPE Results 2022 How to Check KCPE Results Online Bungoma County KCPE Results Knec Exam Results KCPE Results 2022 Knec Results for Colleges KCPE 2022 Results Top 100 Schools Www.KCPE 2022 KCPE Result Slip Download KCPE 2022 Results KCPE 2022 KCPE Knec Results Knec Results KCPE 2022 KCPE Result 2022 Top 100 How to Check KCPE Results 2022 Knec News 2022 KCPE Exam Release Top 100 KCPE 2022 KCPE2022 KCPE 2022 Result KCPE Results 2022 Online How to Check KCPE Results Top Student KCPE 2022 KCPE 2022 Results Online Knec KCPE Result Www.knec Results.com Knec Results 2022 KCPE Kiambu County 2022 KCPE Results Www.KCPE Results 2022.com KCPE2022 Results Knec KCPE Result KCPE Results 2022 Top 100 Schools Top 100 KCPE Candidates 2022 Kitui County KCPE Results 2022 How to Get KCPE Results 2022 KCPE Results 2022 Top 100 Schools KCPE Exam Results Online KCPE Results 2022 2022 KCPE How to Check KCPE Results via Sms KCPE Code Bomet County KCPE Results Top Students KCPE 2022 2022 KCPE Results Online KCPE Results 2022 Top 100 Schools How to Check KCPE Results for the Whole School KCPE Results 2022 Release Date KCPE 2022 Results Ranking 2022 KCPE Results KCPE Results 2022 Top 100 Schools KCPE Results 2022 Per School Knec KCPE 2022 Results Download KCPE Grades and Points KCPE 2022 Leakage KCPE 2022 Leakage Biology KCPE 2022 Marking Scheme KCPE 2022 Maths KCPE 2022 News KCPE 2022 Online Results KCPE 2022 Online Results, KCPE 2022 Results Online, KCPE 2022 Result, KCPE Results 2022, 2022 KCPE Results Online, 2022 KCPE Online Results, KCPE 2022 Papers KCPE 2022 Prediction KCPE 2022 Prediction Questions KCPE 2022 Prediction Questions and Answers KCPE 2022 Ranking KCPE 2022 Release KCPE 2022 Release Date KCPE 2022 Release Dates KCPE 2022 Released; Receive Your KCPE 2022 Results KCPE 2022 Result KCPE 2022 Result Announcement. KCPE 2022 Result Release Date KCPE 2022 Result Release Date? KCPE 2022 Result Release Day KCPE 2022 Result Slips, Online KCPE 2022 Results, KCPE Results 2022, KCPE Results, KCPE, KCPE 2022, 2022 KCPE Results, KCPE 2022 Results, KCPE Result 2022, KCPE Class of 2022, KCPE Class of 2022, 2022 KCPE, KCPE Results 2022, KCPE Knec Results, KCPE Results Online for Knec, Www.knec.com, KCPE 2022 Result, KCPE 2022 Results, KCPE 2022 Results, Knec Website KCPE Results 2022, KCPE 2022 Result, KCPE. Results 2022, K.n.e.c Website, KCPE 2022. Online Results, KCPE Knec Results, KCPE Result, KCPE 2022 Result, Top 100 Schools in 2022 KCPE Results, KCPE 2022 Online, KCPE Result Online, Release of 2022 KCPE Results, KCPE 2022 Result, Top 100 Schools in KCPE 2022, KCPE2022, 2022 KCPE Results Online, 2022 KCPE Result, 2022 KCPE Results, KCPE 2022, KCPE Online, KCPE Results Kenya 2022, KCPE 2022 Results KCPE 2022 Results Analysis KCPE 2022 Results Announcement KCPE 2022 Results Baringo County KCPE 2022 Results Bomet County KCPE 2022 Results Bungoma County KCPE 2022 Results Busia County KCPE 2022 Results Central KCPE 2022 Results Date KCPE 2022 Results Date of Release Updates KCPE 2022 Results Download KCPE 2022 Results Eastern KCPE 2022 Results Elgeyo-marakwet County KCPE 2022 Results Embu County KCPE 2022 Results Garissa County KCPE 2022 Results Homa Bay County KCPE 2022 Results Isiolo County KCPE 2022 Results Kajiado County KCPE 2022 Results Kakamega County KCPE 2022 Results Kericho County KCPE 2022 Results Kiambu County KCPE 2022 Results Kilifi County KCPE 2022 Results Kirinyaga County KCPE 2022 Results Kisii County KCPE 2022 Results Kisumu County KCPE 2022 Results Kitui County KCPE 2022 Results Kwale County KCPE 2022 Results Laikipia County KCPE 2022 Results Lamu County KCPE 2022 Results Machakos County KCPE 2022 Results Makueni County KCPE 2022 Results Mandera County KCPE 2022 Results Marsabit County KCPE 2022 Results Meru County KCPE 2022 Results Migori County KCPE 2022 Results Mombasa County KCPE 2022 Results Murang'a County KCPE 2022 Results Nairobi KCPE 2022 Results Nairobi County KCPE 2022 Results Nakuru County KCPE 2022 Results Nandi County KCPE 2022 Results Narok County KCPE 2022 Results North Eastern KCPE 2022 Results Nyamira County KCPE 2022 Results Nyandarua County KCPE 2022 Results Nyanza KCPE 2022 Results Nyeri County KCPE 2022 Results Online KCPE 2022 Results Online Check, KCPE Results 2022 Per School, Top 100 Candidates KCPE 2022, Www.knec.co.ke KCPE 2022 Results, KCPE 2022 Results Out KCPE 2022 Results Out Tomorrow KCPE 2022 Results Per School KCPE 2022 Results Ranking KCPE 2022 Results Release KCPE 2022 Results Release Date KCPE 2022 Results Release Date by Knec KCPE 2022 Results Release Dates KCPE 2022 Results Release Day KCPE 2022 Results Release Day and Dates KCPE 2022 Results Rift Valley KCPE 2022 Results Samburu County KCPE 2022 Results Siaya County KCPE 2022 Results Taita-taveta County KCPE 2022 Results Tana River County KCPE 2022 Results Tharaka-nithi County KCPE 2022 Results Top 100 Schools KCPE 2022 Results Top 100 Students KCPE 2022 Results Top Schools KCPE 2022 Results Trans-nzoia County KCPE 2022 Results Turkana County KCPE 2022 Results Uasin Gishu County KCPE 2022 Results Vihiga County KCPE 2022 Results Wajir County KCPE 2022 Results West Pokot County KCPE 2022 Results Western KCPE 2022 Results Will Be Released Tomorrow KCPE 2022 Results, KCPE 2022 Online Results, KCPE Results 2022 Top 100 Schools, Knec KCPE 2022, Online KCPE Results, 2022 KCPE Results, KCPE 2022 Results, KCPE 2022 Results, KCPE, 2022 KCPE Results, KCPE Result 2022, KCPE Results 2022 Top 100 Schools, KCPE Results Online, KCPE Results 2022 Online, KCPE 2022 Results, Knec., Online KCPE Results, Top 100 Schools KCPE 2022, https://www.advance-africa.com/KCPE-results.html, KCPE 2022 Revised Final Timetable Download KCPE 2022 School Ranking KCPE 2022 Science KCPE 2022 Timetable KCPE 2022 Timetable Exam KCPE 2022 Timetable Pdf KCPE 2022 Top 100 Schools KCPE 2022 Top Schools KCPE 2022, Knec KCPE Results 2022, KCPE 2022 Results, KCPE, Knec Results, Knec KCPE Results 2022, Knec Results 2022, KCPE 2022/2022 Results Baringo County KCPE 2022/2022 Results Bomet County KCPE 2022/2022 Results Bungoma County KCPE 2022/2022 Results Busia County KCPE 2022/2022 Results Central KCPE 2022/2022 Results Eastern KCPE 2022/2022 Results Elgeyo-marakwet County KCPE 2022/2022 Results Embu County KCPE 2022/2022 Results Garissa County KCPE 2022/2022 Results Homa Bay County KCPE 2022/2022 Results Isiolo County KCPE 2022/2022 Results Kajiado County KCPE 2022/2022 Results Kakamega County KCPE 2022/2022 Results Kericho County KCPE 2022/2022 Results Kiambu County KCPE 2022/2022 Results Kilifi County KCPE 2022/2022 Results Kirinyaga County KCPE 2022/2022 Results Kisii County KCPE 2022/2022 Results Kisumu County KCPE 2022/2022 Results Kitui County KCPE 2022/2022 Results Kwale County KCPE 2022/2022 Results Laikipia County KCPE 2022/2022 Results Lamu County KCPE 2022/2022 Results Machakos County KCPE 2022/2022 Results Makueni County KCPE 2022/2022 Results Mandera County KCPE 2022/2022 Results Marsabit County KCPE 2022/2022 Results Meru County KCPE 2022/2022 Results Migori County KCPE 2022/2022 Results Mombasa County KCPE 2022/2022 Results Murang'a County KCPE 2022/2022 Results Nairobi KCPE 2022/2022 Results Nairobi County KCPE 2022/2022 Results Nakuru County KCPE 2022/2022 Results Nandi County KCPE 2022/2022 Results Narok County KCPE 2022/2022 Results North Eastern KCPE 2022/2022 Results Nyamira County KCPE 2022/2022 Results Nyandarua County KCPE 2022/2022 Results Nyanza KCPE 2022/2022 Results Nyeri County KCPE 2022/2022 Results Rift Valley KCPE 2022/2022 Results Samburu County KCPE 2022/2022 Results Siaya County KCPE 2022/2022 Results Taita-taveta County KCPE 2022/2022 Results Tana River County KCPE 2022/2022 Results Tharaka-nithi County KCPE 2022/2022 Results Trans-nzoia County KCPE 2022/2022 Results Turkana County KCPE 2022/2022 Results Uasin Gishu County KCPE 2022/2022 Results Vihiga County KCPE 2022/2022 Results Wajir County KCPE 2022/2022 Results West Pokot County KCPE 2022/2022 Results Western KCPE 2022online Result, KCPE Results 2022 Knec, KCPE Results2022, KCPE Results 2022 Online, Knec KCPE, Knec KCPE Results 2022 Online, KCPE 2023 KCPE 2023 Analysis KCPE 2023 Announcement KCPE 2023 Answers KCPE 2023 Dates KCPE 2023 Day of Announcement of Results KCPE 2023 December Timetable KCPE 2023 Exam Results to Be Announced Today KCPE 2023 Exams KCPE 2023 Grading System KCPE 2023 Grading System Per Subject KCPE 2023 KCPE Results 2023 KCPE 2023 Results Www.knec.ac.ke Knec Www.knec.ac.ke 2023 KCPE Results KCPE Results 2023 Www.knec.com Knec Results 2023 Top Schools in 2023 KCPE KCPE Results 2023 Knec KCPE Results 2023 Knec KCPE Results 2023 KCPE Results Online KCPE Timetable 2023 KCPE 2023 Results Ranking KCPE Results 2023 Top 100 Schools KCPE Results 2023 Top 100 Schools KCPE Results 2023 Top 100 Schools Knec KCPE Results 2023 Top 100 Schools KCPE 2023 Top Schools in KCPE 2023 KCPE 2023 KCPE Results 2023 Knec Results for Technical Institutions Http://www.knec.ac.ke 2023 KCPE Results Www. Knec. Ac. Ke Knec Results for Technical Colleges Knec Results 2023 Www.knec.ac.ke 2023 KCPE Results Knec Results for Colleges Knec KCPE Results Www.knec.co.ke Knec.ac.ke Knec Results Www.knec Knec.com Knec Website Knec 2023 Results Www.knec.com 2023 KCPE 2023 Results Knec KCPE 2023 Results Www.knec.ac.ke 2023 Results Www.kneck.com Knec Results Online Www.knec.ke Knec Results for Colleges 2023 Www.kneck.ac.ke Knec.co.ke Knec Technical Exams Results Www.knec.ac Knec 2023 Knec Result 2023 Knec KCPE Results 2023 Knec News Http://www.knec.ac.ke/ Www.knec .ac.ke KCPE Top Schools 2023 KCPE Results Knec Exam Results Knec Result KCPE 2023 KCPE 2023 Results Ranking Knec Results 2023 Kneck Results 2023 KCPE Results Online KCPE Result 2023 Kuccps Cluster Points KCPE Results 2023 Knec KCPE Results 2023 Knec KCPE Results KCPE Top Schools 2023 2023 KCPE Result KCPE 2023 Result KCPE Results Knec KCPE Results Knec KCPE Results 2023 2023 Top Schools Top 100 Schools in KCPE 2023 KCPE Results 2023 Top 100 Schools KCPE 2023 Results Top 100 Schools Knec KCPE 2023 Results KCPE 2023 Top Schools KCPE Online Results Top Schools in KCPE 2023 KCPE Timetable 2023 2023 KCPE Results Top 100 Schools KCPE 2023 Results Online KCPE Results 2023 Release Date KCPE Result Slip Download Makueni County KCPE Results 2023 Knec 2023 KCPE Result KCPE Results 2023 Online Top 100 Schools in KCPE 2023 Results Top Schools KCPE 2023 KCPE 2023 Grading System 2023 KCPE Top 100 Schools in KCPE 2023 Released in 2023 Top 100 KCPE 2023 Top 100 Schools in 2023 KCPE Online KCPE Results 2023 KCPE2023 KCPE Results 2023 Top 100 Schools Top KCPE Schools 2023 KCPE Results 2023 Top 100 Schools KCPE 2023 Top 100 Schools KCPE Online KCPE 2023 Announcement KCPE Results for 2023 2023 KCPE Results Online Online KCPE Results KCPE 2023 Online Results 2023 KCPE Results Www.knec.ac.ke 2023 KCPE Results Http://www.knec.ac.ke/ Www.knec .ac.ke Www.KCPE Results 2023 KCPE Results of 2023 KCPE Ranking 2023 KCPE 2023 Ranking KCPE Performance 2023 KCPE 2023 Results Release Date KCPE Results 2023 Top Schools Top 100 Schools in 2023 KCPE Results 2023 KCPE Ranking KCPE Registration 2023 How to Check KCPE Results Online Www.knec.ac.ke 2023 KCPE Results KCPE 2023 Results Ranking When Will KCPE Results 2023 Be Released KCPE 2023 Results Release Date Www.knec.com 2023 2023 KCPE Top Schools Knec KCPE Results KCPE 2023 Grading System Kakamega High School KCPE Results KCPE Results 2023 Knec 2023 KCPE Results Www.kneck.com Knec KCPE Results 2023 KCPE Results for 2023 Release of KCPE Results 2023 2023 KCPE Results Date 2023 KCPE Grading System KCPE 2023 Results Knec KCPE 2023 Results KCPE Release Date 2023 KCPE Results of 2023 When Will KCPE 2023 Be Released KCPE2023 KCPE Grades and Points KCPE Results Release KCPE 2023 Results Per School KCPE 2023 Results Release Dates KCPE Registration 2023 KCPE Results When Are KCPE Results 2023 Being Released KCPE Results Announcement KCPE Results News 2023 KCPE Results KCPE Release Date Www.knec.ke KCPE Results 2023 Release 2023 KCPE Release KCPE Release 2023 KCPE Results Release Date KCPE Grading System 2023 KCPE KCPE Results 2023 Release Date KCPE 2023 Results Announcement 2023 KCPE Release Date When Will KCPE 2023 Results Be Released 2023 KCPE Results Release Release of KCPE 2023 Release of KCPE 2023 Results KCPE Timetable 2023 Release of 2023 KCPE Results KCPE Results Release Date KCPE 2023 Results KCPE 2023 Result KCPE 2023 Release 2023 KCPE Result KCPE Result 2023 KCPE KCPE Results 2023 KCPE Results 2023 Release Date Www.knec.co.ke KCPE Result 2023 KCPE 2023 Announcement Www.knec Knec Website 2023 KCPE Results KCPE Results Online KCPE 2023 Release Date Knec Knec News Www.knec.ac.ke Knec Grading System 2023 Knec KCPE Results Www.kneck.com Www.knec.com Knec.com Www.kneck.com Www.knec.co.ke Knec KCPE 2023 Results Knec Latest News Knec KCPE Results 2023 Www.knec.com 2023 Knec 2023 Results Knec Results 2023 Www.knec.ke Knec Results Knec.ac.ke Www.knec.ac.ke Knec KCPE Results KCPE Results Online Knec Results 2023 KCPE 2023 Announcement KCPE Result Slip 2023 Knec Website Www.knec Knec Grading System 2023 Knec.com Knec KCPE Results 2023 Knec.ac.ke KCPE Grading System 2023 KCPE Results 2023 Release Date KCPE Results 2023 Top 100 Schools Knec Exams 2023.grading Knec KCPE Results KCPE 2023 Results Ranking Knec KCPE Results 2023 KCPE 2023 Results Per School Knec Grading System 2023 Top 100 Schools in KCPE 2023 Released in 2023 KCPE 2023 Grading System School KCPE Results 2023 Top Schools in Machakos County KCPE 2023 KCPE Results Slip Bishop Gatimu KCPE 2023 Results Karima Girls High School 2023 KCPE Results 2023 KCPE Grading System Top Schools in Embu County KCPE 2023 KCPE Result 2023 KCPE Results 2023 Online Mangu High School 2023 KCPE Results KCPE 2023 Results Top 100 Schools KCPE 2023 Results KCPE Result Slip Download How to Download KCPE Result Slip KCPE Results 2023 Top 100 Schools Knec KCPE Results KCPE Results 2023 Alliance High School 2023 KCPE Results How to Download KCPE Result Slip KCPE Results Slip KCPE Result Slip 2023 KCPE Results 2023 Top 100 Schools KCPE Result Slip 2023 KCPE Results 2023 KCPE 2023 Results Moi Girls Isinya 2023 KCPE Results Girls 2023 KCPE Results Knec KCPE Results KCPE Results KCPE 2023 Grading System KCPE Results Release KCPE 2023 KCPE Results 2023 Top 100 Schools KCPE Grading System 2023 2023 KCPE Results KCPE 2023 Results Ranking KCPE Results Online KCPE 2023 Grading System KCPE Result 2023 Www.knec.ac.ke Knec Www.knec.com Knec KCPE Results Www.knec.co.ke Knec KCPE Results Knec Results Knec.ac.ke Http://www.knec.ac.ke Knec Website Knec KCPE Results 2023 Knec 2023 KCPE Results Knec 2023 Results Knec KCPE 2023 Results Www.knec Knec.co.ke Www.knec.com 2023 Knec.com Www.kneck.com Knec Result Knec KCPE 2023 Knec KCPE Www.knec.ac.com Knec Grading System 2023 Knec Result 2023 Www.knec.ac.ke/ Www.knec-results.ac.ke Knec KCPE Result 2023 KCPE 2023 Results KCPE Results 2023 How to Check KCPE Results Online Bungoma County KCPE Results Knec Exam Results KCPE Results 2023 Knec Results for Colleges KCPE 2023 Results Top 100 Schools Www.KCPE 2023 KCPE Result Slip Download KCPE 2023 Results KCPE 2023 KCPE Knec Results Knec Results KCPE 2023 KCPE Result 2023 Top 100 How to Check KCPE Results 2023 Knec News 2023 KCPE Exam Release Top 100 KCPE 2023 KCPE2023 KCPE 2023 Result KCPE Results 2023 Online How to Check KCPE Results Top Student KCPE 2023 KCPE 2023 Results Online Knec KCPE Result Www.knec Results.com Knec Results 2023 KCPE Kiambu County 2023 KCPE Results Www.KCPE Results 2023.com KCPE2023 Results Knec KCPE Result KCPE Results 2023 Top 100 Schools Top 100 KCPE Candidates 2023 Kitui County KCPE Results 2023 How to Get KCPE Results 2023 KCPE Results 2023 Top 100 Schools KCPE Exam Results Online KCPE Results 2023 2023 KCPE How to Check KCPE Results via Sms KCPE Code Bomet County KCPE Results Top Students KCPE 2023 2023 KCPE Results Online KCPE Results 2023 Top 100 Schools How to Check KCPE Results for the Whole School KCPE Results 2023 Release Date KCPE 2023 Results Ranking 2023 KCPE Results KCPE Results 2023 Top 100 Schools KCPE Results 2023 Per School Knec KCPE 2023 Results Download KCPE Grades and Points - Date for Release of KCPE - Date of Releasing 2023 KCPE Results - KCPE Results 2023 Release Date - Knec News Today KCPE 2023 KCPE Results 2023 KCPE 2023 Results Www.knec.ac.ke Knec Www.knec.ac.ke 2023 KCPE Results KCPE Results 2023 Www.knec.com Knec Results 2023 Top Schools in 2023 KCPE KCPE Results 2023 Knec KCPE Results 2023 Knec KCPE Results 2023 KCPE Results Online KCPE Timetable 2023 KCPE 2023 Results Ranking KCPE Results 2023 Top 100 Schools KCPE Results 2023 Top 100 Schools KCPE Results 2023 Top 100 Schools Knec KCPE Results 2023 Top 100 Schools KCPE 2023 Top Schools in KCPE 2023 KCPE 2023 KCPE Results 2023 Knec Results for Technical Institutions Http://www.knec.ac.ke 2023 KCPE Results Www. Knec. Ac. Ke Knec Results for Technical Colleges Knec Results 2023 Www.knec.ac.ke 2023 KCPE Results Knec Results for Colleges Knec KCPE Results Www.knec.co.ke Knec.ac.ke Knec Results Www.knec Knec.com Knec Website Knec 2023 Results Www.knec.com 2023 KCPE 2023 Results Knec KCPE 2023 Results Www.knec.ac.ke 2023 Results Www.kneck.com Knec Results Online Www.knec.ke Knec Results for Colleges 2023 Www.kneck.ac.ke Knec.co.ke Knec Technical Exams Results Www.knec.ac Knec 2023 Knec Result 2023 Knec KCPE Results 2023 Knec News Http://www.knec.ac.ke/ Www.knec .ac.ke KCPE Top Schools 2023 KCPE Results Knec Exam Results Knec Result KCPE 2023 KCPE 2023 Results Ranking Knec Results 2023 Kneck Results 2023 KCPE Results Online KCPE Result 2023 Kuccps Cluster Points KCPE Results 2023 Knec KCPE Results 2023 Knec KCPE Results KCPE Top Schools 2023 2023 KCPE Result KCPE 2023 Result KCPE Results Knec KCPE Results Knec KCPE Results 2023 2023 Top Schools Top 100 Schools in KCPE 2023 KCPE Results 2023 Top 100 Schools KCPE 2023 Results Top 100 Schools Knec KCPE 2023 Results KCPE 2023 Top Schools KCPE Online Results Top Schools in KCPE 2023 KCPE Timetable 2023 2023 KCPE Results Top 100 Schools KCPE 2023 Results Online KCPE Results 2023 Release Date KCPE Result Slip Download Makueni County KCPE Results 2023 Knec 2023 KCPE Result KCPE Results 2023 Online Top 100 Schools in KCPE 2023 Results Top Schools KCPE 2023 KCPE 2023 Grading System 2023 KCPE Top 100 Schools in KCPE 2023 Released in 2023 Top 100 KCPE 2023 Top 100 Schools in 2023 KCPE Online KCPE Results 2023 KCPE2023 KCPE Results 2023 Top 100 Schools Top KCPE Schools 2023 KCPE Results 2023 Top 100 Schools KCPE 2023 Top 100 Schools KCPE Online KCPE 2023 Announcement KCPE Results for 2023 2023 KCPE Results Online Online KCPE Results KCPE 2023 Online Results 2023 KCPE Results Www.knec.ac.ke 2023 KCPE Results Http://www.knec.ac.ke/ Www.knec .ac.ke Www.KCPE Results 2023 KCPE Results of 2023 KCPE Ranking 2023 KCPE 2023 Ranking KCPE Performance 2023 KCPE 2023 Results Release Date KCPE Results 2023 Top Schools Top 100 Schools in 2023 KCPE Results 2023 KCPE Ranking KCPE Registration 2023 How to Check KCPE Results Online Www.knec.ac.ke 2023 KCPE Results KCPE 2023 Results Ranking When Will KCPE Results 2023 Be Released KCPE 2023 Results Release Date Www.knec.com 2023 2023 KCPE Top Schools Knec KCPE Results KCPE 2023 Grading System Kakamega High School KCPE Results KCPE Results 2023 Knec 2023 KCPE Results Www.kneck.com Knec KCPE Results 2023 KCPE Results for 2023 Release of KCPE Results 2023 2023 KCPE Results Date 2023 KCPE Grading System KCPE 2023 Results Knec KCPE 2023 Results KCPE Release Date 2023 KCPE Results of 2023 When Will KCPE 2023 Be Released KCPE2023 KCPE Grades and Points KCPE Results Release KCPE 2023 Results Per School KCPE 2023 Results Release Dates KCPE Registration 2023 KCPE Results When Are KCPE Results 2023 Being Released KCPE Results Announcement KCPE Results News 2023 KCPE Results KCPE Release Date Www.knec.ke KCPE Results 2023 Release 2023 KCPE Release KCPE Release 2023 KCPE Results Release Date KCPE Grading System 2023 KCPE KCPE Results 2023 Release Date KCPE 2023 Results Announcement 2023 KCPE Release Date When Will KCPE 2023 Results Be Released 2023 KCPE Results Release Release of KCPE 2023 Release of KCPE 2023 Results KCPE Timetable 2023 Release of 2023 KCPE Results KCPE Results Release Date KCPE 2023 Results KCPE 2023 Result KCPE 2023 Release 2023 KCPE Result KCPE Result 2023 KCPE KCPE Results 2023 KCPE Results 2023 Release Date Www.knec.co.ke KCPE Result 2023 KCPE 2023 Announcement Www.knec Knec Website 2023 KCPE Results KCPE Results Online KCPE 2023 Release Date Knec Knec News Www.knec.ac.ke Knec Grading System 2023 Knec KCPE Results Www.kneck.com Www.knec.com Knec.com Www.kneck.com Www.knec.co.ke Knec KCPE 2023 Results Knec Latest News Knec KCPE Results 2023 Www.knec.com 2023 Knec 2023 Results Knec Results 2023 Www.knec.ke Knec Results Knec.ac.ke Www.knec.ac.ke Knec KCPE Results KCPE Results Online Knec Results 2023 KCPE 2023 Announcement KCPE Result Slip 2023 Knec Website Www.knec Knec Grading System 2023 Knec.com Knec KCPE Results 2023 Knec.ac.ke KCPE Grading System 2023 KCPE Results 2023 Release Date KCPE Results 2023 Top 100 Schools Knec Exams 2023.grading Knec KCPE Results KCPE 2023 Results Ranking Knec KCPE Results 2023 KCPE 2023 Results Per School Knec Grading System 2023 Top 100 Schools in KCPE 2023 Released in 2023 KCPE 2023 Grading System School KCPE Results 2023 Top Schools in Machakos County KCPE 2023 KCPE Results Slip Bishop Gatimu KCPE 2023 Results Karima Girls High School 2023 KCPE Results 2023 KCPE Grading System Top Schools in Embu County KCPE 2023 KCPE Result 2023 KCPE Results 2023 Online Mangu High School 2023 KCPE Results KCPE 2023 Results Top 100 Schools KCPE 2023 Results KCPE Result Slip Download How to Download KCPE Result Slip KCPE Results 2023 Top 100 Schools Knec KCPE Results KCPE Results 2023 School 2023 KCPE Results How to Download KCPE Result Slip KCPE Results Slip KCPE Result Slip 2023 KCPE Results 2023 Top 100 Schools KCPE Result Slip 2023 KCPE Results 2023 KCPE 2023 Results Moi Girls Isinya 2023 KCPE Results Girls 2023 KCPE Results Knec KCPE Results KCPE Results KCPE 2023 Grading System KCPE Results Release KCPE 2023 KCPE Results 2023 Top 100 Schools KCPE Grading System 2023 2023 KCPE Results KCPE 2023 Results Ranking KCPE Results Online KCPE 2023 Grading System KCPE Result 2023 Www.knec.ac.ke Knec Www.knec.com Knec KCPE Results Www.knec.co.ke Knec KCPE Results Knec Results Knec.ac.ke Http://www.knec.ac.ke Knec Website Knec KCPE Results 2023 Knec 2023 KCPE Results Knec 2023 Results Knec KCPE 2023 Results Www.knec Knec.co.ke Www.knec.com 2023 Knec.com Www.kneck.com Knec Result Knec KCPE 2023 Knec KCPE Www.knec.ac.com Knec Grading System 2023 Knec Result 2023 Www.knec.ac.ke/ Www.knec-results.ac.ke Knec KCPE Result 2023 KCPE 2023 Results KCPE Results 2023 How to Check KCPE Results Online Bungoma County KCPE Results Knec Exam Results KCPE Results 2023 Knec Results for Colleges KCPE 2023 Results Top 100 Schools Www.KCPE 2023 KCPE Result Slip Download KCPE 2023 Results KCPE 2023 KCPE Knec Results Knec Results KCPE 2023 KCPE Result 2023 Top 100 How to Check KCPE Results 2023 Knec News 2023 KCPE Exam Release Top 100 KCPE 2023 KCPE2023 KCPE 2023 Result KCPE Results 2023 Online How to Check KCPE Results Top Student KCPE 2023 KCPE 2023 Results Online Knec KCPE Result Www.knec Results.com Knec Results 2023 KCPE Kiambu County 2023 KCPE Results Www.KCPE Results 2023.com KCPE2023 Results Knec KCPE Result KCPE Results 2023 Top 100 Schools Top 100 KCPE Candidates 2023 Kitui County KCPE Results 2023 How to Get KCPE Results 2023 KCPE Results 2023 Top 100 Schools KCPE Exam Results Online KCPE Results 2023 2023 KCPE How to Check KCPE Results via Sms KCPE Code Bomet County KCPE Results Top Students KCPE 2023 2023 KCPE Results Online KCPE Results 2023 Top 100 Schools How to Check KCPE Results for the Whole School KCPE Results 2023 Release Date KCPE 2023 Results Ranking 2023 KCPE Results KCPE Results 2023 Top 100 Schools KCPE Results 2023 Per School Knec KCPE 2023 Results Download KCPE Grades and Points KCPE 2023 Leakage KCPE 2023 Leakage Biology KCPE 2023 Marking Scheme KCPE 2023 Maths KCPE 2023 News KCPE 2023 Online Results KCPE 2023 Online Results, KCPE 2023 Results Online, KCPE 2023 Result, KCPE Results 2023, 2023 KCPE Results Online, 2023 KCPE Online Results, KCPE 2023 Papers KCPE 2023 Prediction KCPE 2023 Prediction Questions KCPE 2023 Prediction Questions and Answers KCPE 2023 Ranking KCPE 2023 Release KCPE 2023 Release Date KCPE 2023 Release Dates KCPE 2023 Released; Receive Your KCPE 2023 Results KCPE 2023 Result KCPE 2023 Result Announcement. KCPE 2023 Result Release Date KCPE 2023 Result Release Date? KCPE 2023 Result Release Day KCPE 2023 Result Slips, Online KCPE 2023 Results, KCPE Results 2023, KCPE Results, KCPE, KCPE 2023, 2023 KCPE Results, KCPE 2023 Results, KCPE Result 2023, KCPE Class of 2023, KCPE Class of 2023, 2023 KCPE, KCPE Results 2023, KCPE Knec Results, KCPE Results Online for Knec, Www.knec.com, KCPE 2023 Result, KCPE 2023 Results, KCPE 2023 Results, Knec Website KCPE Results 2023, KCPE 2023 Result, KCPE. Results 2023, K.n.e.c Website, KCPE 2023. Online Results, KCPE Knec Results, KCPE Result, KCPE 2023 Result, Top 100 Schools in 2023 KCPE Results, KCPE 2023 Online, KCPE Result Online, Release of 2023 KCPE Results, KCPE 2023 Result, Top 100 Schools in KCPE 2023, KCPE2023, 2023 KCPE Results Online, 2023 KCPE Result, 2023 KCPE Results, KCPE 2023, KCPE Online, KCPE Results Kenya 2023, KCPE 2023 Results KCPE 2023 Results Analysis KCPE 2023 Results Announcement KCPE 2023 Results Baringo County KCPE 2023 Results Bomet County KCPE 2023 Results Bungoma County KCPE 2023 Results Busia County KCPE 2023 Results Central KCPE 2023 Results Date KCPE 2023 Results Date of Release Updates KCPE 2023 Results Download KCPE 2023 Results Eastern KCPE 2023 Results Elgeyo-marakwet County KCPE 2023 Results Embu County KCPE 2023 Results Garissa County KCPE 2023 Results Homa Bay County KCPE 2023 Results Isiolo County KCPE 2023 Results Kajiado County KCPE 2023 Results Kakamega County KCPE 2023 Results Kericho County KCPE 2023 Results Kiambu County KCPE 2023 Results Kilifi County KCPE 2023 Results Kirinyaga County KCPE 2023 Results Kisii County KCPE 2023 Results Kisumu County KCPE 2023 Results Kitui County KCPE 2023 Results Kwale County KCPE 2023 Results Laikipia County KCPE 2023 Results Lamu County KCPE 2023 Results Machakos County KCPE 2023 Results Makueni County KCPE 2023 Results Mandera County KCPE 2023 Results Marsabit County KCPE 2023 Results Meru County KCPE 2023 Results Migori County KCPE 2023 Results Mombasa County KCPE 2023 Results Murang'a County KCPE 2023 Results Nairobi KCPE 2023 Results Nairobi County KCPE 2023 Results Nakuru County KCPE 2023 Results Nandi County KCPE 2023 Results Narok County KCPE 2023 Results North Eastern KCPE 2023 Results Nyamira County KCPE 2023 Results Nyandarua County KCPE 2023 Results Nyanza KCPE 2023 Results Nyeri County KCPE 2023 Results Online KCPE 2023 Results Online Check, KCPE Results 2023 Per School, Top 100 Candidates KCPE 2023, Www.knec.co.ke KCPE 2023 Results, KCPE 2023 Results Out KCPE 2023 Results Out Tomorrow KCPE 2023 Results Per School KCPE 2023 Results Ranking KCPE 2023 Results Release KCPE 2023 Results Release Date KCPE 2023 Results Release Date by Knec KCPE 2023 Results Release Dates KCPE 2023 Results Release Day KCPE 2023 Results Release Day and Dates KCPE 2023 Results Rift Valley KCPE 2023 Results Samburu County KCPE 2023 Results Siaya County KCPE 2023 Results Taita-taveta County KCPE 2023 Results Tana River County KCPE 2023 Results Tharaka-nithi County KCPE 2023 Results Top 100 Schools KCPE 2023 Results Top 100 Students KCPE 2023 Results Top Schools KCPE 2023 Results Trans-nzoia County KCPE 2023 Results Turkana County KCPE 2023 Results Uasin Gishu County KCPE 2023 Results Vihiga County KCPE 2023 Results Wajir County KCPE 2023 Results West Pokot County KCPE 2023 Results Western KCPE 2023 Results Will Be Released Tomorrow KCPE 2023 Results, KCPE 2023 Online Results, KCPE Results 2023 Top 100 Schools, Knec KCPE 2023, Online KCPE Results, 2023 KCPE Results, KCPE 2023 Results, KCPE 2023 Results, KCPE, 2023 KCPE Results, KCPE Result 2023, KCPE Results 2023 Top 100 Schools, KCPE Results Online, KCPE Results 2023 Online, KCPE 2023 Results, Knec., Online KCPE Results, Top 100 Schools KCPE 2023, https://www.advance-africa.com/KCPE-results.html, KCPE 2023 Revised Final Timetable Download KCPE 2023 School Ranking KCPE 2023 Science KCPE 2023 Timetable KCPE 2023 Timetable Exam KCPE 2023 Timetable Pdf KCPE 2023 Top 100 Schools KCPE 2023 Top Schools KCPE 2023, Knec KCPE Results 2023, KCPE 2023 Results, KCPE, Knec Results, Knec KCPE Results 2023, Knec Results 2023, KCPE 2023/2023 Results Baringo County KCPE 2023/2023 Results Bomet County KCPE 2023/2023 Results Bungoma County KCPE 2023/2023 Results Busia County KCPE 2023/2023 Results Central KCPE 2023/2023 Results Eastern KCPE 2023/2023 Results Elgeyo-marakwet County KCPE 2023/2023 Results Embu County KCPE 2023/2023 Results Garissa County KCPE 2023/2023 Results Homa Bay County KCPE 2023/2023 Results Isiolo County KCPE 2023/2023 Results Kajiado County KCPE 2023/2023 Results Kakamega County KCPE 2023/2023 Results Kericho County KCPE 2023/2023 Results Kiambu County KCPE 2023/2023 Results Kilifi County KCPE 2023/2023 Results Kirinyaga County KCPE 2023/2023 Results Kisii County KCPE 2023/2023 Results Kisumu County KCPE 2023/2023 Results Kitui County KCPE 2023/2023 Results Kwale County KCPE 2023/2023 Results Laikipia County KCPE 2023/2023 Results Lamu County KCPE 2023/2023 Results Machakos County KCPE 2023/2023 Results Makueni County KCPE 2023/2023 Results Mandera County KCPE 2023/2023 Results Marsabit County KCPE 2023/2023 Results Meru County KCPE 2023/2023 Results Migori County KCPE 2023/2023 Results Mombasa County KCPE 2023/2023 Results Murang'a County KCPE 2023/2023 Results Nairobi KCPE 2023/2023 Results Nairobi County KCPE 2023/2023 Results Nakuru County KCPE 2023/2023 Results Nandi County KCPE 2023/2023 Results Narok County KCPE 2023/2023 Results North Eastern KCPE 2023/2023 Results Nyamira County KCPE 2023/2023 Results Nyandarua County KCPE 2023/2023 Results Nyanza KCPE 2023/2023 Results Nyeri County KCPE 2023/2023 Results Rift Valley KCPE 2023/2023 Results Samburu County KCPE 2023/2023 Results Siaya County KCPE 2023/2023 Results Taita-taveta County KCPE 2023/2023 Results Tana River County KCPE 2023/2023 Results Tharaka-nithi County KCPE 2023/2023 Results Trans-nzoia County KCPE 2023/2023 Results Turkana County KCPE 2023/2023 Results Uasin Gishu County KCPE 2023/2023 Results Vihiga County KCPE 2023/2023 Results Wajir County KCPE 2023/2023 Results West Pokot County KCPE 2023/2023 Results Western KCPE 2023online Result, KCPE Results 2023 Knec, KCPE Results2023, KCPE Results 2023 Online, Knec KCPE, Knec KCPE Results 2023 Online, KCPE 2024 KCPE 2024 Analysis KCPE 2024 Announcement KCPE 2024 Answers KCPE 2024 Dates KCPE 2024 Day of Announcement of Results KCPE 2024 December Timetable KCPE 2024 Exam Results to Be Announced Today KCPE 2024 Exams KCPE 2024 Grading System KCPE 2024 Grading System Per Subject KCPE 2024 KCPE Results 2024 KCPE 2024 Results Www.knec.ac.ke Knec Www.knec.ac.ke 2024 KCPE Results KCPE Results 2024 Www.knec.com Knec Results 2024 Top Schools in 2024 KCPE KCPE Results 2024 Knec KCPE Results 2024 Knec KCPE Results 2024 KCPE Results Online KCPE Timetable 2024 KCPE 2024 Results Ranking KCPE Results 2024 Top 100 Schools KCPE Results 2024 Top 100 Schools KCPE Results 2024 Top 100 Schools Knec KCPE Results 2024 Top 100 Schools KCPE 2024 Top Schools in KCPE 2024 KCPE 2024 KCPE Results 2024 Knec Results for Technical Institutions Http://www.knec.ac.ke 2024 KCPE Results Www. Knec. Ac. Ke Knec Results for Technical Colleges Knec Results 2024 Www.knec.ac.ke 2024 KCPE Results Knec Results for Colleges Knec KCPE Results Www.knec.co.ke Knec.ac.ke Knec Results Www.knec Knec.com Knec Website Knec 2024 Results Www.knec.com 2024 KCPE 2024 Results Knec KCPE 2024 Results Www.knec.ac.ke 2024 Results Www.kneck.com Knec Results Online Www.knec.ke Knec Results for Colleges 2024 Www.kneck.ac.ke Knec.co.ke Knec Technical Exams Results Www.knec.ac Knec 2024 Knec Result 2024 Knec KCPE Results 2024 Knec News Http://www.knec.ac.ke/ Www.knec .ac.ke KCPE Top Schools 2024 KCPE Results Knec Exam Results Knec Result KCPE 2024 KCPE 2024 Results Ranking Knec Results 2024 Kneck Results 2024 KCPE Results Online KCPE Result 2024 Kuccps Cluster Points KCPE Results 2024 Knec KCPE Results 2024 Knec KCPE Results KCPE Top Schools 2024 2024 KCPE Result KCPE 2024 Result KCPE Results Knec KCPE Results Knec KCPE Results 2024 2024 Top Schools Top 100 Schools in KCPE 2024 KCPE Results 2024 Top 100 Schools KCPE 2024 Results Top 100 Schools Knec KCPE 2024 Results KCPE 2024 Top Schools KCPE Online Results Top Schools in KCPE 2024 KCPE Timetable 2024 2024 KCPE Results Top 100 Schools KCPE 2024 Results Online KCPE Results 2024 Release Date KCPE Result Slip Download Makueni County KCPE Results 2024 Knec 2024 KCPE Result KCPE Results 2024 Online Top 100 Schools in KCPE 2024 Results Top Schools KCPE 2024 KCPE 2024 Grading System 2024 KCPE Top 100 Schools in KCPE 2024 Released in 2024 Top 100 KCPE 2024 Top 100 Schools in 2024 KCPE Online KCPE Results 2024 KCPE2024 KCPE Results 2024 Top 100 Schools Top KCPE Schools 2024 KCPE Results 2024 Top 100 Schools KCPE 2024 Top 100 Schools KCPE Online KCPE 2024 Announcement KCPE Results for 2024 2024 KCPE Results Online Online KCPE Results KCPE 2024 Online Results 2024 KCPE Results Www.knec.ac.ke 2024 KCPE Results Http://www.knec.ac.ke/ Www.knec .ac.ke Www.KCPE Results 2024 KCPE Results of 2024 KCPE Ranking 2024 KCPE 2024 Ranking KCPE Performance 2024 KCPE 2024 Results Release Date KCPE Results 2024 Top Schools Top 100 Schools in 2024 KCPE Results 2024 KCPE Ranking KCPE Registration 2024 How to Check KCPE Results Online Www.knec.ac.ke 2024 KCPE Results KCPE 2024 Results Ranking When Will KCPE Results 2024 Be Released KCPE 2024 Results Release Date Www.knec.com 2024 2024 KCPE Top Schools Knec KCPE Results KCPE 2024 Grading System Kakamega High School KCPE Results KCPE Results 2024 Knec 2024 KCPE Results Www.kneck.com Knec KCPE Results 2024 KCPE Results for 2024 Release of KCPE Results 2024 2024 KCPE Results Date 2024 KCPE Grading System KCPE 2024 Results Knec KCPE 2024 Results KCPE Release Date 2024 KCPE Results of 2024 When Will KCPE 2024 Be Released KCPE2024 KCPE Grades and Points KCPE Results Release KCPE 2024 Results Per School KCPE 2024 Results Release Dates KCPE Registration 2024 KCPE Results When Are KCPE Results 2024 Being Released KCPE Results Announcement KCPE Results News 2024 KCPE Results KCPE Release Date Www.knec.ke KCPE Results 2024 Release 2024 KCPE Release KCPE Release 2024 KCPE Results Release Date KCPE Grading System 2024 KCPE KCPE Results 2024 Release Date KCPE 2024 Results Announcement 2024 KCPE Release Date When Will KCPE 2024 Results Be Released 2024 KCPE Results Release Release of KCPE 2024 Release of KCPE 2024 Results KCPE Timetable 2024 Release of 2024 KCPE Results KCPE Results Release Date KCPE 2024 Results KCPE 2024 Result KCPE 2024 Release 2024 KCPE Result KCPE Result 2024 KCPE KCPE Results 2024 KCPE Results 2024 Release Date Www.knec.co.ke KCPE Result 2024 KCPE 2024 Announcement Www.knec Knec Website 2024 KCPE Results KCPE Results Online KCPE 2024 Release Date Knec Knec News Www.knec.ac.ke Knec Grading System 2024 Knec KCPE Results Www.kneck.com Www.knec.com Knec.com Www.kneck.com Www.knec.co.ke Knec KCPE 2024 Results Knec Latest News Knec KCPE Results 2024 Www.knec.com 2024 Knec 2024 Results Knec Results 2024 Www.knec.ke Knec Results Knec.ac.ke Www.knec.ac.ke Knec KCPE Results KCPE Results Online Knec Results 2024 KCPE 2024 Announcement KCPE Result Slip 2024 Knec Website Www.knec Knec Grading System 2024 Knec.com Knec KCPE Results 2024 Knec.ac.ke KCPE Grading System 2024 KCPE Results 2024 Release Date KCPE Results 2024 Top 100 Schools Knec Exams 2024.grading Knec KCPE Results KCPE 2024 Results Ranking Knec KCPE Results 2024 KCPE 2024 Results Per School Knec Grading System 2024 Top 100 Schools in KCPE 2024 Released in 2024 KCPE 2024 Grading System School KCPE Results 2024 Top Schools in Machakos County KCPE 2024 KCPE Results Slip Bishop Gatimu KCPE 2024 Results Karima Girls High School 2024 KCPE Results 2024 KCPE Grading System Top Schools in Embu County KCPE 2024 KCPE Result 2024 KCPE Results 2024 Online Mangu High School 2024 KCPE Results KCPE 2024 Results Top 100 Schools KCPE 2024 Results KCPE Result Slip Download How to Download KCPE Result Slip KCPE Results 2024 Top 100 Schools Knec KCPE Results KCPE Results 2024 Alliance High School 2024 KCPE Results How to Download KCPE Result Slip KCPE Results Slip KCPE Result Slip 2024 KCPE Results 2024 Top 100 Schools KCPE Result Slip 2024 KCPE Results 2024 KCPE 2024 Results Moi Girls Isinya 2024 KCPE Results Girls 2024 KCPE Results Knec KCPE Results KCPE Results KCPE 2024 Grading System KCPE Results Release KCPE 2024 KCPE Results 2024 Top 100 Schools KCPE Grading System 2024 2024 KCPE Results KCPE 2024 Results Ranking KCPE Results Online KCPE 2024 Grading System KCPE Result 2024 Www.knec.ac.ke Knec Www.knec.com Knec KCPE Results Www.knec.co.ke Knec KCPE Results Knec Results Knec.ac.ke Http://www.knec.ac.ke Knec Website Knec KCPE Results 2024 Knec 2024 KCPE Results Knec 2024 Results Knec KCPE 2024 Results Www.knec Knec.co.ke Www.knec.com 2024 Knec.com Www.kneck.com Knec Result Knec KCPE 2024 Knec KCPE Www.knec.ac.com Knec Grading System 2024 Knec Result 2024 Www.knec.ac.ke/ Www.knec-results.ac.ke Knec KCPE Result 2024 KCPE 2024 Results KCPE Results 2024 How to Check KCPE Results Online Bungoma County KCPE Results Knec Exam Results KCPE Results 2024 Knec Results for Colleges KCPE 2024 Results Top 100 Schools Www.KCPE 2024 KCPE Result Slip Download KCPE 2024 Results KCPE 2024 KCPE Knec Results Knec Results KCPE 2024 KCPE Result 2024 Top 100 How to Check KCPE Results 2024 Knec News 2024 KCPE Exam Release Top 100 KCPE 2024 KCPE2024 KCPE 2024 Result KCPE Results 2024 Online How to Check KCPE Results Top Student KCPE 2024 KCPE 2024 Results Online Knec KCPE Result Www.knec Results.com Knec Results 2024 KCPE Kiambu County 2024 KCPE Results Www.KCPE Results 2024.com KCPE2024 Results Knec KCPE Result KCPE Results 2024 Top 100 Schools Top 100 KCPE Candidates 2024 Kitui County KCPE Results 2024 How to Get KCPE Results 2024 KCPE Results 2024 Top 100 Schools KCPE Exam Results Online KCPE Results 2024 2024 KCPE How to Check KCPE Results via Sms KCPE Code Bomet County KCPE Results Top Students KCPE 2024 2024 KCPE Results Online KCPE Results 2024 Top 100 Schools How to Check KCPE Results for the Whole School KCPE Results 2024 Release Date KCPE 2024 Results Ranking 2024 KCPE Results KCPE Results 2024 Top 100 Schools KCPE Results 2024 Per School Knec KCPE 2024 Results Download KCPE Grades and Points - Date for Release of KCPE - Date of Releasing 2024 KCPE Results - KCPE Results 2024 Release Date - Knec News Today KCPE 2024 KCPE Results 2024 KCPE 2024 Results Www.knec.ac.ke Knec Www.knec.ac.ke 2024 KCPE Results KCPE Results 2024 Www.knec.com Knec Results 2024 Top Schools in 2024 KCPE KCPE Results 2024 Knec KCPE Results 2024 Knec KCPE Results 2024 KCPE Results Online KCPE Timetable 2024 KCPE 2024 Results Ranking KCPE Results 2024 Top 100 Schools KCPE Results 2024 Top 100 Schools KCPE Results 2024 Top 100 Schools Knec KCPE Results 2024 Top 100 Schools KCPE 2024 Top Schools in KCPE 2024 KCPE 2024 KCPE Results 2024 Knec Results for Technical Institutions Http://www.knec.ac.ke 2024 KCPE Results Www. Knec. Ac. Ke Knec Results for Technical Colleges Knec Results 2024 Www.knec.ac.ke 2024 KCPE Results Knec Results for Colleges Knec KCPE Results Www.knec.co.ke Knec.ac.ke Knec Results Www.knec Knec.com Knec Website Knec 2024 Results Www.knec.com 2024 KCPE 2024 Results Knec KCPE 2024 Results Www.knec.ac.ke 2024 Results Www.kneck.com Knec Results Online Www.knec.ke Knec Results for Colleges 2024 Www.kneck.ac.ke Knec.co.ke Knec Technical Exams Results Www.knec.ac Knec 2024 Knec Result 2024 Knec KCPE Results 2024 Knec News Http://www.knec.ac.ke/ Www.knec .ac.ke KCPE Top Schools 2024 KCPE Results Knec Exam Results Knec Result KCPE 2024 KCPE 2024 Results Ranking Knec Results 2024 Kneck Results 2024 KCPE Results Online KCPE Result 2024 Kuccps Cluster Points KCPE Results 2024 Knec KCPE Results 2024 Knec KCPE Results KCPE Top Schools 2024 2024 KCPE Result KCPE 2024 Result KCPE Results Knec KCPE Results Knec KCPE Results 2024 2024 Top Schools Top 100 Schools in KCPE 2024 KCPE Results 2024 Top 100 Schools KCPE 2024 Results Top 100 Schools Knec KCPE 2024 Results KCPE 2024 Top Schools KCPE Online Results Top Schools in KCPE 2024 KCPE Timetable 2024 2024 KCPE Results Top 100 Schools KCPE 2024 Results Online KCPE Results 2024 Release Date KCPE Result Slip Download Makueni County KCPE Results 2024 Knec 2024 KCPE Result KCPE Results 2024 Online Top 100 Schools in KCPE 2024 Results Top Schools KCPE 2024 KCPE 2024 Grading System 2024 KCPE Top 100 Schools in KCPE 2024 Released in 2024 Top 100 KCPE 2024 Top 100 Schools in 2024 KCPE Online KCPE Results 2024 KCPE2024 KCPE Results 2024 Top 100 Schools Top KCPE Schools 2024 KCPE Results 2024 Top 100 Schools KCPE 2024 Top 100 Schools KCPE Online KCPE 2024 Announcement KCPE Results for 2024 2024 KCPE Results Online Online KCPE Results KCPE 2024 Online Results 2024 KCPE Results Www.knec.ac.ke 2024 KCPE Results Http://www.knec.ac.ke/ Www.knec .ac.ke Www.KCPE Results 2024 KCPE Results of 2024 KCPE Ranking 2024 KCPE 2024 Ranking KCPE Performance 2024 KCPE 2024 Results Release Date KCPE Results 2024 Top Schools Top 100 Schools in 2024 KCPE Results 2024 KCPE Ranking KCPE Registration 2024 How to Check KCPE Results Online Www.knec.ac.ke 2024 KCPE Results KCPE 2024 Results Ranking When Will KCPE Results 2024 Be Released KCPE 2024 Results Release Date Www.knec.com 2024 2024 KCPE Top Schools Knec KCPE Results KCPE 2024 Grading System Kakamega High School KCPE Results KCPE Results 2024 Knec 2024 KCPE Results Www.kneck.com Knec KCPE Results 2024 KCPE Results for 2024 Release of KCPE Results 2024 2024 KCPE Results Date 2024 KCPE Grading System KCPE 2024 Results Knec KCPE 2024 Results KCPE Release Date 2024 KCPE Results of 2024 When Will KCPE 2024 Be Released KCPE2024 KCPE Grades and Points KCPE Results Release KCPE 2024 Results Per School KCPE 2024 Results Release Dates KCPE Registration 2024 KCPE Results When Are KCPE Results 2024 Being Released KCPE Results Announcement KCPE Results News 2024 KCPE Results KCPE Release Date Www.knec.ke KCPE Results 2024 Release 2024 KCPE Release KCPE Release 2024 KCPE Results Release Date KCPE Grading System 2024 KCPE KCPE Results 2024 Release Date KCPE 2024 Results Announcement 2024 KCPE Release Date When Will KCPE 2024 Results Be Released 2024 KCPE Results Release Release of KCPE 2024 Release of KCPE 2024 Results KCPE Timetable 2024 Release of 2024 KCPE Results KCPE Results Release Date KCPE 2024 Results KCPE 2024 Result KCPE 2024 Release 2024 KCPE Result KCPE Result 2024 KCPE KCPE Results 2024 KCPE Results 2024 Release Date Www.knec.co.ke KCPE Result 2024 KCPE 2024 Announcement Www.knec Knec Website 2024 KCPE Results KCPE Results Online KCPE 2024 Release Date Knec Knec News Www.knec.ac.ke Knec Grading System 2024 Knec KCPE Results Www.kneck.com Www.knec.com Knec.com Www.kneck.com Www.knec.co.ke Knec KCPE 2024 Results Knec Latest News Knec KCPE Results 2024 Www.knec.com 2024 Knec 2024 Results Knec Results 2024 Www.knec.ke Knec Results Knec.ac.ke Www.knec.ac.ke Knec KCPE Results KCPE Results Online Knec Results 2024 KCPE 2024 Announcement KCPE Result Slip 2024 Knec Website Www.knec Knec Grading System 2024 Knec.com Knec KCPE Results 2024 Knec.ac.ke KCPE Grading System 2024 KCPE Results 2024 Release Date KCPE Results 2024 Top 100 Schools Knec Exams 2024.grading Knec KCPE Results KCPE 2024 Results Ranking Knec KCPE Results 2024 KCPE 2024 Results Per School Knec Grading System 2024 Top 100 Schools in KCPE 2024 Released in 2024 KCPE 2024 Grading System School KCPE Results 2024 Top Schools in Machakos County KCPE 2024 KCPE Results Slip Bishop Gatimu KCPE 2024 Results Karima Girls High School 2024 KCPE Results 2024 KCPE Grading System Top Schools in Embu County KCPE 2024 KCPE Result 2024 KCPE Results 2024 Online Mangu High School 2024 KCPE Results KCPE 2024 Results Top 100 Schools KCPE 2024 Results KCPE Result Slip Download How to Download KCPE Result Slip KCPE Results 2024 Top 100 Schools Knec KCPE Results KCPE Results 2024 School 2024 KCPE Results How to Download KCPE Result Slip KCPE Results Slip KCPE Result Slip 2024 KCPE Results 2024 Top 100 Schools KCPE Result Slip 2024 KCPE Results 2024 KCPE 2024 Results Moi Girls Isinya 2024 KCPE Results Girls 2024 KCPE Results Knec KCPE Results KCPE Results KCPE 2024 Grading System KCPE Results Release KCPE 2024 KCPE Results 2024 Top 100 Schools KCPE Grading System 2024 2024 KCPE Results KCPE 2024 Results Ranking KCPE Results Online KCPE 2024 Grading System KCPE Result 2024 Www.knec.ac.ke Knec Www.knec.com Knec KCPE Results Www.knec.co.ke Knec KCPE Results Knec Results Knec.ac.ke Http://www.knec.ac.ke Knec Website Knec KCPE Results 2024 Knec 2024 KCPE Results Knec 2024 Results Knec KCPE 2024 Results Www.knec Knec.co.ke Www.knec.com 2024 Knec.com Www.kneck.com Knec Result Knec KCPE 2024 Knec KCPE Www.knec.ac.com Knec Grading System 2024 Knec Result 2024 Www.knec.ac.ke/ Www.knec-results.ac.ke Knec KCPE Result 2024 KCPE 2024 Results KCPE Results 2024 How to Check KCPE Results Online Bungoma County KCPE Results Knec Exam Results KCPE Results 2024 Knec Results for Colleges KCPE 2024 Results Top 100 Schools Www.KCPE 2024 KCPE Result Slip Download KCPE 2024 Results KCPE 2024 KCPE Knec Results Knec Results KCPE 2024 KCPE Result 2024 Top 100 How to Check KCPE Results 2024 Knec News 2024 KCPE Exam Release Top 100 KCPE 2024 KCPE2024 KCPE 2024 Result KCPE Results 2024 Online How to Check KCPE Results Top Student KCPE 2024 KCPE 2024 Results Online Knec KCPE Result Www.knec Results.com Knec Results 2024 KCPE Kiambu County 2024 KCPE Results Www.KCPE Results 2024.com KCPE2024 Results Knec KCPE Result KCPE Results 2024 Top 100 Schools Top 100 KCPE Candidates 2024 Kitui County KCPE Results 2024 How to Get KCPE Results 2024 KCPE Results 2024 Top 100 Schools KCPE Exam Results Online KCPE Results 2024 2024 KCPE How to Check KCPE Results via Sms KCPE Code Bomet County KCPE Results Top Students KCPE 2024 2024 KCPE Results Online KCPE Results 2024 Top 100 Schools How to Check KCPE Results for the Whole School KCPE Results 2024 Release Date KCPE 2024 Results Ranking 2024 KCPE Results KCPE Results 2024 Top 100 Schools KCPE Results 2024 Per School Knec KCPE 2024 Results Download KCPE Grades and Points KCPE 2024 Leakage KCPE 2024 Leakage Biology KCPE 2024 Marking Scheme KCPE 2024 Maths KCPE 2024 News KCPE 2024 Online Results KCPE 2024 Online Results, KCPE 2024 Results Online, KCPE 2024 Result, KCPE Results 2024, 2024 KCPE Results Online, 2024 KCPE Online Results, KCPE 2024 Papers KCPE 2024 Prediction KCPE 2024 Prediction Questions KCPE 2024 Prediction Questions and Answers KCPE 2024 Ranking KCPE 2024 Release KCPE 2024 Release Date KCPE 2024 Release Dates KCPE 2024 Released; Receive Your KCPE 2024 Results KCPE 2024 Result KCPE 2024 Result Announcement. KCPE 2024 Result Release Date KCPE 2024 Result Release Date? KCPE 2024 Result Release Day KCPE 2024 Result Slips, Online KCPE 2024 Results, KCPE Results 2024, KCPE Results, KCPE, KCPE 2024, 2024 KCPE Results, KCPE 2024 Results, KCPE Result 2024, KCPE Class of 2024, KCPE Class of 2024, 2024 KCPE, KCPE Results 2024, KCPE Knec Results, KCPE Results Online for Knec, Www.knec.com, KCPE 2024 Result, KCPE 2024 Results, KCPE 2024 Results, Knec Website KCPE Results 2024, KCPE 2024 Result, KCPE. Results 2024, K.n.e.c Website, KCPE 2024. Online Results, KCPE Knec Results, KCPE Result, KCPE 2024 Result, Top 100 Schools in 2024 KCPE Results, KCPE 2024 Online, KCPE Result Online, Release of 2024 KCPE Results, KCPE 2024 Result, Top 100 Schools in KCPE 2024, KCPE2024, 2024 KCPE Results Online, 2024 KCPE Result, 2024 KCPE Results, KCPE 2024, KCPE Online, KCPE Results Kenya 2024, KCPE 2024 Results KCPE 2024 Results Analysis KCPE 2024 Results Announcement KCPE 2024 Results Baringo County KCPE 2024 Results Bomet County KCPE 2024 Results Bungoma County KCPE 2024 Results Busia County KCPE 2024 Results Central KCPE 2024 Results Date KCPE 2024 Results Date of Release Updates KCPE 2024 Results Download KCPE 2024 Results Eastern KCPE 2024 Results Elgeyo-marakwet County KCPE 2024 Results Embu County KCPE 2024 Results Garissa County KCPE 2024 Results Homa Bay County KCPE 2024 Results Isiolo County KCPE 2024 Results Kajiado County KCPE 2024 Results Kakamega County KCPE 2024 Results Kericho County KCPE 2024 Results Kiambu County KCPE 2024 Results Kilifi County KCPE 2024 Results Kirinyaga County KCPE 2024 Results Kisii County KCPE 2024 Results Kisumu County KCPE 2024 Results Kitui County KCPE 2024 Results Kwale County KCPE 2024 Results Laikipia County KCPE 2024 Results Lamu County KCPE 2024 Results Machakos County KCPE 2024 Results Makueni County KCPE 2024 Results Mandera County KCPE 2024 Results Marsabit County KCPE 2024 Results Meru County KCPE 2024 Results Migori County KCPE 2024 Results Mombasa County KCPE 2024 Results Murang'a County KCPE 2024 Results Nairobi KCPE 2024 Results Nairobi County KCPE 2024 Results Nakuru County KCPE 2024 Results Nandi County KCPE 2024 Results Narok County KCPE 2024 Results North Eastern KCPE 2024 Results Nyamira County KCPE 2024 Results Nyandarua County KCPE 2024 Results Nyanza KCPE 2024 Results Nyeri County KCPE 2024 Results Online KCPE 2024 Results Online Check, KCPE Results 2024 Per School, Top 100 Candidates KCPE 2024, Www.knec.co.ke KCPE 2024 Results, KCPE 2024 Results Out KCPE 2024 Results Out Tomorrow KCPE 2024 Results Per School KCPE 2024 Results Ranking KCPE 2024 Results Release KCPE 2024 Results Release Date KCPE 2024 Results Release Date by Knec KCPE 2024 Results Release Dates KCPE 2024 Results Release Day KCPE 2024 Results Release Day and Dates KCPE 2024 Results Rift Valley KCPE 2024 Results Samburu County KCPE 2024 Results Siaya County KCPE 2024 Results Taita-taveta County KCPE 2024 Results Tana River County KCPE 2024 Results Tharaka-nithi County KCPE 2024 Results Top 100 Schools KCPE 2024 Results Top 100 Students KCPE 2024 Results Top Schools KCPE 2024 Results Trans-nzoia County KCPE 2024 Results Turkana County KCPE 2024 Results Uasin Gishu County KCPE 2024 Results Vihiga County KCPE 2024 Results Wajir County KCPE 2024 Results West Pokot County KCPE 2024 Results Western KCPE 2024 Results Will Be Released Tomorrow KCPE 2024 Results, KCPE 2024 Online Results, KCPE Results 2024 Top 100 Schools, Knec KCPE 2024, Online KCPE Results, 2024 KCPE Results, KCPE 2024 Results, KCPE 2024 Results, KCPE, 2024 KCPE Results, KCPE Result 2024, KCPE Results 2024 Top 100 Schools, KCPE Results Online, KCPE Results 2024 Online, KCPE 2024 Results, Knec., Online KCPE Results, Top 100 Schools KCPE 2024, https://www.advance-africa.com/KCPE-results.html, KCPE 2024 Revised Final Timetable Download KCPE 2024 School Ranking KCPE 2024 Science KCPE 2024 Timetable KCPE 2024 Timetable Exam KCPE 2024 Timetable Pdf KCPE 2024 Top 100 Schools KCPE 2024 Top Schools KCPE 2024, Knec KCPE Results 2024, KCPE 2024 Results, KCPE, Knec Results, Knec KCPE Results 2024, Knec Results 2024, KCPE 2024/2024 Results Baringo County KCPE 2024/2024 Results Bomet County KCPE 2024/2024 Results Bungoma County KCPE 2024/2024 Results Busia County KCPE 2024/2024 Results Central KCPE 2024/2024 Results Eastern KCPE 2024/2024 Results Elgeyo-marakwet County KCPE 2024/2024 Results Embu County KCPE 2024/2024 Results Garissa County KCPE 2024/2024 Results Homa Bay County KCPE 2024/2024 Results Isiolo County KCPE 2024/2024 Results Kajiado County KCPE 2024/2024 Results Kakamega County KCPE 2024/2024 Results Kericho County KCPE 2024/2024 Results Kiambu County KCPE 2024/2024 Results Kilifi County KCPE 2024/2024 Results Kirinyaga County KCPE 2024/2024 Results Kisii County KCPE 2024/2024 Results Kisumu County KCPE 2024/2024 Results Kitui County KCPE 2024/2024 Results Kwale County KCPE 2024/2024 Results Laikipia County KCPE 2024/2024 Results Lamu County KCPE 2024/2024 Results Machakos County KCPE 2024/2024 Results Makueni County KCPE 2024/2024 Results Mandera County KCPE 2024/2024 Results Marsabit County KCPE 2024/2024 Results Meru County KCPE 2024/2024 Results Migori County KCPE 2024/2024 Results Mombasa County KCPE 2024/2024 Results Murang'a County KCPE 2024/2024 Results Nairobi KCPE 2024/2024 Results Nairobi County KCPE 2024/2024 Results Nakuru County KCPE 2024/2024 Results Nandi County KCPE 2024/2024 Results Narok County KCPE 2024/2024 Results North Eastern KCPE 2024/2024 Results Nyamira County KCPE 2024/2024 Results Nyandarua County KCPE 2024/2024 Results Nyanza KCPE 2024/2024 Results Nyeri County KCPE 2024/2024 Results Rift Valley KCPE 2024/2024 Results Samburu County KCPE 2024/2024 Results Siaya County KCPE 2024/2024 Results Taita-taveta County KCPE 2024/2024 Results Tana River County KCPE 2024/2024 Results Tharaka-nithi County KCPE 2024/2024 Results Trans-nzoia County KCPE 2024/2024 Results Turkana County KCPE 2024/2024 Results Uasin Gishu County KCPE 2024/2024 Results Vihiga County KCPE 2024/2024 Results Wajir County KCPE 2024/2024 Results West Pokot County KCPE 2024/2024 Results Western KCPE 2024online Result, KCPE Results 2024 Knec, KCPE Results2024, KCPE Results 2024 Online, Knec KCPE, Knec KCPE Results 2024 Online, KCPE and KCPE 2022 Exams KCPE and KCPE 2023 Exams KCPE and KCPE 2024 Exams KCPE and KCPE Dates 2022 KCPE and KCPE Dates 2023 KCPE and KCPE Dates 2024 KCPE and KCPE Exam Dates 2022 KCPE and KCPE Exam Dates 2023 KCPE and KCPE Exam Dates 2024 KCPE Answers KCPE Best Schools KCPE Biology Essay Questions and Answers KCPE Biology Practicals KCPE Biology Questions and Answers KCPE Breaking News KCPE Breaking News 2022 KCPE Breaking News 2023 KCPE Breaking News 2024 KCPE Certificate Download KCPE Chemistry Past Papers KCPE Code KCPE Code for Asking Results KCPE Dates 2022 KCPE Dates 2022 Kenya KCPE Dates 2023 KCPE Dates 2023 Kenya KCPE Dates 2024 KCPE Dates 2024 Kenya KCPE Download KCPE Exam 2022 Results Portal KCPE Exam 2023 Results Portal KCPE Exam 2024 Results Portal KCPE Exam Dates 2022 KCPE Exam Dates 2023 KCPE Exam Dates 2024 KCPE Exam Results KCPE Exams 2022 KCPE Exams 2023 KCPE Exams 2024 KCPE Grades and Points KCPE Grading 2022 KCPE Grading 2023 KCPE Grading 2024 KCPE Grading System KCPE Grading System 2022 KCPE Grading System 2022 Per Subject KCPE Grading System 2023 KCPE Grading System 2023 Per Subject KCPE Grading System 2024 KCPE Grading System 2024 Per Subject KCPE Grading System Per Subject KCPE Knec Results KCPE Knec Results, Knec 2022 KCPE Results, Knec Results Online, Online KCPE 2022 Results, Www.KCPE Results, Knec KCPE Result, Check KCPE Results Online, KCPE Knec Results, Knec 2023 KCPE Results, Knec Results Online, Online KCPE 2023 Results, Www.KCPE Results, Knec KCPE Result, Check KCPE Results Online, KCPE Knec Results, Knec 2024 KCPE Results, Knec Results Online, Online KCPE 2024 Results, Www.KCPE Results, Knec KCPE Result, Check KCPE Results Online, KCPE Leakage 2022 KCPE Leakage 2023 KCPE Leakage 2024 KCPE Marking Schemes KCPE Marks for Extra County Schools KCPE Marks for National Schools KCPE News KCPE News 2022 KCPE News 2023 KCPE News 2024 KCPE Online KCPE Online Results KCPE Online Results, Top 100 Schools KCPE 2022, KCPE Online Results 2022, Online 2022 KCPE Results, 2022 KCPE Result, How to Check for My 2022 Result KCPE, KCPE Online Results, Top 100 Schools KCPE 2023, KCPE Online Results 2023, Online 2023 KCPE Results, 2023 KCPE Result, How to Check for My 2023 Result KCPE, KCPE Online Results, Top 100 Schools KCPE 2024, KCPE Online Results 2024, Online 2024 KCPE Results, 2024 KCPE Result, How to Check for My 2024 Result KCPE, KCPE Past Exam Papers KCPE Past Papers KCPE Past Papers 2022 KCPE Past Papers 2023 KCPE Past Papers 2024 KCPE Performance KCPE Performance 2022 KCPE Performance 2023 KCPE Performance 2024 KCPE Prediction 2022 KCPE Prediction 2023 KCPE Prediction 2024 KCPE Questions 2022 KCPE Questions 2023 KCPE Questions 2024 KCPE Questions and Answers KCPE Ranking 2022 KCPE Ranking 2023 KCPE Ranking 2024 KCPE Registration KCPE Registration 2022 KCPE Registration 2023 KCPE Registration 2024 KCPE Release KCPE Release 2022 KCPE Release 2023 KCPE Release 2024 KCPE Release Date KCPE Release Date 2022 KCPE Release Date 2023 KCPE Release Date 2024 KCPE Release, Knec KCPE Results 2022 Online, Knec Results KCPE 2022, How to Check KCPE Results Online, the Kenya National Examination Council, KCPE Release, Knec KCPE Results 2023 Online, Knec Results KCPE 2023, How to Check KCPE Results Online, the Kenya National Examination Council, KCPE Release, Knec KCPE Results 2024 Online, Knec Results KCPE 2024, How to Check KCPE Results Online, the Kenya National Examination Council, KCPE Releasing Day KCPE Result KCPE Result 2022 KCPE Result 2022 KCPE Results KCPE Result 2022 Top 100 KCPE Result 2022, KCPE 2022 Results Online Check, KCPE Results 2022 Per School, Top 100 Students Nationally KCPE 2022, KCPE Results of 2022, KCPE Result 2022, Www.knec.ac.ke 2022 KCPE Results, Top 100 Schools KCPE 2022, KCPE Results for 2022, KCPE Results Top 100 Schools, KCPE Result 2023 KCPE Result 2023 KCPE Results KCPE Result 2023 Top 100 KCPE Result 2023, KCPE 2023 Results Online Check, KCPE Results 2023 Per School, Top 100 Students Nationally KCPE 2023, KCPE Results of 2023, KCPE Result 2023, Www.knec.ac.ke 2023 KCPE Results, Top 100 Schools KCPE 2023, KCPE Results for 2023, KCPE Results Top 100 Schools, KCPE Result 2024 KCPE Result 2024 KCPE Results KCPE Result 2024 Top 100 KCPE Result 2024, KCPE 2024 Results Online Check, KCPE Results 2024 Per School, Top 100 Students Nationally KCPE 2024, KCPE Results of 2024, KCPE Result 2024, Www.knec.ac.ke 2024 KCPE Results, Top 100 Schools KCPE 2024, KCPE Results for 2024, KCPE Results Top 100 Schools, KCPE Result Annous KCPE Result Slip 2022 KCPE Result Slip 2023 KCPE Result Slip 2024 KCPE Result Slip Download KCPE Result Slip Download 2022 KCPE Result Slip Download 2023 KCPE Result Slip Download 2024 KCPE Result Slip, KCPE Result Slip 2022, 2022 KCPE Result Slip, Online KCPE Results 2022, KCPE 2022 Result Slip, Bomet County KCPE Results, KCPE Result Slip, KCPE Result Slip 2023, 2023 KCPE Result Slip, Online KCPE Results 2023, KCPE 2023 Result Slip, Bomet County KCPE Results, KCPE Result Slip, KCPE Result Slip 2024, 2024 KCPE Result Slip, Online KCPE Results 2024, KCPE 2024 Result Slip, Bomet County KCPE Results, KCPE Results KCPE Results 2022 KCPE Results 2022 Announcement KCPE Results 2022 Date KCPE Results 2022 Downloads, KCPE Results 2022 Per County, Knec 2022 KCPE Results, Knec KCPE Online Results 2022, KCPE Results 2022 Full List KCPE Results 2022 Kenya KCPE Results 2022 Live KCPE Results 2022 Online KCPE Results 2022 Online, KCPE Results 2022 Top 100 Schools, KCPE 2022 Result, KCPE Results 2022, K.n.e.c, KCPE Results 2022 Per County KCPE Results 2022 Per School KCPE Results 2022 Per School, Top 100 Students Nationally KCPE 2022, KCPE Results 2022, Www.KCPE Results.com, KCPE 2022 Release, KCPE Results 2022 Release KCPE Results 2022 Release Date KCPE Results 2022 Release: How to Download KCPE KCPE Results 2022 Release: How to Download KCPE Exam Results KCPE Results 2022 Release: How to Download KCPE Result KCPE Results 2022 Release: How to Download KCPE Results KCPE Results 2022 Release: How to Get KCPE Results KCPE Results 2022 Release: How to Get Your KCPE Results KCPE Results 2022 Release: How to Obtain KCPE Results KCPE Results 2022 Top 100 Schools KCPE Results 2022 Top 100 Schools, KCPE Results, Knec KCPE 2022, Online KCPE Results, 2022 KCPE Results, KCPE Online, KCPE 2022 Results, KCPE2022 Results, Www.knec-results.ac.ke, KCPE Results 2022 Top 100 Students KCPE Results 2022 Top 100 Students, Knec 2022 KCPE, Www.kenya National Examination Council, Knec Exams, KCPE 2022 Release, KCPE Results 2022 Top Schools KCPE Results 2022, How to Check KCPE 2022 Results Online, Online 2022 KCPE Results, How to Check for My 2022 Result KCPE, KCPE Results 2022, Knec 2022 Results, Online KCPE Results 2022, 2022 KCPE Results, KCPE Online Results, KCPE Results 2022, Knec KCPE 2022 Results, Www.knec.co.ke, Knec Results 2022 KCPE, KCPE 2022 Result, KCPE 2022 Results, KCPE 2022 Online Results, Top 100 Students in KCPE 2022, KCPE Results 2023 KCPE Results 2023 Announcement KCPE Results 2023 Date KCPE Results 2023 Downloads, KCPE Results 2023 Per County, Knec 2023 KCPE Results, Knec KCPE Online Results 2023, KCPE Results 2023 Full List KCPE Results 2023 Kenya KCPE Results 2023 Live KCPE Results 2023 Online KCPE Results 2023 Online, KCPE Results 2023 Top 100 Schools, KCPE 2023 Result, KCPE Results 2023, K.n.e.c, KCPE Results 2023 Per County KCPE Results 2023 Per School KCPE Results 2023 Per School, Top 100 Students Nationally KCPE 2023, KCPE Results 2023, Www.KCPE Results.com, KCPE 2023 Release, KCPE Results 2023 Release KCPE Results 2023 Release Date KCPE Results 2023 Release: How to Download KCPE KCPE Results 2023 Release: How to Download KCPE Exam Results KCPE Results 2023 Release: How to Download KCPE Result KCPE Results 2023 Release: How to Download KCPE Results KCPE Results 2023 Release: How to Get KCPE Results KCPE Results 2023 Release: How to Get Your KCPE Results KCPE Results 2023 Release: How to Obtain KCPE Results KCPE Results 2023 Top 100 Schools KCPE Results 2023 Top 100 Schools, KCPE Results, Knec KCPE 2023, Online KCPE Results, 2023 KCPE Results, KCPE Online, KCPE 2023 Results, KCPE2023 Results, Www.knec-results.ac.ke, KCPE Results 2023 Top 100 Students KCPE Results 2023 Top 100 Students, Knec 2023 KCPE, Www.kenya National Examination Council, Knec Exams, KCPE 2023 Release, KCPE Results 2023 Top Schools KCPE Results 2023, How to Check KCPE 2023 Results Online, Online 2023 KCPE Results, How to Check for My 2023 Result KCPE, KCPE Results 2023, Knec 2023 Results, Online KCPE Results 2023, 2023 KCPE Results, KCPE Online Results, KCPE Results 2023, Knec KCPE 2023 Results, Www.knec.co.ke, Knec Results 2023 KCPE, KCPE 2023 Result, KCPE 2023 Results, KCPE 2023 Online Results, Top 100 Students in KCPE 2023, KCPE Results 2024 KCPE Results 2024 Announcement KCPE Results 2024 Date KCPE Results 2024 Downloads, KCPE Results 2024 Per County, Knec 2024 KCPE Results, Knec KCPE Online Results 2024, KCPE Results 2024 Full List KCPE Results 2024 Kenya KCPE Results 2024 Live KCPE Results 2024 Online KCPE Results 2024 Online, KCPE Results 2024 Top 100 Schools, KCPE 2024 Result, KCPE Results 2024, K.n.e.c, KCPE Results 2024 Per County KCPE Results 2024 Per School KCPE Results 2024 Per School, Top 100 Students Nationally KCPE 2024, KCPE Results 2024, Www.KCPE Results.com, KCPE 2024 Release, KCPE Results 2024 Release KCPE Results 2024 Release Date KCPE Results 2024 Release: How to Download KCPE KCPE Results 2024 Release: How to Download KCPE Exam Results KCPE Results 2024 Release: How to Download KCPE Result KCPE Results 2024 Release: How to Download KCPE Results KCPE Results 2024 Release: How to Get KCPE Results KCPE Results 2024 Release: How to Get Your KCPE Results KCPE Results 2024 Release: How to Obtain KCPE Results KCPE Results 2024 Top 100 Schools KCPE Results 2024 Top 100 Schools, KCPE Results, Knec KCPE 2024, Online KCPE Results, 2024 KCPE Results, KCPE Online, KCPE 2024 Results, KCPE2024 Results, Www.knec-results.ac.ke, KCPE Results 2024 Top 100 Students KCPE Results 2024 Top 100 Students, Knec 2024 KCPE, Www.kenya National Examination Council, Knec Exams, KCPE 2024 Release, KCPE Results 2024 Top Schools KCPE Results 2024, How to Check KCPE 2024 Results Online, Online 2024 KCPE Results, How to Check for My 2024 Result KCPE, KCPE Results 2024, Knec 2024 Results, Online KCPE Results 2024, 2024 KCPE Results, KCPE Online Results, KCPE Results 2024, Knec KCPE 2024 Results, Www.knec.co.ke, Knec Results 2024 KCPE, KCPE 2024 Result, KCPE 2024 Results, KCPE 2024 Online Results, Top 100 Students in KCPE 2024, KCPE Results Announcement KCPE Results Being Released Today KCPE Results for 2022 KCPE Results for 2023 KCPE Results for 2024 KCPE Results Kenya 2022, Knec Website KCPE Results 2022, Top 100 Students in KCPE 2022, Www.knec.ac.ke/exm, How to Check KCPE Results 2022 Online, How to Check KCPE Results 2022 Online, 2022 KCPE Results, KCPE2022 Results, Knec Website KCPE Results 2022, Www.knec.ac.ke/exm, Top 100 Students in KCPE 2022, KCPE Results Kenya 2023, Knec Website KCPE Results 2023, Top 100 Students in KCPE 2023, Www.knec.ac.ke/exm, How to Check KCPE Results 2023 Online, How to Check KCPE Results 2023 Online, 2023 KCPE Results, KCPE2023 Results, Knec Website KCPE Results 2023, Www.knec.ac.ke/exm, Top 100 Students in KCPE 2023, KCPE Results Kenya 2024, Knec Website KCPE Results 2024, Top 100 Students in KCPE 2024, Www.knec.ac.ke/exm, How to Check KCPE Results 2024 Online, How to Check KCPE Results 2024 Online, 2024 KCPE Results, KCPE2024 Results, Knec Website KCPE Results 2024, Www.knec.ac.ke/exm, Top 100 Students in KCPE 2024, KCPE Results News KCPE Results of 2022 KCPE Results of 2023 KCPE Results of 2024 KCPE Results of the Year 2022 Will Be Released on When? KCPE Results of the Year 2023 Will Be Released on When? KCPE Results of the Year 2024 Will Be Released on When? KCPE Results Online KCPE Results Per County KCPE Results Per School KCPE Results Per School 2022 KCPE Results Per School 2023 KCPE Results Per School 2024 KCPE Results Release KCPE Results Release Date KCPE Results Release Day and Dates by Knec KCPE Results Slip KCPE Results to Be Released in Days KCPE Results to Be Released in One Week KCPE Results to Be Released in Two Weeks KCPE Results to Be Released Within the Next Two Weeks KCPE Results Will Be Out in Two Weeks KCPE Results, Knec KCPE 2022, Knec KCPE 2022 Results, KCPE 2022, Online KCPE 2022 Results, 2022 KCPE Result, KCPE Results, Knec KCPE 2023, Knec KCPE 2023 Results, KCPE 2023, Online KCPE 2023 Results, 2023 KCPE Result, KCPE Results, Knec KCPE 2024, Knec KCPE 2024 Results, KCPE 2024, Online KCPE 2024 Results, 2024 KCPE Result, KCPE Revealed 2022 KCPE Revealed 2023 KCPE Revealed 2024 KCPE Revision Papers 2022 KCPE Revision Papers 2023 KCPE Revision Papers 2024 KCPE Revision Tips KCPE Social Studie Questions KCPE Social Studies Questions KCPE Timetable KCPE Timetable 2022 KCPE Timetable 2022 Download KCPE Timetable 2022 March KCPE Timetable 2023 KCPE Timetable 2023 Download KCPE Timetable 2023 March KCPE Timetable 2024 KCPE Timetable 2024 Download KCPE Timetable 2024 March KCPE Top 100 Schools 2022 KCPE Top 100 Schools 2023 KCPE Top 100 Schools 2024 KCPE Top Schools KCPE Top Schools 2022 KCPE Top Schools 2023 KCPE Top Schools 2024 KCPE Top Schools Per County KCPE Top Student and Their Marks in 2022 KCPE Top Student and Their Marks in 2023 KCPE Top Student and Their Marks in 2024 KCPE Top Students and Their Marks in 2022 KCPE Top Students and Their Marks in 2023 KCPE Top Students and Their Marks in 2024 KCPE Top Students Who Got 350 Marks and Above in Kenya KCPE Top Students Who Got 350 Marks in Kenya KCPE Will Be Realsed When KCPE Will Release on What Date and Time KCPE2022 KCPE2022 Results KCPE2022, Knec KCPE Results 2022, KCPE Online Results, 2022 KCPE Results Online, KCPE 2022 Results, KCPE 2022 Online Results, KCPE 2022, KCPE Online, Www.knec-results.ac.ke, KCPE2023 KCPE2023 Results KCPE2023, Knec KCPE Results 2023, KCPE Online Results, 2023 KCPE Results Online, KCPE 2023 Results, KCPE 2023 Online Results, KCPE 2023, KCPE Online, Www.knec-results.ac.ke, KCPE2024 KCPE2024 Results KCPE2024, Knec KCPE Results 2024, KCPE Online Results, 2024 KCPE Results Online, KCPE 2024 Results, KCPE 2024 Online Results, KCPE 2024, KCPE Online, Www.knec-results.ac.ke, KCPE: Top Special Needs Candidate Scores 420 Marks KCSE Timetable 2022 KCSE Timetable 2023 KCSE Timetable 2024 Kenvic School KCPE Results 2022 Kenvic School KCPE Results 2023 Kenvic School KCPE Results 2024 Kenya Basic Education Act 2017 Kenya Certificate of Primary Education 2022 Results Kenya Certificate of Primary Education 2023 Results Kenya Certificate of Primary Education 2024 Results Kenya Certificate Primary Education (KCPE) Results Kenya Examination Council Results 2022, Knec Exams, Top 100 Schools in Kenya, KCPE 2022 Release, Kenya Examination Council Results 2023, Knec Exams, Top 100 Schools in Kenya, KCPE 2023 Release, Kenya Examination Council Results 2024, Knec Exams, Top 100 Schools in Kenya, KCPE 2024 Release, Kenya National Examination Council - Knec, KCPE Results 2022, Knec KCPE 2022 Results, KCPE 2022 Result, KCPE 2022 Results, KCPE 2022 Online Results Kenya National Examination Council - Knec, KCPE Results 2023, Knec KCPE 2023 Results, KCPE 2023 Result, KCPE 2023 Results, KCPE 2023 Online Results Kenya National Examination Council - Knec, KCPE Results 2024, Knec KCPE 2024 Results, KCPE 2024 Result, KCPE 2024 Results, KCPE 2024 Online Results Kenya School Term Dates 2022 Kenya School Term Dates 2023 Kenya School Term Dates 2024 Kericho County KCPE Results 2022 Kericho County KCPE Results 2022/2022 Kericho County KCPE Results 2023 Kericho County KCPE Results 2023/2023 Kericho County KCPE Results 2024 Kericho County KCPE Results 2024/2024 Kiambu County 2022 KCPE Results Kiambu County 2023 KCPE Results Kiambu County 2024 KCPE Results Kiambu County KCPE Results 2022 Kiambu County KCPE Results 2022/2022 Kiambu County KCPE Results 2023 Kiambu County KCPE Results 2023/2023 Kiambu County KCPE Results 2024 Kiambu County KCPE Results 2024/2024 Kilifi County KCPE Results 2022 Kilifi County KCPE Results 2022/2022 Kilifi County KCPE Results 2023 Kilifi County KCPE Results 2023/2023 Kilifi County KCPE Results 2024 Kilifi County KCPE Results 2024/2024 Kilimani Junior Academy KCPE Results 2022 Kilimani Junior Academy KCPE Results 2023 Kilimani Junior Academy KCPE Results 2024 Kirinyaga County KCPE Results 2022 Kirinyaga County KCPE Results 2022/2022 Kirinyaga County KCPE Results 2023 Kirinyaga County KCPE Results 2023/2023 Kirinyaga County KCPE Results 2024 Kirinyaga County KCPE Results 2024/2024 Kisii County KCPE Results 2022 Kisii County KCPE Results 2022/2022 Kisii County KCPE Results 2023 Kisii County KCPE Results 2023/2023 Kisii County KCPE Results 2024 Kisii County KCPE Results 2024/2024 Kisumu County KCPE Results 2022 Kisumu County KCPE Results 2022/2022 Kisumu County KCPE Results 2023 Kisumu County KCPE Results 2023/2023 Kisumu County KCPE Results 2024 Kisumu County KCPE Results 2024/2024 Kitui County KCPE Results 2022 Kitui County KCPE Results 2022/2022 Kitui County KCPE Results 2023 Kitui County KCPE Results 2023/2023 Kitui County KCPE Results 2024 Kitui County KCPE Results 2024/2024 Knec Knec 2022 Knec 2022 KCPE Result Knec 2022 KCPE Results Knec 2022 KCPE Results, KCPE Results 2022, Knec.ac.ke, Knec Website, KCPE 2022 Results Online, Knec 2022 Results, KCPE Online Results 2022, KCPE2022 Results, Knec 2022 Results Knec 2022, Knec Result 2022, Knec KCPE Results 2022 Online, KCPE Results, KCPE Results 2022, KCPE 2022, https://www.advance-africa.com/KCPE-results.html, Knec 2023 Knec 2023 KCPE Result Knec 2023 KCPE Results Knec 2023 KCPE Results, KCPE Results 2023, Knec.ac.ke, Knec Website, KCPE 2023 Results Online, Knec 2023 Results, KCPE Online Results 2023, KCPE2023 Results, Knec 2023 Results Knec 2023, Knec Result 2023, Knec KCPE Results 2023 Online, KCPE Results, KCPE Results 2023, KCPE 2023, https://www.advance-africa.com/KCPE-results.html, Knec 2024 Knec 2024 KCPE Result Knec 2024 KCPE Results Knec 2024 KCPE Results, KCPE Results 2024, Knec.ac.ke, Knec Website, KCPE 2024 Results Online, Knec 2024 Results, KCPE Online Results 2024, KCPE2024 Results, Knec 2024 Results Knec 2024, Knec Result 2024, Knec KCPE Results 2024 Online, KCPE Results, KCPE Results 2024, KCPE 2024, https://www.advance-africa.com/KCPE-results.html, Knec Breaking News Knec Certificate Replacement Knec Contacts Knec Contracted Professionals Portal Knec Exam Results Knec Examiners Invitation Letters Knec Examiners Portal Knec Exams 2022.grading Knec Exams 2023.grading Knec Exams 2024.grading Knec Grading System 2022 Knec Grading System 2023 Knec Grading System 2024 Knec KCPE Knec KCPE - Kenya Breaking News; Knec News Now! Knec News Today. ☆ Knec Breaking News ☆ Knec Top News ☛ Read Now & Stay Informed. Knec Knec KCPE 2022 Knec KCPE 2022 Release; How to Receive KCPE Results Knec KCPE 2022 Results Knec KCPE 2022 Results Download Knec KCPE 2022 Results Release and How to Check via Sms Knec KCPE 2022 Results Release Day and Dates Knec KCPE 2022 Results Release Day and Dates Official Knec KCPE 2022 Results, Www.knec.co.ke, Http://www.knec.ac.ke, Knec Website, KCPE 2022 Result, KCPE 2022 Results, KCPE 2022 Online Results, Top 100 Students KCPE 2022, Knec KCPE 2022 Timetable Pdf: Subjects That Will Start, End Knec KCPE 2023 Knec KCPE 2023 Release; How to Receive KCPE Results Knec KCPE 2023 Results Knec KCPE 2023 Results Download Knec KCPE 2023 Results Release and How to Check via Sms Knec KCPE 2023 Results Release Day and Dates Knec KCPE 2023 Results Release Day and Dates Official Knec KCPE 2023 Results, Www.knec.co.ke, Http://www.knec.ac.ke, Knec Website, KCPE 2023 Result, KCPE 2023 Results, KCPE 2023 Online Results, Top 100 Students KCPE 2023, Knec KCPE 2023 Timetable Pdf: Subjects That Will Start, End Knec KCPE 2024 Knec KCPE 2024 Release; How to Receive KCPE Results Knec KCPE 2024 Results Knec KCPE 2024 Results Download Knec KCPE 2024 Results Release and How to Check via Sms Knec KCPE 2024 Results Release Day and Dates Knec KCPE 2024 Results Release Day and Dates Official Knec KCPE 2024 Results, Www.knec.co.ke, Http://www.knec.ac.ke, Knec Website, KCPE 2024 Result, KCPE 2024 Results, KCPE 2024 Online Results, Top 100 Students KCPE 2024, Knec KCPE 2024 Timetable Pdf: Subjects That Will Start, End Knec KCPE Result Knec KCPE Result 2022 Knec KCPE Result 2022, Knec KCPE Results Online, Knec Result 2022, Knec-KCPE Results 2022, Top Hundred Students in Knec KCPE Result 2023 Knec KCPE Result 2023, Knec KCPE Results Online, Knec Result 2023, Knec-KCPE Results 2023, Top Hundred Students in Knec KCPE Result 2024 Knec KCPE Result 2024, Knec KCPE Results Online, Knec Result 2024, Knec-KCPE Results 2024, Top Hundred Students in Knec KCPE Result, Knec KCPE Results 2022, KCPE Result 2022, Knec KCPE Results, KCPE 2022 Result, KCPE 2022 Results, KCPE 2022 Online Results, KCPE Online, Knec KCPE Result, Knec KCPE Results 2023, KCPE Result 2023, Knec KCPE Results, KCPE 2023 Result, KCPE 2023 Results, KCPE 2023 Online Results, KCPE Online, Knec KCPE Result, Knec KCPE Results 2024, KCPE Result 2024, Knec KCPE Results, KCPE 2024 Result, KCPE 2024 Results, KCPE 2024 Online Results, KCPE Online, Knec KCPE Results Knec KCPE Results 2022 Knec KCPE Results 2022 - Www.knec.ac.ke - Knec Results - Http://www.knec.ac.ke - Knec.ac.ke - Knec Results of KCPE - Knec Results of KCPE - Knec - Knec - KCPE 2022 Results - KCPE - Knec Results - Www.knec-results.ac.ke - Knec - Www.knec.com Knec KCPE Results 2022 Online, Knec 2022 KCPE Results, KCPE 2022 Online Results, KCPE 2022 Results Online, Knec KCPE Results 2022 Online, Knec 2022 KCPE Results, Knec 2022 Results, Knec KCPE 2022 Results, Knec., Knec KCPE 2022, Knec KCPE Results 2022, Knec.com, Top 100 KCPE 2022, KCPE 2022 Results Online Check, KCPE Knec Results 2022, Knec KCPE Result 2022, Knec KCPE Results 2022, Knec.com, Top 100 KCPE 2022, Knec Results 2022, K.n.e.c, Top 100 Schools KCPE 2022, KCPE Results 2022, Knec KCPE Results 2023 Knec KCPE Results 2023 - Www.knec.ac.ke - Knec Results - Http://www.knec.ac.ke - Knec.ac.ke - Knec Results of KCPE - Knec Results of KCPE - Knec - Knec - KCPE 2023 Results - KCPE - Knec Results - Www.knec-results.ac.ke - Knec - Www.knec.com Knec KCPE Results 2023 Online, Knec 2023 KCPE Results, KCPE 2023 Online Results, KCPE 2023 Results Online, Knec KCPE Results 2023 Online, Knec 2023 KCPE Results, Knec 2023 Results, Knec KCPE 2023 Results, Knec., Knec KCPE 2023, Knec KCPE Results 2023, Knec.com, Top 100 KCPE 2023, KCPE 2023 Results Online Check, KCPE Knec Results 2023, Knec KCPE Result 2023, Knec KCPE Results 2023, Knec.com, Top 100 KCPE 2023, Knec Results 2023, K.n.e.c, Top 100 Schools KCPE 2023, KCPE Results 2023, Knec KCPE Results 2024 Knec KCPE Results 2024 - Www.knec.ac.ke - Knec Results - Http://www.knec.ac.ke - Knec.ac.ke - Knec Results of KCPE - Knec Results of KCPE - Knec - Knec - KCPE 2024 Results - KCPE - Knec Results - Www.knec-results.ac.ke - Knec - Www.knec.com Knec KCPE Results 2024 Online, Knec 2024 KCPE Results, KCPE 2024 Online Results, KCPE 2024 Results Online, Knec KCPE Results 2024 Online, Knec 2024 KCPE Results, Knec 2024 Results, Knec KCPE 2024 Results, Knec., Knec KCPE 2024, Knec KCPE Results 2024, Knec.com, Top 100 KCPE 2024, KCPE 2024 Results Online Check, KCPE Knec Results 2024, Knec KCPE Result 2024, Knec KCPE Results 2024, Knec.com, Top 100 KCPE 2024, Knec Results 2024, K.n.e.c, Top 100 Schools KCPE 2024, KCPE Results 2024, Knec KCPE Results Release Day and Dates Knec Kenya, Knec 2022 KCPE, Www.kenya National Examination Council, KCPE 2022 Top 100 Schools, KCPE Results2022, Knec Kenya, Knec 2023 KCPE, Www.kenya National Examination Council, KCPE 2023 Top 100 Schools, KCPE Results2023, Knec Kenya, Knec 2024 KCPE, Www.kenya National Examination Council, KCPE 2024 Top 100 Schools, KCPE Results2024, Knec Latest News Knec News Knec News Today Knec Portal Knec Portal KCPE Results 2022 Knec Portal KCPE Results 2023 Knec Portal KCPE Results 2024 Knec Releases Deadline for Verification of 2022 KCPE, KCPE Knec Releases Deadline for Verification of 2023 KCPE, KCPE Knec Releases Deadline for Verification of 2024 KCPE, KCPE Knec Releases Results for KCPE 2022 Candidates Knec Releases Results for KCPE 2023 Candidates Knec Releases Results for KCPE 2024 Candidates Knec Releases Revised KCPE & KCPE Exam Timetables Knec Releases Revised Timetables for KCPE Knec Result Knec Result 2022 Knec Result 2023 Knec Result 2024 Knec Result Slip Download Knec Result Slip Portal Knec Results Knec Results 2022 Knec Results 2022 KCPE Knec Results 2022 KCPE, KCPE 2022 Results Online, KCPE 2022 Result, Top 100 Schools in KCPE 2022, Kenya National Examination Council Results 2022, Www.knec.ac.ke/exm, Knec Results 2022, KCPE Result, KCPE 2022 Results Online Check, 2022 KCPE, Top 100 Schools in KCPE, Knec KCPE Result 2022, Knec Results 2022, Www.knec.com, KCPE Results 2022, Knec.ac.ke, KCPE Results 2022, KCPE 2022 Result, KCPE 2022 Results, KCPE 2022 Online Results, Www.knec-results.ac.ke, Knec Results 2022, Www.knec.com, Knec.ac.ke, KCPE Results 2022, Knec KCPE 2022 Results, KCPE 2022 Result, KCPE 2022 Online Results, Knec 2022 Results, Top 100 Students KCPE 2022, Knec Results 2023 Knec Results 2023 KCPE Knec Results 2023 KCPE, KCPE 2023 Results Online, KCPE 2023 Result, Top 100 Schools in KCPE 2023, Kenya National Examination Council Results 2023, Www.knec.ac.ke/exm, Knec Results 2023, KCPE Result, KCPE 2023 Results Online Check, 2023 KCPE, Top 100 Schools in KCPE, Knec KCPE Result 2023, Knec Results 2023, Www.knec.com, KCPE Results 2023, Knec.ac.ke, KCPE Results 2023, KCPE 2023 Result, KCPE 2023 Results, KCPE 2023 Online Results, Www.knec-results.ac.ke, Knec Results 2023, Www.knec.com, Knec.ac.ke, KCPE Results 2023, Knec KCPE 2023 Results, KCPE 2023 Result, KCPE 2023 Online Results, Knec 2023 Results, Top 100 Students KCPE 2023, Knec Results 2024 Knec Results 2024 KCPE Knec Results 2024 KCPE, KCPE 2024 Results Online, KCPE 2024 Result, Top 100 Schools in KCPE 2024, Kenya National Examination Council Results 2024, Www.knec.ac.ke/exm, Knec Results 2024, KCPE Result, KCPE 2024 Results Online Check, 2024 KCPE, Top 100 Schools in KCPE, Knec KCPE Result 2024, Knec Results 2024, Www.knec.com, KCPE Results 2024, Knec.ac.ke, KCPE Results 2024, KCPE 2024 Result, KCPE 2024 Results, KCPE 2024 Online Results, Www.knec-results.ac.ke, Knec Results 2024, Www.knec.com, Knec.ac.ke, KCPE Results 2024, Knec KCPE 2024 Results, KCPE 2024 Result, KCPE 2024 Online Results, Knec 2024 Results, Top 100 Students KCPE 2024, Knec Results for Colleges Knec Results for Colleges 2022 Knec Results for Colleges 2023 Knec Results for Colleges 2024 Knec Results for KCPE 2022 Knec Results for KCPE 2023 Knec Results for KCPE 2024 Knec Results for Technical Colleges Knec Results for Technical Institutions Knec Results KCPE 2022 Knec Results KCPE 2023 Knec Results KCPE 2024 Knec Results Online Knec Technical Exams Results Knec Timetable Knec Website Knec Website KCPE Results 2022, Www.knec-results.ac.ke, KCPE Results Kenya 2022, KCPE Results 2022 Per School, KCPE Knec Results 2022, Knec Website KCPE Results 2022, Www.knec-results.ac.ke, KCPE Results Kenya 2022, Www.knec.ac.ke/exm, KCPE Results 2022 Per School, Knec Website KCPE Results 2023, Www.knec-results.ac.ke, KCPE Results Kenya 2023, KCPE Results 2023 Per School, KCPE Knec Results 2023, Knec Website KCPE Results 2023, Www.knec-results.ac.ke, KCPE Results Kenya 2023, Www.knec.ac.ke/exm, KCPE Results 2023 Per School, Knec Website KCPE Results 2024, Www.knec-results.ac.ke, KCPE Results Kenya 2024, KCPE Results 2024 Per School, KCPE Knec Results 2024, Knec Website KCPE Results 2024, Www.knec-results.ac.ke, KCPE Results Kenya 2024, Www.knec.ac.ke/exm, KCPE Results 2024 Per School, Knec, KCPE 2022 Results, KCPE Results, Kenya Certificate of Primary Education Pupils Result Check, Top 100 Puplic Primary Schools in 2022 KCPE, KCPE Knec 2022, KCPE 2022 Online Results Check, KCPE Results 2022, KCPE 2022, Knec KCPE Results 2022, KCPE 2022 Results, KCPE, Knec Results, Knec KCPE Results 2022, Knec Results 2022, 2022 KCPE Results, Knec Website, Knec KCPE Results, KCPE Results Online, https://www.advance-africa.com/KCPE-results.html Knec KCPE Results 2022 Online, Knec 2022 KCPE Results, KCPE 2022 Online Results, KCPE 2022 Results Online, KCPE Results 2022 Online, KCPE Results 2022 Top 100 Schools, KCPE 2022 Result, K.c.p.e Results 2022, K.n.e.c, K.c.p.e Results, Knec KCPE 2022, Knec KCPE 2022 Results, K C P E 2022, Online KCPE 2022 Results, 2022 KCPE Result, 2022 KCPE Results Online, K.c.p.e, K.c.p.e 2022, KCPE, KCPE Result 2022, Knec 2022, Knec2022, 2022 KCPE Online Results, KCPE Results 2022, Knec 2022 Results, Online KCPE Results 2022, 2022 K.c.p.e Results, KCPE Online Results, KCPE Results 2022, How to Check KCPE 2022 Results Online, Online 2022 KCPE Results, How to Check for My 2022 Result KCPE, K.c.p.e 2022 Results, Knec., Online KCPE Results, Top 100 Schools KCPE 2022, https://www.advance-africa.com/KCPE-results.html, Bomet County KCPE Results, K C P E Results, KCPE 2022 Result Online, KCPE Online Results 2022, KCPE Results Online 2022, Top 100 Candidates Nationally, Www.advance-africa.com/KCPE Results, How to Check KCPE Results, KCPE 2022 Online, KCPE 2022online Result, KCPE Results 2022 Knec, KCPE Results2022, KCPE Results 2022 Online, Knec KCPE, Knec KCPE Results 2022 Online, Top 100 Candidates 2022 Countrywide, Top 100 KCPE Kiambu 2022, Top 100 Schools in Kericho Country KCPE 2022, Top 100 Students KCPE 2022, Top 100 Students KCPE 2022, Www Knec Ac Ke KCPE Results 2022, Www.KCPE 2022 Individual Results.com, 2022 Knec Results, 2022 Online KCPE Results, 2022KCPE Results, Check KCPE 2022 Results Online, Download KCPE Results 2022, How to Check KCPE Results Online, How to Download KCPE Results 2022 for Acertain School, How to Get KCPE Results 2022 Online, K.c.p.e 2022 Result, K.c.p.e. Results 2022, K.n.e.c Website, KCPE 2022. Online Results, KCPE Knec Results, KCPE Result, KCPE Results 2022 Downloads, KCPE Results 2022 Per County, Knec 2022 K.c.p.e Results, Knec KCPE Online Results 2022, Knec KCPE Result 2022, Knec KCPE Results Online, Knec Result 2022, Knec-KCPE Results 2022, Top Hundred Students in 2022 KCPE Countrywide, Www.knec Result Nairobi County, Www.knec. KCPE Results 2022.ac.ke, Www.knec.ac.ke 2022 KCPE Results, Www.knec.ac.ke 2022 KCPE Results Top 100 Schools in Nairobi, 2022 K.c.p.e Online Results, 2022 KCPE Examination Results, 2022 KCPE Resuts Online, 2022 Kenya Certificate of Primary Education, Check KCPE Results 2022 Online, Check My KCPE Results, Finding KCPE Result 2022, How Can I Get KCPE Results List of Any School, How Can One Check KCPE 2022 Results on Line, How to Check 2022 KCPE Results Online, How to Check KCPE Results 2022, How to Check KCPE Results 2022 Online, How to Check Kenya National Examination Council 2022, How to Check the School KCPE Results 2022, How to Find KCPE Results 2022, How to Get 2022 KCPE Results, Http/www K C P E/results., Knec, Knec KCPE Results 2022, Knec KCPE Results 2022, Knec Results 2022, Knec Results, Knec Website, Knec KCPE Results, Knec KCPE Results 2022 Online, Knec 2022 KCPE Results, Knec 2022 Results, Knec KCPE 2022 Results, Knec., Knec KCPE 2022, Knec 2022, Knec Result 2022, Knec KCPE Results 2022 Online, KCPE Results, KCPE Results 2022, KCPE 2022, https://www.advance-africa.com/KCPE-results.html, KCPE 2022 Results, KCPE, 2022 KCPE Results, KCPE Result 2022, KCPE Results 2022 Top 100 Schools, KCPE Results Online, KCPE Results 2022 Online, KCPE 2022 Online Results, KCPE 2022 Results Online, KCPE 2022 Result, KCPE Results 2022, 2022 KCPE Results Online, 2022 KCPE Online Results, KCPE Result Slip, KCPE Result Slip 2022, 2022 KCPE Result Slip, Online KCPE Results 2022, KCPE 2022 Result Slip, Bomet County KCPE Results, KCPE Online Results, Top 100 Schools KCPE 2022, KCPE Online Results 2022, Online 2022 KCPE Results, 2022 KCPE Result, How to Check for My 2022 Result KCPE, KCPE 2022 Result Slips, Online KCPE 2022 Results, K.c.p.e Results 2022, K.c.p.e Results, K.c.p.e, K.c.p.e 2022, 2022 K.c.p.e Results, K.c.p.e 2022 Results, K.c.p.e Result 2022, KCPE Website, KCPE Online Registration, Online KCPE Entries Report, KCPE Results Online, Knec KCPE Online, KCPE Result Highest Score Was? KCPE Timetable - KCPE Leakage - KCPE Dates KCPE - Results Release Dates KCPE - Results Announcement Date KCPE - KCPE Questions - KCPE Registration Confirmation - KCPE Mathematics Paper - KCPE English Paper - KCPE Science Questions Knec, KCPE 2022 Results, KCPE Results, Kenya Certificate of Primary Education Results Check, Knec, KCPE 2023 Results, KCPE Results, Kenya Certificate of Primary Education Pupils Result Check, Top 100 Puplic Primary Schools in 2023 KCPE, KCPE Knec 2023, KCPE 2023 Online Results Check, KCPE Results 2023, KCPE 2023, Knec KCPE Results 2023, KCPE 2023 Results, KCPE, Knec Results, Knec KCPE Results 2023, Knec Results 2023, 2023 KCPE Results, Knec Website, Knec KCPE Results, KCPE Results Online, https://www.advance-africa.com/KCPE-results.html Knec KCPE Results 2023 Online, Knec 2023 KCPE Results, KCPE 2023 Online Results, KCPE 2023 Results Online, KCPE Results 2023 Online, KCPE Results 2023 Top 100 Schools, KCPE 2023 Result, K.c.p.e Results 2023, K.n.e.c, K.c.p.e Results, Knec KCPE 2023, Knec KCPE 2023 Results, K C P E 2023, Online KCPE 2023 Results, 2023 KCPE Result, 2023 KCPE Results Online, K.c.p.e, K.c.p.e 2023, KCPE, KCPE Result 2023, Knec 2023, Knec2023, 2023 KCPE Online Results, KCPE Results 2023, Knec 2023 Results, Online KCPE Results 2023, 2023 K.c.p.e Results, KCPE Online Results, KCPE Results 2023, How to Check KCPE 2023 Results Online, Online 2023 KCPE Results, How to Check for My 2023 Result KCPE, K.c.p.e 2023 Results, Knec., Online KCPE Results, Top 100 Schools KCPE 2023, https://www.advance-africa.com/KCPE-results.html, Bomet County KCPE Results, K C P E Results, KCPE 2023 Result Online, KCPE Online Results 2023, KCPE Results Online 2023, Top 100 Candidates Nationally, Www.advance-africa.com/KCPE Results, How to Check KCPE Results, KCPE 2023 Online, KCPE 2023online Result, KCPE Results 2023 Knec, KCPE Results2023, KCPE Results 2023 Online, Knec KCPE, Knec KCPE Results 2023 Online, Top 100 Candidates 2023 Countrywide, Top 100 KCPE Kiambu 2023, Top 100 Schools in Kericho Country KCPE 2023, Top 100 Students KCPE 2023, Top 100 Students KCPE 2023, Www Knec Ac Ke KCPE Results 2023, Www.KCPE 2023 Individual Results.com, 2023 Knec Results, 2023 Online KCPE Results, 2023KCPE Results, Check KCPE 2023 Results Online, Download KCPE Results 2023, How to Check KCPE Results Online, How to Download KCPE Results 2023 for Acertain School, How to Get KCPE Results 2023 Online, K.c.p.e 2023 Result, K.c.p.e. Results 2023, K.n.e.c Website, KCPE 2023. Online Results, KCPE Knec Results, KCPE Result, KCPE Results 2023 Downloads, KCPE Results 2023 Per County, Knec 2023 K.c.p.e Results, Knec KCPE Online Results 2023, Knec KCPE Result 2023, Knec KCPE Results Online, Knec Result 2023, Knec-KCPE Results 2023, Top Hundred Students in 2023 KCPE Countrywide, Www.knec Result Nairobi County, Www.knec. KCPE Results 2023.ac.ke, Www.knec.ac.ke 2023 KCPE Results, Www.knec.ac.ke 2023 KCPE Results Top 100 Schools in Nairobi, 2023 K.c.p.e Online Results, 2023 KCPE Examination Results, 2023 KCPE Resuts Online, 2023 Kenya Certificate of Primary Education, Check KCPE Results 2023 Online, Check My KCPE Results, Finding KCPE Result 2023, How Can I Get KCPE Results List of Any School, How Can One Check KCPE 2023 Results on Line, How to Check 2023 KCPE Results Online, How to Check KCPE Results 2023, How to Check KCPE Results 2023 Online, How to Check Kenya National Examination Council 2023, How to Check the School KCPE Results 2023, How to Find KCPE Results 2023, How to Get 2023 KCPE Results, Http/www K C P E/results., Knec, Knec KCPE Results 2023, Knec KCPE Results 2023, Knec Results 2023, Knec Results, Knec Website, Knec KCPE Results, Knec KCPE Results 2023 Online, Knec 2023 KCPE Results, Knec 2023 Results, Knec KCPE 2023 Results, Knec., Knec KCPE 2023, Knec 2023, Knec Result 2023, Knec KCPE Results 2023 Online, KCPE Results, KCPE Results 2023, KCPE 2023, https://www.advance-africa.com/KCPE-results.html, KCPE 2023 Results, KCPE, 2023 KCPE Results, KCPE Result 2023, KCPE Results 2023 Top 100 Schools, KCPE Results Online, KCPE Results 2023 Online, KCPE 2023 Online Results, KCPE 2023 Results Online, KCPE 2023 Result, KCPE Results 2023, 2023 KCPE Results Online, 2023 KCPE Online Results, KCPE Result Slip, KCPE Result Slip 2023, 2023 KCPE Result Slip, Online KCPE Results 2023, KCPE 2023 Result Slip, Bomet County KCPE Results, KCPE Online Results, Top 100 Schools KCPE 2023, KCPE Online Results 2023, Online 2023 KCPE Results, 2023 KCPE Result, How to Check for My 2023 Result KCPE, KCPE 2023 Result Slips, Online KCPE 2023 Results, K.c.p.e Results 2023, K.c.p.e Results, K.c.p.e, K.c.p.e 2023, 2023 K.c.p.e Results, K.c.p.e 2023 Results, K.c.p.e Result 2023, KCPE Website, KCPE Online Registration, Online KCPE Entries Report, KCPE Results Online, Knec KCPE Online, KCPE Result Highest Score Was? KCPE Timetable - KCPE Leakage - KCPE Dates KCPE - Results Release Dates KCPE - Results Announcement Date KCPE - KCPE Questions - KCPE Registration Confirmation - KCPE Mathematics Paper - KCPE English Paper - KCPE Science Questions Knec, KCPE 2023 Results, KCPE Results, Kenya Certificate of Primary Education Results Check, Knec, KCPE 2024 Results, KCPE Results, Kenya Certificate of Primary Education Pupils Result Check, Top 100 Puplic Primary Schools in 2024 KCPE, KCPE Knec 2024, KCPE 2024 Online Results Check, KCPE Results 2024, KCPE 2024, Knec KCPE Results 2024, KCPE 2024 Results, KCPE, Knec Results, Knec KCPE Results 2024, Knec Results 2024, 2024 KCPE Results, Knec Website, Knec KCPE Results, KCPE Results Online, https://www.advance-africa.com/KCPE-results.html Knec KCPE Results 2024 Online, Knec 2024 KCPE Results, KCPE 2024 Online Results, KCPE 2024 Results Online, KCPE Results 2024 Online, KCPE Results 2024 Top 100 Schools, KCPE 2024 Result, K.c.p.e Results 2024, K.n.e.c, K.c.p.e Results, Knec KCPE 2024, Knec KCPE 2024 Results, K C P E 2024, Online KCPE 2024 Results, 2024 KCPE Result, 2024 KCPE Results Online, K.c.p.e, K.c.p.e 2024, KCPE, KCPE Result 2024, Knec 2024, Knec2024, 2024 KCPE Online Results, KCPE Results 2024, Knec 2024 Results, Online KCPE Results 2024, 2024 K.c.p.e Results, KCPE Online Results, KCPE Results 2024, How to Check KCPE 2024 Results Online, Online 2024 KCPE Results, How to Check for My 2024 Result KCPE, K.c.p.e 2024 Results, Knec., Online KCPE Results, Top 100 Schools KCPE 2024, https://www.advance-africa.com/KCPE-results.html, Bomet County KCPE Results, K C P E Results, KCPE 2024 Result Online, KCPE Online Results 2024, KCPE Results Online 2024, Top 100 Candidates Nationally, Www.advance-africa.com/KCPE Results, How to Check KCPE Results, KCPE 2024 Online, KCPE 2024online Result, KCPE Results 2024 Knec, KCPE Results2024, KCPE Results 2024 Online, Knec KCPE, Knec KCPE Results 2024 Online, Top 100 Candidates 2024 Countrywide, Top 100 KCPE Kiambu 2024, Top 100 Schools in Kericho Country KCPE 2024, Top 100 Students KCPE 2024, Top 100 Students KCPE 2024, Www Knec Ac Ke KCPE Results 2024, Www.KCPE 2024 Individual Results.com, 2024 Knec Results, 2024 Online KCPE Results, 2024KCPE Results, Check KCPE 2024 Results Online, Download KCPE Results 2024, How to Check KCPE Results Online, How to Download KCPE Results 2024 for Acertain School, How to Get KCPE Results 2024 Online, K.c.p.e 2024 Result, K.c.p.e. Results 2024, K.n.e.c Website, KCPE 2024. Online Results, KCPE Knec Results, KCPE Result, KCPE Results 2024 Downloads, KCPE Results 2024 Per County, Knec 2024 K.c.p.e Results, Knec KCPE Online Results 2024, Knec KCPE Result 2024, Knec KCPE Results Online, Knec Result 2024, Knec-KCPE Results 2024, Top Hundred Students in 2024 KCPE Countrywide, Www.knec Result Nairobi County, Www.knec. KCPE Results 2024.ac.ke, Www.knec.ac.ke 2024 KCPE Results, Www.knec.ac.ke 2024 KCPE Results Top 100 Schools in Nairobi, 2024 K.c.p.e Online Results, 2024 KCPE Examination Results, 2024 KCPE Resuts Online, 2024 Kenya Certificate of Primary Education, Check KCPE Results 2024 Online, Check My KCPE Results, Finding KCPE Result 2024, How Can I Get KCPE Results List of Any School, How Can One Check KCPE 2024 Results on Line, How to Check 2024 KCPE Results Online, How to Check KCPE Results 2024, How to Check KCPE Results 2024 Online, How to Check Kenya National Examination Council 2024, How to Check the School KCPE Results 2024, How to Find KCPE Results 2024, How to Get 2024 KCPE Results, Http/www K C P E/results., Knec, Knec KCPE Results 2024, Knec KCPE Results 2024, Knec Results 2024, Knec Results, Knec Website, Knec KCPE Results, Knec KCPE Results 2024 Online, Knec 2024 KCPE Results, Knec 2024 Results, Knec KCPE 2024 Results, Knec., Knec KCPE 2024, Knec 2024, Knec Result 2024, Knec KCPE Results 2024 Online, KCPE Results, KCPE Results 2024, KCPE 2024, https://www.advance-africa.com/KCPE-results.html, KCPE 2024 Results, KCPE, 2024 KCPE Results, KCPE Result 2024, KCPE Results 2024 Top 100 Schools, KCPE Results Online, KCPE Results 2024 Online, KCPE 2024 Online Results, KCPE 2024 Results Online, KCPE 2024 Result, KCPE Results 2024, 2024 KCPE Results Online, 2024 KCPE Online Results, KCPE Result Slip, KCPE Result Slip 2024, 2024 KCPE Result Slip, Online KCPE Results 2024, KCPE 2024 Result Slip, Bomet County KCPE Results, KCPE Online Results, Top 100 Schools KCPE 2024, KCPE Online Results 2024, Online 2024 KCPE Results, 2024 KCPE Result, How to Check for My 2024 Result KCPE, KCPE 2024 Result Slips, Online KCPE 2024 Results, K.c.p.e Results 2024, K.c.p.e Results, K.c.p.e, K.c.p.e 2024, 2024 K.c.p.e Results, K.c.p.e 2024 Results, K.c.p.e Result 2024, KCPE Website, KCPE Online Registration, Online KCPE Entries Report, KCPE Results Online, Knec KCPE Online, KCPE Result Highest Score Was? KCPE Timetable - KCPE Leakage - KCPE Dates KCPE - Results Release Dates KCPE - Results Announcement Date KCPE - KCPE Questions - KCPE Registration Confirmation - KCPE Mathematics Paper - KCPE English Paper - KCPE Science Questions Knec, KCPE 2024 Results, KCPE Results, Kenya Certificate of Primary Education Results Check, Knec, Knec KCPE Results 2022, Knec KCPE Results 2022, Knec Results 2022, Knec Results, Knec Website, Knec KCPE Results, Knec, Knec KCPE Results 2023, Knec KCPE Results 2023, Knec Results 2023, Knec Results, Knec Website, Knec KCPE Results, Knec, Knec KCPE Results 2024, Knec KCPE Results 2024, Knec Results 2024, Knec Results, Knec Website, Knec KCPE Results, Knec.ac.ke Knec.co.ke Knec.com Knec;KCPE 2022 Results Release Date Knec;KCPE 2023 Results Release Date Knec;KCPE 2024 Results Release Date Kneck Results 2022 Kneck Results 2023 Kneck Results 2024 Ksce Results Kuccps Cluster Points Kwale County KCPE Results 2022 Kwale County KCPE Results 2022/2022 Kwale County KCPE Results 2023 Kwale County KCPE Results 2023/2023 Kwale County KCPE Results 2024 Kwale County KCPE Results 2024/2024 Laikipia County KCPE Results 2022 Laikipia County KCPE Results 2022/2022 Laikipia County KCPE Results 2023 Laikipia County KCPE Results 2023/2023 Laikipia County KCPE Results 2024 Laikipia County KCPE Results 2024/2024 Lamu County KCPE Results 2022 Lamu County KCPE Results 2022/2022 Lamu County KCPE Results 2023 Lamu County KCPE Results 2023/2023 Lamu County KCPE Results 2024 Lamu County KCPE Results 2024/2024 Leading Primary School in Kenya KCPE Resalts Legal Documents Governing Education in Kenya Lincepadie 2022 KCPE Results Lincepadie 2022 Results Lincepadie 2023 KCPE Results Lincepadie 2023 Results Lincepadie 2024 KCPE Results Lincepadie 2024 Results List of People Who Passed in KCPE 2022 List of People Who Passed in KCPE 2023 List of People Who Passed in KCPE 2024 List of Students With 300 Marks and Above List of Students With 300 Marks and Above in KCPE List of Students With 300+ and Above List of Students With 300+ and Above in KCPE List of Students With 400 Marks and Above List of Students With 400 Marks and Above in KCPE List of Students With 400+ and Above List of Students With 400+ and Above in KCPE List of Top 100 Schools in KCPE 2022 List of Top 100 Schools in KCPE 2023 List of Top 100 Schools in KCPE 2024 Machakos County KCPE Results 2022 Machakos County KCPE Results 2022/2022 Machakos County KCPE Results 2023 Machakos County KCPE Results 2023/2023 Machakos County KCPE Results 2024 Machakos County KCPE Results 2024/2024 Magoha: KCPE Results Out in Two Weeks Makueni County KCPE Results 2022 Makueni County KCPE Results 2022/2022 Makueni County KCPE Results 2023 Makueni County KCPE Results 2023/2023 Makueni County KCPE Results 2024 Makueni County KCPE Results 2024/2024 Malungu Primary KCPE Results 2022 Malungu Primary KCPE Results 2023 Malungu Primary KCPE Results 2024 Mandera County KCPE Results 2022 Mandera County KCPE Results 2022/2022 Mandera County KCPE Results 2023 Mandera County KCPE Results 2023/2023 Mandera County KCPE Results 2024 Mandera County KCPE Results 2024/2024 Mangu High School 2022 KCPE Results Mangu High School 2023 KCPE Results Mangu High School 2024 KCPE Results Marsabit County KCPE Results 2022 Marsabit County KCPE Results 2022/2022 Marsabit County KCPE Results 2023 Marsabit County KCPE Results 2023/2023 Marsabit County KCPE Results 2024 Marsabit County KCPE Results 2024/2024 Maths KCPE 2022 Maths KCPE 2023 Maths KCPE 2024 Meru County KCPE Results 2022 Meru County KCPE Results 2022/2022 Meru County KCPE Results 2023 Meru County KCPE Results 2023/2023 Meru County KCPE Results 2024 Meru County KCPE Results 2024/2024 Migori County KCPE Results 2022 Migori County KCPE Results 2022/2022 Migori County KCPE Results 2023 Migori County KCPE Results 2023/2023 Migori County KCPE Results 2024 Migori County KCPE Results 2024/2024 Ministry of Education Kenya Term Dates Ministry of Education Kenya Term Dates 2022 Pdf Ministry of Education Kenya Term Dates 2023 Pdf Ministry of Education Kenya Term Dates 2024 Pdf Ministry of Education Term Dates 2022 Kenya Ministry of Education Term Dates 2023 Kenya Ministry of Education Term Dates 2024 Kenya Moi Girls Isinya 2022 KCPE Results Moi Girls Isinya 2023 KCPE Results Moi Girls Isinya 2024 KCPE Results Moi Girls School Eldoret KCPE 2022 Moi Girls School Eldoret KCPE 2023 Moi Girls School Eldoret KCPE 2024 Moi Girls School Nairobi 2022 Results Moi Girls School Nairobi 2023 Results Moi Girls School Nairobi 2024 Results Mombasa County KCPE Results 2022 Mombasa County KCPE Results 2022/2022 Mombasa County KCPE Results 2023 Mombasa County KCPE Results 2023/2023 Mombasa County KCPE Results 2024 Mombasa County KCPE Results 2024/2024 Mt Kenya Academy KCPE Results 2022 Mt Kenya Academy KCPE Results 2023 Mt Kenya Academy KCPE Results 2024 Murang'a County KCPE Results 2022 Murang'a County KCPE Results 2022/2022 Murang'a County KCPE Results 2023 Murang'a County KCPE Results 2023/2023 Murang'a County KCPE Results 2024 Murang'a County KCPE Results 2024/2024 My KCPE Results Nairobi County KCPE Results 2022 Nairobi County KCPE Results 2022/2022 Nairobi County KCPE Results 2023 Nairobi County KCPE Results 2023/2023 Nairobi County KCPE Results 2024 Nairobi County KCPE Results 2024/2024 Nairobi KCPE Results 2022 Nairobi KCPE Results 2022/2022 Nairobi KCPE Results 2023 Nairobi KCPE Results 2023/2023 Nairobi KCPE Results 2024 Nairobi KCPE Results 2024/2024 Nakuru County KCPE Results 2022 Nakuru County KCPE Results 2022/2022 Nakuru County KCPE Results 2023 Nakuru County KCPE Results 2023/2023 Nakuru County KCPE Results 2024 Nakuru County KCPE Results 2024/2024 Nandi County KCPE Results 2022 Nandi County KCPE Results 2022/2022 Nandi County KCPE Results 2023 Nandi County KCPE Results 2023/2023 Nandi County KCPE Results 2024 Nandi County KCPE Results 2024/2024 Narok County KCPE Results 2022 Narok County KCPE Results 2022/2022 Narok County KCPE Results 2023 Narok County KCPE Results 2023/2023 Narok County KCPE Results 2024 Narok County KCPE Results 2024/2024 New Term Dates for Schools in Kenya 2022 New Term Dates for Schools in Kenya 2023 New Term Dates for Schools in Kenya 2024 North Eastern KCPE Results 2022 North Eastern KCPE Results 2022/2022 North Eastern KCPE Results 2023 North Eastern KCPE Results 2023/2023 North Eastern KCPE Results 2024 North Eastern KCPE Results 2024/2024 Nyamira County KCPE Results 2022 Nyamira County KCPE Results 2022/2022 Nyamira County KCPE Results 2023 Nyamira County KCPE Results 2023/2023 Nyamira County KCPE Results 2024 Nyamira County KCPE Results 2024/2024 Nyandarua County KCPE Results 2022 Nyandarua County KCPE Results 2022/2022 Nyandarua County KCPE Results 2023 Nyandarua County KCPE Results 2023/2023 Nyandarua County KCPE Results 2024 Nyandarua County KCPE Results 2024/2024 Nyanza KCPE Results 2022 Nyanza KCPE Results 2022/2022 Nyanza KCPE Results 2023 Nyanza KCPE Results 2023/2023 Nyanza KCPE Results 2024 Nyanza KCPE Results 2024/2024 Nyeri County KCPE Results 2022 Nyeri County KCPE Results 2022/2022 Nyeri County KCPE Results 2023 Nyeri County KCPE Results 2023/2023 Nyeri County KCPE Results 2024 Nyeri County KCPE Results 2024/2024 Official Day of Releasing KCPE Exams Official Knec KCPE 2022 Results Checking Sms Code Official Knec KCPE 2022 Results Release Day and Dates Official Knec KCPE 2023 Results Checking Sms Code Official Knec KCPE 2023 Results Release Day and Dates Official Knec KCPE 2024 Results Checking Sms Code Official Knec KCPE 2024 Results Release Day and Dates Online KCPE Results Online KCPE Results 2022 Online KCPE Results 2022, KCPE Result 2022, Www.knec.ac.ke KCPE Results 2022, Www.knec, Top 100 Schools in KCPE, KCPE Results for 2022, Online KCPE Results 2023 Online KCPE Results 2023, KCPE Result 2023, Www.knec.ac.ke KCPE Results 2023, Www.knec, Top 100 Schools in KCPE, KCPE Results for 2023, Online KCPE Results 2024 Online KCPE Results 2024, KCPE Result 2024, Www.knec.ac.ke KCPE Results 2024, Www.knec, Top 100 Schools in KCPE, KCPE Results for 2024, Reactions on KCPE Marks on Private Schools Release Date for KCPE Release Date of KCPE 2022 Release Date of KCPE 2023 Release Date of KCPE 2024 Release Dates of KCPE 2022 Release Dates of KCPE 2023 Release Dates of KCPE 2024 Release of 2022 KCPE Results Release of 2023 KCPE Results Release of 2024 KCPE Results Release of Examinations Results – Knec Release of KCPE 2022 Release of KCPE 2022 Results Release of KCPE 2023 Release of KCPE 2023 Results Release of KCPE 2024 Release of KCPE 2024 Results Release of KCPE Exams 2022 Release of KCPE Exams 2023 Release of KCPE Exams 2024 Release of KCPE Results 2022 Release of KCPE Results 2023 Release of KCPE Results 2024 Release of KCSE Results 2022 Release of KCSE Results 2023 Release of KCSE Results 2024 Release Time of KCPE 2022 Release Time of KCPE 2023 Release Time of KCPE 2024 Release Times of KCPE 2022 Release Times of KCPE 2023 Release Times of KCPE 2024 Results KCPE 2022 Results KCPE 2023 Results KCPE 2024 Results Release Day and Dates by Knec Results Release Day and Dates by Knec KCPE Results Slip 2022 KCPE Results Slip 2023 KCPE Results Slip 2024 KCPE Revised 2022 KCPE Results Timetable Revised 2022 KCPE Timetable Revised 2023 KCPE Results Timetable Revised 2023 KCPE Timetable Revised 2024 KCPE Results Timetable Revised 2024 KCPE Timetable Revised KCPE Results Timetable 2022 Revised KCPE Results Timetable 2023 Revised KCPE Results Timetable 2024 Revised KCPE Timetable 2022 Revised KCPE Timetable 2023 Revised KCPE Timetable 2024 Rift Valley KCPE Results 2022 Rift Valley KCPE Results 2022/2022 Rift Valley KCPE Results 2023 Rift Valley KCPE Results 2023/2023 Rift Valley KCPE Results 2024 Rift Valley KCPE Results 2024/2024 Samburu County KCPE Results 2022 Samburu County KCPE Results 2022/2022 Samburu County KCPE Results 2023 Samburu County KCPE Results 2023/2023 Samburu County KCPE Results 2024 Samburu County KCPE Results 2024/2024 School 2022 KCPE Results School 2023 KCPE Results School 2024 KCPE Results School KCPE Results 2022 School KCPE Results 2023 School KCPE Results 2024 School Records Over 90 Pupils With 400 Marks and Above Siaya County KCPE Results 2022 Siaya County KCPE Results 2022/2022 Siaya County KCPE Results 2023 Siaya County KCPE Results 2023/2023 Siaya County KCPE Results 2024 Siaya County KCPE Results 2024/2024 Sms Number for Checking KCPE Sms Number for Today KCPE Result Sms Number for Today KCPE Results Taita-taveta County KCPE Results 2022 Taita-taveta County KCPE Results 2022/2022 Taita-taveta County KCPE Results 2023 Taita-taveta County KCPE Results 2023/2023 Taita-taveta County KCPE Results 2024 Taita-taveta County KCPE Results 2024/2024 Tana River County KCPE Results 2022 Tana River County KCPE Results 2022/2022 Tana River County KCPE Results 2023 Tana River County KCPE Results 2023/2023 Tana River County KCPE Results 2024 Tana River County KCPE Results 2024/2024 Term Dates 2022 Kenyan Schools Term Dates 2023 Kenyan Schools Term Dates 2024 Kenyan Schools Term Dates Kenya 2022 Term Dates Kenya 2023 Term Dates Kenya 2024 Tharaka-nithi County KCPE Results 2022 Tharaka-nithi County KCPE Results 2022/2022 Tharaka-nithi County KCPE Results 2023 Tharaka-nithi County KCPE Results 2023/2023 Tharaka-nithi County KCPE Results 2024 Tharaka-nithi County KCPE Results 2024/2024 The Date of Releasing KCPE 2022 Exam The Date of Releasing KCPE 2022 Exam When is KCPE Exam Being Releast 2022 KCPE Results Releasing Day When Are the KCPE Results Coming Out When Will KCPE Results Be Announced? When Will Be the Realese of KCPE Results When Will KCPE Results 2022 Be Out? KCPE Results of the Year 2022 Will Be Released on When? The Date When KCPE Results 2022 Will Be Released When Will KCPE Result Be Out? Knec;KCPE 2022 Results Release Date When is KCPE Exam Being Releast When Will KCPE Exam Annoced the Date of Releasing KCPE 2022 Exam KCPE Releasing Day KCPE 2022 Results Release Date When Will KCPE 2022 Results Be Out? Which Date is 2022 KCPE Results Coming Out? Release of KCPE Exams 2022 When is the K.c.p.e Results Being Announced KCPE 2022 Result Release Date? K.c.p.e Details Annouencement Period KCPE 2022 Results Release Date Breaking News About 2022 Release of KCPE Results Annoncing of KCPE and KCPE Resurlt 2022 When Will KCPE Results Be Released KCPE 2022 Results Release Date When Will Results of KCPE 2022 Be Released ? 2022 Date When KCPE Will Be Released KCPE 2022 Result Announcement. KCPE 2022 Results Date of Release Updates Annoncing of KCPE and KCPE Resurlt 2022 Date Pf 2022 KCPE Results Announcement by Matiagi Release Date for KCPE KCPE 2022 Result Release Date KCPE Results 2022 Announcement KCPE 2022 Results Date KCPE 2022 Release Dates Which is the Best School in Kenya KCPE When is KCPE Results is Being Released When Will 2022 KCPE Exam Be Released When Will KCPE Results Be Released When Will 2022 KCPE Rests Be Released When Do KCPE Results 2022 Announce Update on KCPE the Knec Breaking News KCPE 2022 Result Release Day Date of Release of KCPE Exams 2022 Announcement Date for KCPE When Will KCPE 2022 Results Be Released? When is the Release of KCPE 2022 2022 K C.p.e Results Day of Announcement of Results Date of Release of 2022 KCPE Results When Are KCPE Results 2022 Being Released 2022 KCPE to Be Released on? - When is Form Four Results Released - Time for KCPE2022 Realese - Time of KCPE Release - Date of Form 4 Results Announcement - at What Time Will the KCPE Results Be Announced? The Date of Releasing KCPE 2023 Exam The Date of Releasing KCPE 2023 Exam When is KCPE Exam Being Releast 2023 KCPE Results Releasing Day When Are the KCPE Results Coming Out When Will KCPE Results Be Announced? When Will Be the Realese of KCPE Results When Will KCPE Results 2023 Be Out? KCPE Results of the Year 2023 Will Be Released on When? The Date When KCPE Results 2023 Will Be Released When Will KCPE Result Be Out? Knec;KCPE 2023 Results Release Date When is KCPE Exam Being Releast When Will KCPE Exam Annoced the Date of Releasing KCPE 2023 Exam KCPE Releasing Day KCPE 2023 Results Release Date When Will KCPE 2023 Results Be Out? Which Date is 2023 KCPE Results Coming Out? Release of KCPE Exams 2023 When is the K.c.p.e Results Being Announced KCPE 2023 Result Release Date? K.c.p.e Details Annouencement Period KCPE 2023 Results Release Date Breaking News About 2023 Release of KCPE Results Annoncing of KCPE and KCPE Resurlt 2023 When Will KCPE Results Be Released KCPE 2023 Results Release Date When Will Results of KCPE 2023 Be Released ? 2023 Date When KCPE Will Be Released KCPE 2023 Result Announcement. KCPE 2023 Results Date of Release Updates Annoncing of KCPE and KCPE Resurlt 2023 Date Pf 2023 KCPE Results Announcement by Matiagi Release Date for KCPE KCPE 2023 Result Release Date KCPE Results 2023 Announcement KCPE 2023 Results Date KCPE 2023 Release Dates Which is the Best School in Kenya KCPE When is KCPE Results is Being Released When Will 2023 KCPE Exam Be Released When Will KCPE Results Be Released When Will 2023 KCPE Rests Be Released When Do KCPE Results 2023 Announce Update on KCPE the Knec Breaking News KCPE 2023 Result Release Day Date of Release of KCPE Exams 2023 Announcement Date for KCPE When Will KCPE 2023 Results Be Released? When is the Release of KCPE 2023 2023 K C.p.e Results Day of Announcement of Results Date of Release of 2023 KCPE Results When Are KCPE Results 2023 Being Released 2023 KCPE to Be Released on? - When is Form Four Results Released - Time for KCPE2023 Realese - Time of KCPE Release - Date of Form 4 Results Announcement - at What Time Will the KCPE Results Be Announced? The Date of Releasing KCPE 2024 Exam The Date of Releasing KCPE 2024 Exam When is KCPE Exam Being Releast 2024 KCPE Results Releasing Day When Are the KCPE Results Coming Out When Will KCPE Results Be Announced? When Will Be the Realese of KCPE Results When Will KCPE Results 2024 Be Out? KCPE Results of the Year 2024 Will Be Released on When? The Date When KCPE Results 2024 Will Be Released When Will KCPE Result Be Out? Knec;KCPE 2024 Results Release Date When is KCPE Exam Being Releast When Will KCPE Exam Annoced the Date of Releasing KCPE 2024 Exam KCPE Releasing Day KCPE 2024 Results Release Date When Will KCPE 2024 Results Be Out? Which Date is 2024 KCPE Results Coming Out? Release of KCPE Exams 2024 When is the K.c.p.e Results Being Announced KCPE 2024 Result Release Date? K.c.p.e Details Annouencement Period KCPE 2024 Results Release Date Breaking News About 2024 Release of KCPE Results Annoncing of KCPE and KCPE Resurlt 2024 When Will KCPE Results Be Released KCPE 2024 Results Release Date When Will Results of KCPE 2024 Be Released ? 2024 Date When KCPE Will Be Released KCPE 2024 Result Announcement. KCPE 2024 Results Date of Release Updates Annoncing of KCPE and KCPE Resurlt 2024 Date Pf 2024 KCPE Results Announcement by Matiagi Release Date for KCPE KCPE 2024 Result Release Date KCPE Results 2024 Announcement KCPE 2024 Results Date KCPE 2024 Release Dates Which is the Best School in Kenya KCPE When is KCPE Results is Being Released When Will 2024 KCPE Exam Be Released When Will KCPE Results Be Released When Will 2024 KCPE Rests Be Released When Do KCPE Results 2024 Announce Update on KCPE the Knec Breaking News KCPE 2024 Result Release Day Date of Release of KCPE Exams 2024 Announcement Date for KCPE When Will KCPE 2024 Results Be Released? When is the Release of KCPE 2024 2024 K C.p.e Results Day of Announcement of Results Date of Release of 2024 KCPE Results When Are KCPE Results 2024 Being Released 2024 KCPE to Be Released on? - When is Form Four Results Released - Time for KCPE2024 Realese - Time of KCPE Release - Date of Form 4 Results Announcement - at What Time Will the KCPE Results Be Announced? The Date When KCPE Results 2022 Will Be Released The Date When KCPE Results 2023 Will Be Released The Date When KCPE Results 2024 Will Be Released The Exact Dates for the Release of the 2022 KCPE Exams Results is on The Exact Dates for the Release of the 2023 KCPE Exams Results is on The Exact Dates for the Release of the 2024 KCPE Exams Results is on The Knec Breaking News Third Term Opening Date Top 10 Schools Best for KCPE 2022 Results Top 10 Schools Best for KCPE 2023 Results Top 10 Schools Best for KCPE 2024 Results Top 10 Schools in KCPE 2022 Top 10 Schools in KCPE 2023 Top 10 Schools in KCPE 2024 Top 100 Candidates 2022 Countrywide, Top 100 KCPE Kiambu 2022, Top 100 Schools in Kericho Country KCPE 2022, Top 100 Students KCPE 2022, Top 100 Candidates 2023 Countrywide, Top 100 KCPE Kiambu 2023, Top 100 Schools in Kericho Country KCPE 2023, Top 100 Students KCPE 2023, Top 100 Candidates 2024 Countrywide, Top 100 KCPE Kiambu 2024, Top 100 Schools in Kericho Country KCPE 2024, Top 100 Students KCPE 2024, Top 100 Candidates Nationally, Www.advance-africa.com/KCPE Results, How to Check KCPE Results, KCPE 2022 Online, Top 100 Candidates Nationally, Www.advance-africa.com/KCPE Results, How to Check KCPE Results, KCPE 2023 Online, Top 100 Candidates Nationally, Www.advance-africa.com/KCPE Results, How to Check KCPE Results, KCPE 2024 Online, Top 100 KCPE 2022 Top 100 KCPE 2023 Top 100 KCPE 2024 Top 100 KCPE Candidates 2022 Top 100 KCPE Candidates 2023 Top 100 KCPE Candidates 2024 Top 100 KCPE Schools 2022 Top 100 KCPE Schools 2022, Www.knec.ac, Www.knec.ac.ke., Top Hundred Schools in KCPE 2022, Top Schools in KCPE 2022. Www.knec-results.ac.ke, Www.knec.ac.ke, KCPE Results 2022, KCPE Results, KCPE Results Online, Http://www.knec.ac.ke, Www.knec.com, https://www.advance-africa.com/KCPE-results.html, Www.knec.co.ke, Knec.ac.ke, Knec Results, KCPE 2022, Knec Results 2022, Www.knec-results.ac.ke, Kenya National Examination Council, Knec Website, Www.knec, KCPE, https://www.advance-africa.com/KCPE-results.html, https://www.advance-africa.com/KCPE-results-top-100-schools.html, Http://www.knec.ac.ke/, Top 100 KCPE Schools 2023 Top 100 KCPE Schools 2023, Www.knec.ac, Www.knec.ac.ke., Top Hundred Schools in KCPE 2023, Top Schools in KCPE 2023. Www.knec-results.ac.ke, Www.knec.ac.ke, KCPE Results 2023, KCPE Results, KCPE Results Online, Http://www.knec.ac.ke, Www.knec.com, https://www.advance-africa.com/KCPE-results.html, Www.knec.co.ke, Knec.ac.ke, Knec Results, KCPE 2023, Knec Results 2023, Www.knec-results.ac.ke, Kenya National Examination Council, Knec Website, Www.knec, KCPE, https://www.advance-africa.com/KCPE-results.html, https://www.advance-africa.com/KCPE-results-top-100-schools.html, Http://www.knec.ac.ke/, Top 100 KCPE Schools 2024 Top 100 KCPE Schools 2024, Www.knec.ac, Www.knec.ac.ke., Top Hundred Schools in KCPE 2024, Top Schools in KCPE 2024. Www.knec-results.ac.ke, Www.knec.ac.ke, KCPE Results 2024, KCPE Results, KCPE Results Online, Http://www.knec.ac.ke, Www.knec.com, https://www.advance-africa.com/KCPE-results.html, Www.knec.co.ke, Knec.ac.ke, Knec Results, KCPE 2024, Knec Results 2024, Www.knec-results.ac.ke, Kenya National Examination Council, Knec Website, Www.knec, KCPE, https://www.advance-africa.com/KCPE-results.html, https://www.advance-africa.com/KCPE-results-top-100-schools.html, Http://www.knec.ac.ke/, Top 100 Primary Schools in 2022 KCPE, KCPE Knec 2022, KCPE 2022 Online Results Check, KCPE Results 2022, Top 100 Primary Schools in 2023 KCPE, KCPE Knec 2023, KCPE 2023 Online Results Check, KCPE Results 2023, Top 100 Primary Schools in 2024 KCPE, KCPE Knec 2024, KCPE 2024 Online Results Check, KCPE Results 2024, Top 100 School in KCPE 2022 Top 100 School in KCPE 2023 Top 100 School in KCPE 2024 Top 100 Schools 2022 KCPE Top 100 Schools 2023 KCPE Top 100 Schools 2024 KCPE Top 100 Schools in 2022 KCPE Top 100 Schools in 2022 KCPE Results Top 100 Schools in 2023 KCPE Top 100 Schools in 2023 KCPE Results Top 100 Schools in 2024 KCPE Top 100 Schools in 2024 KCPE Results Top 100 Schools in KCPE 2022 Top 100 Schools in KCPE 2022 Released in 2022 Top 100 Schools in KCPE 2022 Results Top 100 Schools in KCPE 2022, 2022KCPE Results, KCPE Results 2022 Top 100 Students, KCPE 2022 Top 100 Schools, KCPE Results2022, Top 100 Schools in KCPE 2022, KCPE2022, 2022 KCPE Results Online, KCPE Online Results 2022, Kenya National Examination Council Results 2022, KCPE 2022 Results, Top 100 Schools in KCPE 2022, KCPE2022, KCPE Online Results, KCPE Online Results 2022, Kenya National Examination Council Results 2022, Top 100 Schools KCPE 2022, Top 100 Schools in KCPE 2022, KCPE2022, KCPE Online Results, Knec 2022 Results, 2022 KCPE Result, KCPE 2022, Top 100 Schools KCPE 2022, KCPE 2022 Results, Top 100 Schools in KCPE 2022, KCPE2022, Knec KCPE Results 2022, 2022 KCPE Results Online, 2022 KCPE Results, KCPE 2022, Top 100 Schools KCPE 2022, KCPE2022 Results, Top 100 Schools in KCPE 2022, KCPE2022, Knec KCPE Results 2022, 2022 KCPE Results Online, KCPE 2022, Top 100 Schools KCPE 2022, KCPE 2022 Results, Top 100 Schools in KCPE 2022, KCPE2022, Knec KCPE Results 2022, 2022 KCPE Results Online, Kenya National Examination Council Results 2022, KCPE Online, KCPE Results Kenya 2022, Top 100 Schools in KCPE 2022, KCPE2022, Knec KCPE Results 2022, KCPE Online Results, 2022 KCPE Results Online, 2022 KCPE Result, Top 100 Schools KCPE 2022, Top 100 Students KCPE 2022, Top 100 Schools in KCPE 2022, KCPE2022, Knec KCPE Results 2022, KCPE Online Results, KCPE Online Results 2022, Kenya National Examination Council Results 2022, Top 100 Students KCPE 2022, Top 100 Schools in KCPE 2022, KCPE2022, Knec KCPE Results 2022, KCPE Online Results, Knec 2022 Results, 2022 KCPE Results, KCPE 2022, KCPE2022 Results, Top 100 Schools in KCPE 2022, KCPE2022, Knec KCPE Results 2022, Knec 2022 Results, KCPE Online Results 2022, 2022 KCPE Results, KCPE 2022, KCPE 2022 Results, Top 100 Schools in KCPE 2023 Top 100 Schools in KCPE 2023 Released in 2023 Top 100 Schools in KCPE 2023 Results Top 100 Schools in KCPE 2023, 2023KCPE Results, KCPE Results 2023 Top 100 Students, KCPE 2023 Top 100 Schools, KCPE Results2023, Top 100 Schools in KCPE 2023, KCPE2023, 2023 KCPE Results Online, KCPE Online Results 2023, Kenya National Examination Council Results 2023, KCPE 2023 Results, Top 100 Schools in KCPE 2023, KCPE2023, KCPE Online Results, KCPE Online Results 2023, Kenya National Examination Council Results 2023, Top 100 Schools KCPE 2023, Top 100 Schools in KCPE 2023, KCPE2023, KCPE Online Results, Knec 2023 Results, 2023 KCPE Result, KCPE 2023, Top 100 Schools KCPE 2023, KCPE 2023 Results, Top 100 Schools in KCPE 2023, KCPE2023, Knec KCPE Results 2023, 2023 KCPE Results Online, 2023 KCPE Results, KCPE 2023, Top 100 Schools KCPE 2023, KCPE2023 Results, Top 100 Schools in KCPE 2023, KCPE2023, Knec KCPE Results 2023, 2023 KCPE Results Online, KCPE 2023, Top 100 Schools KCPE 2023, KCPE 2023 Results, Top 100 Schools in KCPE 2023, KCPE2023, Knec KCPE Results 2023, 2023 KCPE Results Online, Kenya National Examination Council Results 2023, KCPE Online, KCPE Results Kenya 2023, Top 100 Schools in KCPE 2023, KCPE2023, Knec KCPE Results 2023, KCPE Online Results, 2023 KCPE Results Online, 2023 KCPE Result, Top 100 Schools KCPE 2023, Top 100 Students KCPE 2023, Top 100 Schools in KCPE 2023, KCPE2023, Knec KCPE Results 2023, KCPE Online Results, KCPE Online Results 2023, Kenya National Examination Council Results 2023, Top 100 Students KCPE 2023, Top 100 Schools in KCPE 2023, KCPE2023, Knec KCPE Results 2023, KCPE Online Results, Knec 2023 Results, 2023 KCPE Results, KCPE 2023, KCPE2023 Results, Top 100 Schools in KCPE 2023, KCPE2023, Knec KCPE Results 2023, Knec 2023 Results, KCPE Online Results 2023, 2023 KCPE Results, KCPE 2023, KCPE 2023 Results, Top 100 Schools in KCPE 2024 Top 100 Schools in KCPE 2024 Released in 2024 Top 100 Schools in KCPE 2024 Results Top 100 Schools in KCPE 2024, 2024KCPE Results, KCPE Results 2024 Top 100 Students, KCPE 2024 Top 100 Schools, KCPE Results2024, Top 100 Schools in KCPE 2024, KCPE2024, 2024 KCPE Results Online, KCPE Online Results 2024, Kenya National Examination Council Results 2024, KCPE 2024 Results, Top 100 Schools in KCPE 2024, KCPE2024, KCPE Online Results, KCPE Online Results 2024, Kenya National Examination Council Results 2024, Top 100 Schools KCPE 2024, Top 100 Schools in KCPE 2024, KCPE2024, KCPE Online Results, Knec 2024 Results, 2024 KCPE Result, KCPE 2024, Top 100 Schools KCPE 2024, KCPE 2024 Results, Top 100 Schools in KCPE 2024, KCPE2024, Knec KCPE Results 2024, 2024 KCPE Results Online, 2024 KCPE Results, KCPE 2024, Top 100 Schools KCPE 2024, KCPE2024 Results, Top 100 Schools in KCPE 2024, KCPE2024, Knec KCPE Results 2024, 2024 KCPE Results Online, KCPE 2024, Top 100 Schools KCPE 2024, KCPE 2024 Results, Top 100 Schools in KCPE 2024, KCPE2024, Knec KCPE Results 2024, 2024 KCPE Results Online, Kenya National Examination Council Results 2024, KCPE Online, KCPE Results Kenya 2024, Top 100 Schools in KCPE 2024, KCPE2024, Knec KCPE Results 2024, KCPE Online Results, 2024 KCPE Results Online, 2024 KCPE Result, Top 100 Schools KCPE 2024, Top 100 Students KCPE 2024, Top 100 Schools in KCPE 2024, KCPE2024, Knec KCPE Results 2024, KCPE Online Results, KCPE Online Results 2024, Kenya National Examination Council Results 2024, Top 100 Students KCPE 2024, Top 100 Schools in KCPE 2024, KCPE2024, Knec KCPE Results 2024, KCPE Online Results, Knec 2024 Results, 2024 KCPE Results, KCPE 2024, KCPE2024 Results, Top 100 Schools in KCPE 2024, KCPE2024, Knec KCPE Results 2024, Knec 2024 Results, KCPE Online Results 2024, 2024 KCPE Results, KCPE 2024, KCPE 2024 Results, Top 100 Schools in Kisii County KCPE 2022 Top 100 Schools in Kisii County KCPE 2023 Top 100 Schools in Kisii County KCPE 2024 Top 100 Schools KCPE 2022 Top 100 Schools KCPE 2022 in Kenya Top 100 Schools KCPE 2023 Top 100 Schools KCPE 2023 in Kenya Top 100 Schools KCPE 2024 Top 100 Schools KCPE 2024 in Kenya Top 100 Students in KCPE 2022, Www.knec, Top 100 KCPE 2022, Top 100 Students Nationally KCPE 2022, KCPE Knec Results 2022, Top 100 Students in KCPE 2023, Www.knec, Top 100 KCPE 2023, Top 100 Students Nationally KCPE 2023, KCPE Knec Results 2023, Top 100 Students in KCPE 2024, Www.knec, Top 100 KCPE 2024, Top 100 Students Nationally KCPE 2024, KCPE Knec Results 2024, Top 100 Students KCPE 2022 Top 100 Students KCPE 2022, Www Knec Ac Ke KCPE Results 2022, Www.KCPE 2022 Individual Results.com, 2022 Knec Results, Top 100 Students KCPE 2023 Top 100 Students KCPE 2023, Www Knec Ac Ke KCPE Results 2023, Www.KCPE 2023 Individual Results.com, 2023 Knec Results, Top 100 Students KCPE 2024 Top 100 Students KCPE 2024, Www Knec Ac Ke KCPE Results 2024, Www.KCPE 2024 Individual Results.com, 2024 Knec Results, Top 100 Students Nationally KCPE 2022, Kenya National Examinations Council, KCPE Result 2022, KCPE Knec Results 2022, KCPE Results Online 2022, Top 100 Students Nationally KCPE 2023, Kenya National Examinations Council, KCPE Result 2023, KCPE Knec Results 2023, KCPE Results Online 2023, Top 100 Students Nationally KCPE 2024, Kenya National Examinations Council, KCPE Result 2024, KCPE Knec Results 2024, KCPE Results Online 2024, Top 20 Schools KCPE 2022 Top 20 Schools KCPE 2023 Top 20 Schools KCPE 2024 Top 50 KCPE Candidates 2022 Top 50 KCPE Candidates 2023 Top 50 KCPE Candidates 2024 Top 50 Schools in KCPE 2022 Top 50 Schools in KCPE 2023 Top 50 Schools in KCPE 2024 Top Hundred Schools in KCPE 2022 Top Hundred Schools in KCPE 2023 Top Hundred Schools in KCPE 2024 Top KCPE Schools 2022 Top KCPE Schools 2023 Top KCPE Schools 2024 Top KCPE Students 2022 Top KCPE Students 2023 Top KCPE Students 2024 Top Primary Schools in Nairobi 2022 Top Primary Schools in Nairobi 2023 Top Primary Schools in Nairobi 2024 Top Schools in 2022 KCPE Top Schools in 2023 KCPE Top Schools in 2024 KCPE Top Schools in Embu County KCPE 2022 Top Schools in Embu County KCPE 2023 Top Schools in Embu County KCPE 2024 Top Schools in KCPE 2022 Top Schools in KCPE 2022 Nairobi County Top Schools in KCPE 2022 Per County Top Schools in KCPE 2023 Top Schools in KCPE 2023 Nairobi County Top Schools in KCPE 2023 Per County Top Schools in KCPE 2024 Top Schools in KCPE 2024 Nairobi County Top Schools in KCPE 2024 Per County Top Schools in Machakos County KCPE 2022 Top Schools in Machakos County KCPE 2023 Top Schools in Machakos County KCPE 2024 Top Schools KCPE 2022 Top Schools KCPE 2023 Top Schools KCPE 2024 Top Student KCPE 2022 Top Student KCPE 2023 Top Student KCPE 2024 Top Students in KCPE Last Year Top Students KCPE 2022 Top Students KCPE 2023 Top Students KCPE 2024 Top Students Who Got 350 Marks and Above in Kenya Top Students Who Got 350 Marks and Above in Kenya KCPE Top Students Who Got 350 Marks in Kenya Top Students Who Got 350 Marks in Kenya KCPE Trans-nzoia County KCPE Results 2022 Trans-nzoia County KCPE Results 2022/2022 Trans-nzoia County KCPE Results 2023 Trans-nzoia County KCPE Results 2023/2023 Trans-nzoia County KCPE Results 2024 Trans-nzoia County KCPE Results 2024/2024 Turkana County KCPE Results 2022 Turkana County KCPE Results 2022/2022 Turkana County KCPE Results 2023 Turkana County KCPE Results 2023/2023 Turkana County KCPE Results 2024 Turkana County KCPE Results 2024/2024 Uasin Gishu County KCPE Results 2022 Uasin Gishu County KCPE Results 2022/2022 Uasin Gishu County KCPE Results 2023 Uasin Gishu County KCPE Results 2023/2023 Uasin Gishu County KCPE Results 2024 Uasin Gishu County KCPE Results 2024/2024 Update on KCPE Vihiga County KCPE Results 2022 Vihiga County KCPE Results 2022/2022 Vihiga County KCPE Results 2023 Vihiga County KCPE Results 2023/2023 Vihiga County KCPE Results 2024 Vihiga County KCPE Results 2024/2024 Wajir County KCPE Results 2022 Wajir County KCPE Results 2022/2022 Wajir County KCPE Results 2023 Wajir County KCPE Results 2023/2023 Wajir County KCPE Results 2024 Wajir County KCPE Results 2024/2024 West Pokot County KCPE Results 2022 West Pokot County KCPE Results 2022/2022 West Pokot County KCPE Results 2023 West Pokot County KCPE Results 2023/2023 West Pokot County KCPE Results 2024 West Pokot County KCPE Results 2024/2024 Western KCPE Results 2022 Western KCPE Results 2022/2022 Western KCPE Results 2023 Western KCPE Results 2023/2023 Western KCPE Results 2024 Western KCPE Results 2024/2024 What Does P Mean in KCPE Results? What is Free Primary Education What is Full KCPE? What is O Level Equivalent to in Kenya? What Was Composition Talking About of KCPE 2022 Which Was Done Today What Was Composition Talking About of KCPE 2023 Which Was Done Today What Was Composition Talking About of KCPE 2024 Which Was Done Today When Are KCPE Results 2022 Being Released When Are KCPE Results 2023 Being Released When Are KCPE Results 2024 Being Released When Are KCPE Results Being Released 2022 When Are KCPE Results Being Released 2023 When Are KCPE Results Being Released 2024 When Are the Class 8 Results Realised When Are the Class Eight Results Realised When Are the KCPE Results 2022 Released When Are the KCPE Results 2023 Released When Are the KCPE Results 2024 Released When Are the KCPE Results Coming Out When Did KCPE Start Kenya? When Do KCPE Results 2022 Announce When Do KCPE Results 2023 Announce When Do KCPE Results 2024 Announce When is KCPE 2022 Released When is KCPE 2022 Results Being Released When is KCPE 2022 Starting When is KCPE 2023 Released When is KCPE 2023 Results Being Released When is KCPE 2023 Starting When is KCPE 2024 Released When is KCPE 2024 Results Being Released When is KCPE 2024 Starting When is KCPE Exam Being Releast When is KCPE Results Being Released When is KCPE Results is Being Released When is the K.c.p.e Results Being Announced When is the Release of KCPE 2022 When is the Release of KCPE 2023 When is the Release of KCPE 2024 When K.c.p.e Will Anounce When KCPE Will Announce When Was KCPE 2022 Results Released? When Was KCPE 2023 Results Released? When Was KCPE 2024 Results Released? When Will 2022 KCPE Exam Be Released When Will 2022 KCPE Rests Be Released When Will 2023 KCPE Exam Be Released When Will 2023 KCPE Rests Be Released When Will 2024 KCPE Exam Be Released When Will 2024 KCPE Rests Be Released When Will Be the Realese of KCPE Results When Will K.c.p.e 2022 Resaults Be Anounced When Will K.c.p.e 2023 Resaults Be Anounced When Will K.c.p.e 2024 Resaults Be Anounced When Will K.c.p.e Resaults Be Anounced When Will K.c.p.e Results 2022 Be Out When Will K.c.p.e Results 2022 Be Out - Today! When Will K.c.p.e Results 2023 Be Out When Will K.c.p.e Results 2023 Be Out - Today! When Will K.c.p.e Results 2024 Be Out When Will K.c.p.e Results 2024 Be Out - Today! When Will KCPE 2022 Be Done When Will KCPE 2022 Be Released When Will KCPE 2022 Results Be Out? When Will KCPE 2022 Results Be Released When Will KCPE 2022 Results Be Released? When Will KCPE 2023 Be Done When Will KCPE 2023 Be Released When Will KCPE 2023 Results Be Out? When Will KCPE 2023 Results Be Released When Will KCPE 2023 Results Be Released? When Will KCPE 2024 Be Done When Will KCPE 2024 Be Released When Will KCPE 2024 Results Be Out? When Will KCPE 2024 Results Be Released When Will KCPE 2024 Results Be Released? When Will KCPE Be Released When Will KCPE Exam Annoced When Will KCPE Result Be Out? When Will KCPE Results 2022 Be Out? When Will KCPE Results 2022 Be Released When Will KCPE Results 2023 Be Out? When Will KCPE Results 2023 Be Released When Will KCPE Results 2024 Be Out? When Will KCPE Results 2024 Be Released When Will KCPE Results Be Announced? When Will KCPE Results Be Released When Will KCSE 2022 Results Be Released When Will KCSE 2023 Results Be Released When Will KCSE 2024 Results Be Released When Will Results of KCPE 2022 Be Released ? When Will Results of KCPE 2023 Be Released ? When Will Results of KCPE 2024 Be Released ? Where to Report Charges in Public Primary Schools Which Code is Used to Get KCPE Results? Which Date is 2022 KCPE Results Coming Out? Which Date is 2023 KCPE Results Coming Out? Which Date is 2024 KCPE Results Coming Out? Which Date is KCPE Announcement? Which Date is KCPE Release? Which Date is KCPE Starting? Which Date Will KCPE End? Which is the Best School in Kenya KCPE Who Scored the Highest Marks in KCPE 2022? Who Scored the Highest Marks in KCPE 2023? Who Scored the Highest Marks in KCPE 2024? Who Sets KCPE? Who Sets KCSE? Who Was the First Student in KCPE Last Year Why 2022 KCPE Results Will Be Out Early Why 2023 KCPE Results Will Be Out Early Why 2024 KCPE Results Will Be Out Early Why KCPE Results 2022 Confirmed Release Date Why KCPE Results 2022 Confirmed Release Dates Why KCPE Results 2023 Confirmed Release Date Why KCPE Results 2023 Confirmed Release Dates Why KCPE Results 2024 Confirmed Release Date Why KCPE Results 2024 Confirmed Release Dates Will KCPE 2022 Results Be Released Tomorrow Will KCPE 2023 Results Be Released Tomorrow Will KCPE 2024 Results Be Released Tomorrow Will There Be Two KCSE in 2022? Will There Be Two KCSE in 2023? Will There Be Two KCSE in 2024? Www. Knec. Ac. Ke Www.KCPE 2022 Www.KCPE 2023 Www.KCPE 2024 Www.KCPE Results 2022 Www.KCPE Results 2022.com Www.KCPE Results 2023 Www.KCPE Results 2023.com Www.KCPE Results 2024 Www.KCPE Results 2024.com Www.kenya National Examination Council.com, KCPE Result of 2022, KCPE Results Online 2022, Knec Kenya, Top 100 Schools in Kenya, Www.kenya National Examination Council.com, KCPE Result of 2023, KCPE Results Online 2023, Knec Kenya, Top 100 Schools in Kenya, Www.kenya National Examination Council.com, KCPE Result of 2024, KCPE Results Online 2024, Knec Kenya, Top 100 Schools in Kenya, Www.knec Www.knec .ac.ke Www.knec Results.com Www.knec, Knec.com, Top 100 KCPE 2022, KCPE Results 2022 Per School, 2022 KCPE, KCPE Results of 2022, Www.knec.ac.ke 2022 KCPE Results, Www.knec, Knec.com, Top 100 KCPE 2023, KCPE Results 2023 Per School, 2023 KCPE, KCPE Results of 2023, Www.knec.ac.ke 2023 KCPE Results, Www.knec, Knec.com, Top 100 KCPE 2024, KCPE Results 2024 Per School, 2024 KCPE, KCPE Results of 2024, Www.knec.ac.ke 2024 KCPE Results, Www.knec-portal.ac.ke Results Www.knec-results.ac.ke Www.knec.ac Www.knec.ac.com Www.knec.ac.ke Www.knec.ac.ke 2022 KCPE Results Www.knec.ac.ke 2022 KCPE Results Top 100 Schools in Nairobi, 2022 KCPE Online Results, 2022 KCPE Examination Results, Www.knec.ac.ke 2022 KCPE Results, Knec.co.ke, KCPE Top 100 Schools, KCPE Results Top 100 Schools, KCPE Result of 2022, Www.knec.ac.ke 2022 Results Www.knec.ac.ke 2023 KCPE Results Www.knec.ac.ke 2023 KCPE Results Top 100 Schools in Nairobi, 2023 KCPE Online Results, 2023 KCPE Examination Results, Www.knec.ac.ke 2023 KCPE Results, Knec.co.ke, KCPE Top 100 Schools, KCPE Results Top 100 Schools, KCPE Result of 2023, Www.knec.ac.ke 2023 Results Www.knec.ac.ke 2024 KCPE Results Www.knec.ac.ke 2024 KCPE Results Top 100 Schools in Nairobi, 2024 KCPE Online Results, 2024 KCPE Examination Results, Www.knec.ac.ke 2024 KCPE Results, Knec.co.ke, KCPE Top 100 Schools, KCPE Results Top 100 Schools, KCPE Result of 2024, Www.knec.ac.ke 2024 Results Www.knec.ac.ke/ Www.knec.ac.ke/exm, Top 100 Students in KCPE 2022, Www.knec.ac.ke KCPE Results 2022, KCPE Result 2022, KCPE Results Top 100 Schools, Www.knec.ac.ke/exm, Top 100 Students in KCPE 2023, Www.knec.ac.ke KCPE Results 2023, KCPE Result 2023, KCPE Results Top 100 Schools, Www.knec.ac.ke/exm, Top 100 Students in KCPE 2024, Www.knec.ac.ke KCPE Results 2024, KCPE Result 2024, KCPE Results Top 100 Schools, Www.knec.co.ke Www.knec.co.ke, Knec Website, Knec Results 2022 KCPE, KCPE 2022 Results Online, KCPE 2022 Result, KCPE 2022 Results, KCPE 2022 Online Results, KCPE2022 Results, Www.knec.co.ke, Knec Website, Knec Results 2022 KCPE, KCPE 2022 Results Online, KCPE 2022 Result, Online KCPE Results, 2022 KCPE Results, KCPE Online, Top 100 Students KCPE 2022, Www.knec.co.ke, Knec Website, Knec Results 2023 KCPE, KCPE 2023 Results Online, KCPE 2023 Result, KCPE 2023 Results, KCPE 2023 Online Results, KCPE2023 Results, Www.knec.co.ke, Knec Website, Knec Results 2023 KCPE, KCPE 2023 Results Online, KCPE 2023 Result, Online KCPE Results, 2023 KCPE Results, KCPE Online, Top 100 Students KCPE 2023, Www.knec.co.ke, Knec Website, Knec Results 2024 KCPE, KCPE 2024 Results Online, KCPE 2024 Result, KCPE 2024 Results, KCPE 2024 Online Results, KCPE2024 Results, Www.knec.co.ke, Knec Website, Knec Results 2024 KCPE, KCPE 2024 Results Online, KCPE 2024 Result, Online KCPE Results, 2024 KCPE Results, KCPE Online, Top 100 Students KCPE 2024, Www.knec.com Www.knec.com 2022 Www.knec.com 2023 Www.knec.com 2024 Www.knec.com KCPE Results, KCPE 2022, Www.KCPE Results 2022, Knec KCPE Exam Results 2022, Top 100 Schools in 2022 KCPE, Www.knec.com KCPE Results, KCPE 2023, Www.KCPE Results 2023, Knec KCPE Exam Results 2023, Top 100 Schools in 2023 KCPE, Www.knec.com KCPE Results, KCPE 2024, Www.KCPE Results 2024, Knec KCPE Exam Results 2024, Top 100 Schools in 2024 KCPE, Www.knec.ke Www.kneck.ac.ke Www.kneck.com 2022 Exam Timetable 2022 KCPE Predictions Trial Exams With Answers 2022 KCPE, KCPE Assessments to Be Concluded 2023 Exam Timetable 2023 KCPE Predictions Trial Exams With Answers 2023 KCPE, KCPE Assessments to Be Concluded Are 2022 KCPE Certificates Out? Are 2023 KCPE Certificates Out? Can I Get My KCPE Certificate Online? Can I Get My KCPE Result Slip Online? Can Knec Change a Student Name in KCPE Certificate? Date When KCPE 2022 Exam Results Will Be Released Date When KCPE 2023 Exam Results Will Be Released Download KCPE Results 2022 Download KCPE Results 2023 Form 1 Admission 2022 Form 1 Admission 2023 Form 1 Admission Letters 2022 Form 1 Admission Letters 2023 Form 1 Selection Form 1 Selection 2022 Form 1 Selection 2023 Form 1 Selection List 2022 Form 1 Selection List 2023 Form One Admission 2022 Form One Admission 2023 Form One Admission Letters 2022 Form One Admission Letters 2023 Form One Selection Form One Selection 2022 Form One Selection 2022 Kenya Form One Selection 2023 Form One Selection 2023 Kenya Form One Selection List 2022 Form One Selection List 2023 Highest KCPE Marks Ever in Kenya How Can I Change My Name in KCPE Certificate? How Can I Check My 2022 KCPE Results Online? How Can I Check My 2023 KCPE Results Online? How Can I Check My KCPE 2022? How Can I Check My KCPE 2023? How Can I Check My KCPE Certificate is Genuine? How Can I Check My KCPE Registration 2022? How Can I Check My KCPE Registration 2023? How Can I Check My KCPE Results for 2022 Whole School? How Can I Check My KCPE Results for 2023 Whole School? How Can I Check My KCPE Results Online? How Can I Check My Knec Certificate? How Can I Check My Knec Result via Sms? How Can I Get Good Marks in KCPE? How Can I Get KCPE Result From 2022 by Sms? How Can I Get KCPE Result From 2023 by Sms? How Can I Get My KCPE Results 2022? How Can I Get My KCPE Results 2023? How Can I Get My KCPE Results Online 2022? How Can I Get My KCPE Results Online 2023? How Can I Get My KCPE School Results? How Can I Retrieve My KCPE Certificate? How Can I Verify My Degree Certificate Online? How Do I Access Knec Portal? How Do I Contact Knec? How Do I Get My College Knec Results? How Do I Get My Original Certificate if I Lost It? How Do I Verify a Degree Certificate? How Long Does KCPE Certificate Take to Be Released? How Many Days to KCPE 2022 How Many Days to KCPE 2023 How Many Students Sat for KCPE 2022? How Many Students Sat for KCPE 2023? How to Download KCPE Result Slip Online Is It Possible to Change Name in Educational Certificates? K.c.p.e 2022 Mathematics K.c.p.e 2023 Mathematics KCPE 2022 Answers KCPE 2022 Dates KCPE 2022 December Timetable KCPE 2022 Exam Results to Be Announced Today KCPE 2022 Exams KCPE 2022 Leakage KCPE 2022 Marking Scheme KCPE 2022 Maths KCPE 2022 Prediction KCPE 2022 Prediction Questions and Answers KCPE 2022 Results KCPE 2022 Results Analysis KCPE 2022 Results Announcement KCPE 2022 Results Out KCPE 2022 Results Per School KCPE 2022 Results Release Date by Knec KCPE 2022 Results Top 100 Students KCPE 2022 Revised Final Timetable Download KCPE 2022 Science KCPE 2022 Timetable KCPE 2022 Timetable Pdf KCPE 2023 Answers KCPE 2023 Dates KCPE 2023 December Timetable KCPE 2023 Exam Results to Be Announced Today KCPE 2023 Exams KCPE 2023 Leakage KCPE 2023 Marking Scheme KCPE 2023 Maths KCPE 2023 Prediction KCPE 2023 Prediction Questions and Answers KCPE 2023 Results KCPE 2023 Results Analysis KCPE 2023 Results Announcement KCPE 2023 Results Out KCPE 2023 Results Per School KCPE 2023 Results Release Date by Knec KCPE 2023 Results Top 100 Students KCPE 2023 Revised Final Timetable Download KCPE 2023 Science KCPE 2023 Timetable KCPE 2023 Timetable Pdf KCPE and KCPE 2022 Exams KCPE and KCPE 2023 Exams KCPE Dates 2022 KCPE Dates 2023 KCPE Download KCPE Questions 2022 KCPE Questions 2023 KCPE Result Slip Download 2022 KCPE Result Slip Download 2023 KCPE Results 2022 KCPE Results 2022 Full List KCPE Results 2022 Kenya KCPE Results 2022 Live KCPE Results 2022 Per County KCPE Results 2022 Release Date KCPE Results 2022 Release: How to Download KCPE KCPE Results 2022 Release: How to Download KCPE Exam Results KCPE Results 2022 Release: How to Download KCPE Results KCPE Results 2022 Top 100 Students KCPE Results 2023 KCPE Results 2023 Full List KCPE Results 2023 Kenya KCPE Results 2023 Live KCPE Results 2023 Per County KCPE Results 2023 Release Date KCPE Results 2023 Release: How to Download KCPE KCPE Results 2023 Release: How to Download KCPE Exam Results KCPE Results 2023 Release: How to Download KCPE Results KCPE Results 2023 Top 100 Students KCPE Results Online KCPE Results Per School KCPE Results Per School 2022 KCPE Results Per School 2023 KCPE Revealed 2022 KCPE Revealed 2023 KCPE Timetable 2022 KCPE Timetable 2022 Download KCPE Timetable 2022 March KCPE Timetable 2023 KCPE Timetable 2023 Download KCPE Timetable 2023 March Kenya High School Form 1 Selection Kiambu County KCPE Results 2022 Kiambu County KCPE Results 2023 Knec KCPE 2022 Release; How to Receive KCPE Results Knec KCPE 2022 Results Release and How to Check via Sms Knec KCPE 2022 Timetable Pdf: Subjects That Will Start, End Knec KCPE 2023 Release; How to Receive KCPE Results Knec KCPE 2023 Results Release and How to Check via Sms Knec KCPE 2023 Timetable Pdf: Subjects That Will Start, End Knec Portal Knec Releases Deadline for Verification of 2022 KCPE, KCPE Knec Releases Deadline for Verification of 2023 KCPE, KCPE Knec Releases Results for KCPE 2022 Candidates Knec Releases Results for KCPE 2023 Candidates Knec Releases Revised KCPE & KCPE Exam Timetables Ministry of Education Form One Selection 2022 Ministry of Education Form One Selection 2023 Rating Release Date of KCPE 2022 Release Date of KCPE 2023 Release Dates of KCPE 2022 Release Dates of KCPE 2023 Release of KCPE 2022 Release of KCPE 2023 Release Time of KCPE 2022 Release Time of KCPE 2023 Release Times of KCPE 2022 Release Times of KCPE 2023 Starstarstarstarstar Top 10 Schools in KCPE 2022 Top 10 Schools in KCPE 2023 Top 100 Schools in Kisii County KCPE 2022 Top 100 Schools in Kisii County KCPE 2023 Top 100 Schools KCPE 2022 in Kenya Top 100 Schools KCPE 2023 in Kenya Top 50 KCPE Candidates 2022 Top 50 KCPE Candidates 2023 Top Schools in KCPE 2022 Nairobi County Top Schools in KCPE 2023 Nairobi County What Does P Mean in KCPE Results? When is KCPE 2022 Starting When is KCPE 2023 Starting When Will KCPE 2022 Be Done When Will KCPE 2023 Be Done Which Date is KCPE Starting? Which Date Will KCPE End? Www.education.go.ke Form One Selection 2022 Www.education.go.ke Form One Selection 2023 Www.knec-portal.ac.ke Results Are You Still a Student if You're on Placement? Can My School See What I Do on My School Account on My Phone? Has KCPE 2022 Been Released? Has KCPE 2023 Been Released? Has KCPE Results Been Released 2022? Has KCPE Results Been Released 2023? How Can I Check My KCPE Result 2022 by Sms? How Can I Check My KCPE Result 2023 by Sms? How Can I Check My KCPE Results Online 2022 for Whole School? How Can I Check My KCPE Results Online 2023 for Whole School? How Can I Check My KCPE Results Online? How Can I Check My KCPE Results? How Can I Get Full Marks in Maths? How Can I Get Highest Marks in Exam? How Can I Get KCPE 2022 Results? How Can I Get KCPE 2023 Results? How Can I Get KCPE Result via Sms? How Can I Pass a Test I Didn't Study for? How Can I Pass My Exam With Top Grades? How Can I Pass My Exam Without Fear? How Can I Take My Mobile in School? How Can One Pass KCPE? How Do I Check My KCPE 2022 Results Online? How Do I Check My KCPE 2023 Results Online? How Do I Check My KCPE School Selection 2022? How Do I Check My KCPE School Selection 2023? How Do I Check My School KCPE Results? How Do I Check Safaricom KCPE Results? How Do I Check the School Placement? How Do I Find My School Placement 2022? How Do I Find My School Placement 2023? How Do I Find the School Placement on My Phone? How Do I Get a School Placement Check on My Phone? How Do I Know My School is Selected? How Do I Prepare for KCPE? How Do You Get 100 on a Test Every Time? How Do You Get B+ in KCSE? How Do You Guess the Right Answer on Multiple Choice? How Do You Pass an Exam When You Know Nothing? How Do You Pass Every Test You Take? How is KCPE 2022 Standardised? How is KCPE 2023 Standardised? How is KCPE Marks Calculated? How Long Does It Take to Get KCPE 2022? How Long Does It Take to Get KCPE 2023? How Many Days to KCPE 2022 How Many Days to KCPE 2023 How Many Marks Are Standardized in KCPE? How Many Points is a C+ in KCPE? How Many Pupils Got 400 in KCPE? How Many Students Got 400 Marks in KCPE? How Many Students Scored 400 and Above? How to Check KCPE Results 2022 How to Check KCPE Results 2023 How to Get 400 Marks in KCPE How to Pass KCPE 2022 How to Pass KCPE 2023 How to Pass KCPE Mathematics How to Pass Kiswahili KCPE How to Score 400 Marks in KCPE 2022 How to Score 400 Marks in KCPE 2023 Is 4 a Good Mark? Is KCPE 2022 Released? Is KCPE 2023 Released? Is KCPE Marked by a Machine? Is KCSE December 2022 Timetable Out? Is KCSE December 2023 Timetable Out? KCPE 2022 Dates KCPE 2022 December Timetable KCPE 2022 Leakage Mathematics KCPE 2022 Maths KCPE 2022 November Timetable KCPE 2022 Prediction KCPE 2022 Results KCPE 2022 Revised Final Timetable Download and Instructions KCPE 2022 Science KCPE 2022 Timetable KCPE 2022 Timetable November KCPE 2022 Timetable Pdf KCPE 2022 Timetable Results KCPE 2023 Dates KCPE 2023 December Timetable KCPE 2023 Leakage Mathematics KCPE 2023 Maths KCPE 2023 November Timetable KCPE 2023 Prediction KCPE 2023 Results KCPE 2023 Revised Final Timetable Download and Instructions KCPE 2023 Science KCPE 2023 Timetable KCPE 2023 Timetable November KCPE 2023 Timetable Pdf KCPE 2023 Timetable Results KCPE best pupils KCPE best pupils 2022 KCPE best pupils 2023 KCPE best students KCPE best students 2022 KCPE best students 2023 KCPE Questions 2022 KCPE Questions 2023 KCPE Results 2022 Top 100 Students KCPE Results 2022 Release Date KCPE Results 2022 Release Date and Time KCPE Results 2022 Release Dates KCPE Results 2022 Today KCPE Results 2022 Top 100 Students KCPE Results 2023 Release Date KCPE Results 2023 Release Date and Time KCPE Results 2023 Release Dates KCPE Results 2023 Today KCPE Results 2023 Top 100 Students KCPE Results Per School 2022 KCPE Results Per School 2023 KCPE Results Slip 2022 KCPE Results Slip 2023 KCPE Time Table 2022 KCPE Time Table 2023 KCPE Timetable 2022 Pdf KCPE Timetable 2023 Pdf KCPE top pupils KCPE top pupils 2022 KCPE top pupils 2023 KCPE top students KCPE top students 2022 KCPE top students 2023 KCSE 2022 Timetable KCSE 2023 Timetable KCSE Results 2022 Release Date KCSE Results 2022 Release Dates KCSE Results 2023 Release Date KCSE Results 2023 Release Dates Knec Announces Dates for 2022 KCPE Release Date Knec Announces Dates for 2022 KCPE Release Dates Knec Announces Dates for 2022 KCPE Result Release Date Knec Announces Dates for 2022 KCPE Result Release Dates Knec Announces Dates for 2022 KCPE Results Release Date Knec Announces Dates for 2022 KCPE Results Release Dates Knec Announces Dates for 2022 KCPE, KCSE Exams Release Knec Announces Dates for 2022 KCPE, KCSE Exams Results Release Knec Announces Dates for 2022 KCSE Release Date Knec Announces Dates for 2022 KCSE Release Dates Knec Announces Dates for 2022 KCSE Result Release Date Knec Announces Dates for 2022 KCSE Result Release Dates Knec Announces Dates for 2022 KCSE Results Release Date Knec Announces Dates for 2022 KCSE Results Release Dates Knec Announces Dates for 2023 KCPE Release Date Knec Announces Dates for 2023 KCPE Release Dates Knec Announces Dates for 2023 KCPE Result Release Date Knec Announces Dates for 2023 KCPE Result Release Dates Knec Announces Dates for 2023 KCPE Results Release Date Knec Announces Dates for 2023 KCPE Results Release Dates Knec Announces Dates for 2023 KCPE, KCSE Exams Release Knec Announces Dates for 2023 KCPE, KCSE Exams Results Release Knec Announces Dates for 2023 KCSE Release Date Knec Announces Dates for 2023 KCSE Release Dates Knec Announces Dates for 2023 KCSE Result Release Date Knec Announces Dates for 2023 KCSE Result Release Dates Knec Announces Dates for 2023 KCSE Results Release Date Knec Announces Dates for 2023 KCSE Results Release Dates Knec KCPE 2022 Examination Timetable Knec KCPE 2022 Timetable Pdf: Subjects Start and End Day Knec KCPE 2023 Examination Timetable Knec KCPE 2023 Timetable Pdf: Subjects Start and End Day Nairobi Primary KCPE Results 2022 Nairobi Primary KCPE Results 2023 Timetable for 2022 KCPE Exam Timetable for 2023 KCPE Exam Tips to Pass KCPE Exams Top 10 Students KCPE 2022 Top 10 Students KCPE 2023 Top 100 Schools KCPE 2022 Nairobi County Top 100 Schools KCPE 2023 Nairobi County Top Pupils in KCPE 2022 Top Pupils in KCPE 2023 Top Schools in KCPE 2022 Top Schools in KCPE 2023 Tvet Knec Results July 2022 Release Date Tvet Knec Results July 2023 Release Date What is Passing Score for KCPE? What is the Fastest Way to Answer a Test? What is the Most Popular School in Kenya? What is the My School App? What is the Pass Mark for KCPE 2022? What is the Pass Mark for KCPE 2023? When Are the KCPE Results Being Released 2022 When Are the KCPE Results Being Released 2023 When Did KCPE 2022 End? When Did KCPE 2023 End? When is KCPE 2022 Starting When is KCPE 2023 Starting When Will KCPE 2022 Be Released? When Will KCPE 2023 Be Released? Which Date Will KCPE 2022 Start? Which Date Will KCPE 2023 Start? Which Exam Will Replace KCPE? Which is the Biggest Primary School in Kenya? Which is the Largest School in Kenya? Which is the Smartest City in Kenya? Which School Has the Most Students in Kenya? Which School Was Number One in KCPE? Which School Was Number One in KCSE? Who Has the Highest Marks in KCPE 2022? Who Has the Highest Marks in KCPE 2023? Who is No 1 in KCPE2022? Who is No 1 in KCPE2023? Who is No 1 School in World? Who is the Top Student in KCPE 2022? Who is the Top Student in KCPE 2023? Who Made 1 School? Who Scored 482 Marks in KCPE? Who Scored the Highest in KCPE 2022? Who Scored the Highest in KCPE 2023? Who Topped KCPE? 2022 Exam Timetable 2022 KCPE Predictions Trial Exams With Answers 2022 KCPE, KCPE Assessments to Be Concluded 2023 Exam Timetable 2023 KCPE Predictions Trial Exams With Answers 2023 KCPE, KCPE Assessments to Be Concluded Are 2022 KCPE Certificates Out? Are 2023 KCPE Certificates Out? Can I Get My KCPE Certificate Online? Can I Get My KCPE Result Slip Online? Can Knec Change a Student Name in KCPE Certificate? Date When KCPE 2022 Exam Results Will Be Released Date When KCPE 2023 Exam Results Will Be Released Download KCPE Results 2022 Download KCPE Results 2023 Form 1 Admission 2022 Form 1 Admission 2023 Form 1 Admission Letters 2022 Form 1 Admission Letters 2023 Form 1 Selection Form 1 Selection 2022 Form 1 Selection 2023 Form 1 Selection List 2022 Form 1 Selection List 2023 Form One Admission 2022 Form One Admission 2023 Form One Admission Letters 2022 Form One Admission Letters 2023 Form One Selection Form One Selection 2022 Form One Selection 2022 Kenya Form One Selection 2023 Form One Selection 2023 Kenya Form One Selection List 2022 Form One Selection List 2023 Highest KCPE Marks Ever in Kenya How Can I Change My Name in KCPE Certificate? How Can I Check My 2022 KCPE Results Online? How Can I Check My 2023 KCPE Results Online? How Can I Check My KCPE 2022? How Can I Check My KCPE 2023? How Can I Check My KCPE Certificate is Genuine? How Can I Check My KCPE Registration 2022? How Can I Check My KCPE Registration 2023? How Can I Check My KCPE Results for 2022 Whole School? How Can I Check My KCPE Results for 2023 Whole School? How Can I Check My KCPE Results Online? How Can I Check My Knec Certificate? How Can I Check My Knec Result via Sms? How Can I Get Good Marks in KCPE? How Can I Get KCPE Result From 2022 by Sms? How Can I Get KCPE Result From 2023 by Sms? How Can I Get My KCPE Results 2022? How Can I Get My KCPE Results 2023? How Can I Get My KCPE Results Online 2022? How Can I Get My KCPE Results Online 2023? How Can I Get My KCPE School Results? How Can I Retrieve My KCPE Certificate? How Can I Verify My Degree Certificate Online? How Do I Access Knec Portal? How Do I Contact Knec? How Do I Get My College Knec Results? How Do I Get My Original Certificate if I Lost It? How Do I Verify a Degree Certificate? How Long Does KCPE Certificate Take to Be Released? How Many Days to KCPE 2022 How Many Days to KCPE 2023 How Many Students Sat for KCPE 2022? How Many Students Sat for KCPE 2023? How to Download KCPE Result Slip Online Is It Possible to Change Name in Educational Certificates? K.c.p.e 2022 Mathematics K.c.p.e 2023 Mathematics KCPE 2022 Answers KCPE 2022 Dates KCPE 2022 December Timetable KCPE 2022 Exam Results to Be Announced Today KCPE 2022 Exams KCPE 2022 Leakage KCPE 2022 Marking Scheme KCPE 2022 Maths KCPE 2022 Prediction KCPE 2022 Prediction Questions and Answers KCPE 2022 Results KCPE 2022 Results Analysis KCPE 2022 Results Announcement KCPE 2022 Results Out KCPE 2022 Results Per School KCPE 2022 Results Release Date by Knec KCPE 2022 Results Top 100 Students KCPE 2022 Revised Final Timetable Download KCPE 2022 Science KCPE 2022 Timetable KCPE 2022 Timetable Pdf KCPE 2023 Answers KCPE 2023 Dates KCPE 2023 December Timetable KCPE 2023 Exam Results to Be Announced Today KCPE 2023 Exams KCPE 2023 Leakage KCPE 2023 Marking Scheme KCPE 2023 Maths KCPE 2023 Prediction KCPE 2023 Prediction Questions and Answers KCPE 2023 Results KCPE 2023 Results Analysis KCPE 2023 Results Announcement KCPE 2023 Results Out KCPE 2023 Results Per School KCPE 2023 Results Release Date by Knec KCPE 2023 Results Top 100 Students KCPE 2023 Revised Final Timetable Download KCPE 2023 Science KCPE 2023 Timetable KCPE 2023 Timetable Pdf KCPE and KCPE 2022 Exams KCPE and KCPE 2023 Exams KCPE Dates 2022 KCPE Dates 2023 KCPE Download KCPE Questions 2022 KCPE Questions 2023 KCPE Result Slip Download 2022 KCPE Result Slip Download 2023 KCPE Results 2022 KCPE Results 2022 Full List KCPE Results 2022 Kenya KCPE Results 2022 Live KCPE Results 2022 Per County KCPE Results 2022 Release Date KCPE Results 2022 Release: How to Download KCPE KCPE Results 2022 Release: How to Download KCPE Exam Results KCPE Results 2022 Release: How to Download KCPE Results KCPE Results 2022 Top 100 Students KCPE Results 2023 KCPE Results 2023 Full List KCPE Results 2023 Kenya KCPE Results 2023 Live KCPE Results 2023 Per County KCPE Results 2023 Release Date KCPE Results 2023 Release: How to Download KCPE KCPE Results 2023 Release: How to Download KCPE Exam Results KCPE Results 2023 Release: How to Download KCPE Results KCPE Results 2023 Top 100 Students KCPE Results Online KCPE Results Per School KCPE Results Per School 2022 KCPE Results Per School 2023 KCPE Revealed 2022 KCPE Revealed 2023 KCPE Timetable 2022 KCPE Timetable 2022 Download KCPE Timetable 2022 March KCPE Timetable 2023 KCPE Timetable 2023 Download KCPE Timetable 2023 March Kenya High School Form 1 Selection Kiambu County KCPE Results 2022 Kiambu County KCPE Results 2023 Knec KCPE 2022 Release; How to Receive KCPE Results Knec KCPE 2022 Results Release and How to Check via Sms Knec KCPE 2022 Timetable Pdf: Subjects That Will Start, End Knec KCPE 2023 Release; How to Receive KCPE Results Knec KCPE 2023 Results Release and How to Check via Sms Knec KCPE 2023 Timetable Pdf: Subjects That Will Start, End Knec Portal Knec Releases Deadline for Verification of 2022 KCPE, KCPE Knec Releases Deadline for Verification of 2023 KCPE, KCPE Knec Releases Results for KCPE 2022 Candidates Knec Releases Results for KCPE 2023 Candidates Knec Releases Revised KCPE & KCPE Exam Timetables Ministry of Education Form One Selection 2022 Ministry of Education Form One Selection 2023 Release Date of KCPE 2022 Release Date of KCPE 2023 Release Dates of KCPE 2022 Release Dates of KCPE 2023 Release of KCPE 2022 Release of KCPE 2023 Release Time of KCPE 2022 Release Time of KCPE 2023 Release Times of KCPE 2022 Release Times of KCPE 2023 Top 10 Schools in KCPE 2022 Top 10 Schools in KCPE 2023 Top 100 Schools in Kisii County KCPE 2022 Top 100 Schools in Kisii County KCPE 2023 Top 100 Schools KCPE 2022 in Kenya Top 100 Schools KCPE 2023 in Kenya Top 50 KCPE Candidates 2022 Top 50 KCPE Candidates 2023 Top Schools in KCPE 2022 Nairobi County Top Schools in KCPE 2023 Nairobi County What Does P Mean in KCPE Results? When is KCPE 2022 Starting When is KCPE 2023 Starting When Will KCPE 2022 Be Done When Will KCPE 2023 Be Done Which Date is KCPE Starting? Which Date Will KCPE End? Www.education.go.ke Form One Selection 2022 Www.education.go.ke Form One Selection 2023 Www.knec-portal.ac.ke Results Has KCPE 2022 Been Released? Has KCPE 2023 Been Released? Has KCPE Results Been Released 2022? Has KCPE Results Been Released 2023? How Can I Check My KCPE Result 2022 by Sms? How Can I Check My KCPE Result 2023 by Sms? How Can I Check My KCPE Results Online 2022 for Whole School? How Can I Check My KCPE Results Online 2023 for Whole School? How Can I Check My KCPE Results Online? How Can I Check My KCPE Results? How Can I Get Full Marks in Maths? How Can I Get Highest Marks in Exam? How Can I Get KCPE 2022 Results? How Can I Get KCPE 2023 Results? How Can I Get KCPE Result via Sms? How Can I Pass a Test I Didn't Study for? How Can I Pass My Exam With Top Grades? How Can I Pass My Exam Without Fear? How Can I Take My Mobile in School? How Can One Pass KCPE? How Do I Check My KCPE 2022 Results Online? How Do I Check My KCPE 2023 Results Online? How Do I Check My KCPE School Selection 2022? How Do I Check My KCPE School Selection 2023? How Do I Check My School KCPE Results? How Do I Check Safaricom KCPE Results? How Do I Check the School Placement? How Do I Find My School Placement 2022? How Do I Find My School Placement 2023? How Do I Find the School Placement on My Phone? How Do I Get a School Placement Check on My Phone? How Do I Know My School is Selected? How Do I Prepare for KCPE? How Do You Get 100 on a Test Every Time? How Do You Get B+ in KCSE? How Do You Guess the Right Answer on Multiple Choice? How Do You Pass an Exam When You Know Nothing? How Do You Pass Every Test You Take? How is KCPE 2022 Standardised? How is KCPE 2023 Standardised? How is KCPE Marks Calculated? How Long Does It Take to Get KCPE 2022? How Long Does It Take to Get KCPE 2023? How Many Days to KCPE 2022 How Many Days to KCPE 2023 How Many Marks Are Standardized in KCPE? How Many Points is a C+ in KCPE? How Many Pupils Got 400 in KCPE? How Many Students Got 400 Marks in KCPE? How Many Students Scored 400 and Above? How to Check KCPE Results 2022 How to Check KCPE Results 2023 How to Get 400 Marks in KCPE How to Pass KCPE 2022 How to Pass KCPE 2023 How to Pass KCPE Mathematics How to Pass Kiswahili KCPE How to Score 400 Marks in KCPE 2022 How to Score 400 Marks in KCPE 2023 Is 4 a Good Mark? Is KCPE 2022 Released? Is KCPE 2023 Released? Is KCPE Marked by a Machine? Is KCSE December 2022 Timetable Out? Is KCSE December 2023 Timetable Out? KCPE 2022 Dates KCPE 2022 December Timetable KCPE 2022 Leakage Mathematics KCPE 2022 Maths KCPE 2022 November Timetable KCPE 2022 Prediction KCPE 2022 Results KCPE 2022 Revised Final Timetable Download and Instructions KCPE 2022 Science KCPE 2022 Timetable KCPE 2022 Timetable November KCPE 2022 Timetable Pdf KCPE 2022 Timetable Results KCPE 2023 Dates KCPE 2023 December Timetable KCPE 2023 Leakage Mathematics KCPE 2023 Maths KCPE 2023 November Timetable KCPE 2023 Prediction KCPE 2023 Results KCPE 2023 Revised Final Timetable Download and Instructions KCPE 2023 Science KCPE 2023 Timetable KCPE 2023 Timetable November KCPE 2023 Timetable Pdf KCPE 2023 Timetable Results KCPE best pupils KCPE best pupils 2022 KCPE best pupils 2023 KCPE best students KCPE best students 2022 KCPE best students 2023 KCPE Questions 2022 KCPE Questions 2023 KCPE Results 2022 Top 100 Students KCPE Results 2022 Release Date KCPE Results 2022 Release Date and Time KCPE Results 2022 Release Dates KCPE Results 2022 Today KCPE Results 2022 Top 100 Students KCPE Results 2023 Release Date KCPE Results 2023 Release Date and Time KCPE Results 2023 Release Dates KCPE Results 2023 Today KCPE Results 2023 Top 100 Students KCPE Results Per School 2022 KCPE Results Per School 2023 KCPE Results Slip 2022 KCPE Results Slip 2023 KCPE Time Table 2022 KCPE Time Table 2023 KCPE Timetable 2022 Pdf KCPE Timetable 2023 Pdf KCPE top pupils KCPE top pupils 2022 KCPE top pupils 2023 KCPE top students KCPE top students 2022 KCPE top students 2023 KCSE 2022 Timetable KCSE 2023 Timetable KCSE Results 2022 Release Date KCSE Results 2022 Release Dates KCSE Results 2023 Release Date KCSE Results 2023 Release Dates Knec Announces Dates for 2022 KCPE Release Date Knec Announces Dates for 2022 KCPE Release Dates Knec Announces Dates for 2022 KCPE Result Release Date Knec Announces Dates for 2022 KCPE Result Release Dates Knec Announces Dates for 2022 KCPE Results Release Date Knec Announces Dates for 2022 KCPE Results Release Dates Knec Announces Dates for 2022 KCPE, KCSE Exams Release Knec Announces Dates for 2022 KCPE, KCSE Exams Results Release Knec Announces Dates for 2022 KCSE Release Date Knec Announces Dates for 2022 KCSE Release Dates Knec Announces Dates for 2022 KCSE Result Release Date Knec Announces Dates for 2022 KCSE Result Release Dates Knec Announces Dates for 2022 KCSE Results Release Date Knec Announces Dates for 2022 KCSE Results Release Dates Knec Announces Dates for 2023 KCPE Release Date Knec Announces Dates for 2023 KCPE Release Dates Knec Announces Dates for 2023 KCPE Result Release Date Knec Announces Dates for 2023 KCPE Result Release Dates Knec Announces Dates for 2023 KCPE Results Release Date Knec Announces Dates for 2023 KCPE Results Release Dates Knec Announces Dates for 2023 KCPE, KCSE Exams Release Knec Announces Dates for 2023 KCPE, KCSE Exams Results Release Knec Announces Dates for 2023 KCSE Release Date Knec Announces Dates for 2023 KCSE Release Dates Knec Announces Dates for 2023 KCSE Result Release Date Knec Announces Dates for 2023 KCSE Result Release Dates Knec Announces Dates for 2023 KCSE Results Release Date Knec Announces Dates for 2023 KCSE Results Release Dates Knec KCPE 2022 Examination Timetable Knec KCPE 2022 Timetable Pdf: Subjects Start and End Day Knec KCPE 2023 Examination Timetable Knec KCPE 2023 Timetable Pdf: Subjects Start and End Day Nairobi Primary KCPE Results 2022 Nairobi Primary KCPE Results 2023 Timetable for 2022 KCPE Exam Timetable for 2023 KCPE Exam Tips to Pass KCPE Exams Top 10 Students KCPE 2022 Top 10 Students KCPE 2023 Top 100 Schools KCPE 2022 Nairobi County Top 100 Schools KCPE 2023 Nairobi County Top Pupils in KCPE 2022 Top Pupils in KCPE 2023 Top Schools in KCPE 2022 Top Schools in KCPE 2023 Tvet Knec Results July 2022 Release Date Tvet Knec Results July 2023 Release Date What is Passing Score for KCPE? What is the Fastest Way to Answer a Test? What is the Most Popular School in Kenya? What is the My School App? What is the Pass Mark for KCPE 2022? What is the Pass Mark for KCPE 2023? When Are the KCPE Results Being Released 2022 When Are the KCPE Results Being Released 2023 When Did KCPE 2022 End? When Did KCPE 2023 End? When is KCPE 2022 Starting When is KCPE 2023 Starting When Will KCPE 2022 Be Released? When Will KCPE 2023 Be Released? Which Date Will KCPE 2022 Start? Which Date Will KCPE 2023 Start? Which Exam Will Replace KCPE? Which is the Biggest Primary School in Kenya? Which is the Largest School in Kenya? Which is the Smartest City in Kenya? Which School Has the Most Students in Kenya? Which School Was Number One in KCPE? Which School Was Number One in KCSE? Who Has the Highest Marks in KCPE 2022? Who Has the Highest Marks in KCPE 2023? Who is No 1 in KCPE2022? Who is No 1 in KCPE2023? Who is No 1 School in World? Who is the Top Student in KCPE 2022? Who is the Top Student in KCPE 2023? Who Made 1 School? Who Scored 482 Marks in KCPE? Who Scored the Highest in KCPE 2022? Who Scored the Highest in KCPE 2023? Who Topped KCPE? When is KCPE 2022 Released? When is KCPE 2022 Released Find When is KCPE 2022 Released? Find Out When is KCPE 2022 Released? When is KCPE 2023 Released? When is KCPE 2023 Released Find When is KCPE 2023 Released? Find Out When is KCPE 2023 Released? When is KCPE Released? When is KCPE Released Find When is KCPE Released? Find Out When is KCPE Released? 2022 KCPE Examination Timetable & Instructions 2023 KCPE Examination Timetable & Instructions Are KCPE Results Being Released Today? Cba Knec Portal Download KCPE Results 2022 Download KCPE Results 2023 How is KCPE Results Calculated? How Long Does It Take to Get KCPE 2022? How Long Does It Take to Get KCPE 2023? How Long Does It Take to Release KCPE Results? How Many 400 Marks is KCPE? How Many Days Remaining to KCPE 2022 How Many Days Remaining to KCPE 2023 How Many Days to KCPE 2022 How Many Days to KCPE 2023 How Many Marks Are Standardized in KCPE? How Many Points is a C+ in KCPE? How to Check KCPE Results 2022 How to Check KCPE Results 2023 How to Check My KCPE Index Number Online How to Pass KCPE 2022 How to Pass KCPE 2023 Is KCPE 2022 Timetable Out? Is KCPE 2023 Timetable Out? Is KCPE Marked by a Machine? KCPE 2022 Dates KCPE 2022 December Timetable KCPE 2022 Kiswahili Leakage KCPE 2022 Leakage Composition KCPE 2022 Leakage Mathematics KCPE 2022 Leakage Mathematics Paper 1 KCPE 2022 Leakage November KCPE 2022 Mathematics KCPE 2022 November Timetable KCPE 2022 Prediction KCPE 2022 Release Date and Time KCPE 2022 Revised Final Timetable Download and Instructions KCPE 2022 Science KCPE 2022 Timetable Pdf KCPE 2022 Timetable Results KCPE 2023 Dates KCPE 2023 December Timetable KCPE 2023 Kiswahili Leakage KCPE 2023 Leakage Composition KCPE 2023 Leakage Mathematics KCPE 2023 Leakage Mathematics Paper 1 KCPE 2023 Leakage November KCPE 2023 Mathematics KCPE 2023 November Timetable KCPE 2023 Prediction KCPE 2023 Release Date and Time KCPE 2023 Revised Final Timetable Download and Instructions KCPE 2023 Science KCPE 2023 Timetable Pdf KCPE 2023 Timetable Results KCPE November 2022 Timetable KCPE November 2023 Timetable KCPE Results 2022 Dates KCPE Results 2022 Release Date and Time KCPE Results 2022 Top 100 Students KCPE Results 2023 KCPE Results 2023 Dates KCPE Results 2023 Release Date and Time KCPE Results 2023 Top 100 Students KCPE Timetable 2022 KCPE Timetable 2022 March KCPE Timetable 2022 Pdf KCPE Timetable 2023 KCPE Timetable 2023 March KCPE Timetable 2023 Pdf Kcse Dates 2022 Kcse Dates 2023 Kcse Timetable 2022 Kcse Timetable 2023 Tvet Knec Results 2022 Release Date Tvet Knec Results 2023 Release Date What Grade is 69 Points in Kcse? What is Passing Score for KCPE? What is the Highest KCPE Marks Ever? What Was the Lowest Mark in KCPE? When is KCPE 2022 Starting When is KCPE 2023 Starting When is Kcse 2022 Starting When is Kcse 2023 Starting Which Date and Time Are KCPE Results Being Released 2022? Which Date and Time Are KCPE Results Being Released 2023? Which Date Are KCPE Results Being Released 2022? Which Date Are KCPE Results Being Released 2023? Which Date Will KCPE 2022 Start? Which Date Will KCPE 2023 Start? Which Date Will Kcse 2022 Start? Which Date Will Kcse 2023 Start? Which Month Are KCPE Results Being Released 2022? Which Month Are KCPE Results Being Released 2023? Which Time Are KCPE Results Being Released 2022? Which Time Are KCPE Results Being Released 2023? Who Scored 482 Marks in KCPE? Www.knec-portal.ac.ke Results 2022 Www.knec-portal.ac.ke Results 2023 Www.knec.ac.ke Login 2022 Exam Timetable 2022 KCPE Examination Timetable & Instructions 2022 KCPE Predictions Trial Exams With Answers 2022 KCPE, KCPE Assessments to Be Concluded 2023 Exam Timetable 2023 KCPE Examination Timetable & Instructions 2023 KCPE Predictions Trial Exams With Answers 2023 KCPE, KCPE Assessments to Be Concluded Are 2022 KCPE Certificates Out? Are 2023 KCPE Certificates Out? Are KCPE Results Being Released Today? Can I Get My KCPE Certificate Online? Can I Get My KCPE Result Slip Online? Can Knec Change a Student Name in KCPE Certificate? Cba Knec Portal Date When KCPE 2022 Exam Results Will Be Released Date When KCPE 2023 Exam Results Will Be Released Download KCPE Results 2022 Download KCPE Results 2023 Find Out When is KCPE 2022 Released? Find Out When is KCPE 2023 Released? Find Out When is KCPE Released? Find When is KCPE 2022 Released? Find When is KCPE 2023 Released? Find When is KCPE Released? Form 1 Admission 2022 Form 1 Admission 2023 Form 1 Admission Letters 2022 Form 1 Admission Letters 2023 Form 1 Selection Form 1 Selection 2022 Form 1 Selection 2023 Form 1 Selection List 2022 Form 1 Selection List 2023 Form One Admission 2022 Form One Admission 2023 Form One Admission Letters 2022 Form One Admission Letters 2023 Form One Selection Form One Selection 2022 Form One Selection 2022 Kenya Form One Selection 2023 Form One Selection 2023 Kenya Form One Selection List 2022 Form One Selection List 2023 Has KCPE 2022 Been Released? Has KCPE 2023 Been Released? Has KCPE Results Been Released 2022? Has KCPE Results Been Released 2023? Highest KCPE Marks Ever in Kenya How Can I Change My Name in KCPE Certificate? How Can I Check My 2022 KCPE Results Online? How Can I Check My 2023 KCPE Results Online? How Can I Check My KCPE 2022? How Can I Check My KCPE 2023? How Can I Check My KCPE Certificate is Genuine? How Can I Check My KCPE Registration 2022? How Can I Check My KCPE Registration 2023? How Can I Check My KCPE Result 2022 by Sms? How Can I Check My KCPE Result 2023 by Sms? How Can I Check My KCPE Results for 2022 Whole School? How Can I Check My KCPE Results for 2023 Whole School? How Can I Check My KCPE Results Online 2022 for Whole School? How Can I Check My KCPE Results Online 2023 for Whole School? How Can I Check My KCPE Results Online? How Can I Check My KCPE Results? How Can I Check My Knec Certificate? How Can I Check My Knec Result via Sms? How Can I Get Full Marks in Maths? How Can I Get Good Marks in KCPE? How Can I Get Highest Marks in Exam? How Can I Get KCPE 2022 Results? How Can I Get KCPE 2023 Results? How Can I Get KCPE Result From 2022 by Sms? How Can I Get KCPE Result From 2023 by Sms? How Can I Get KCPE Result via Sms? How Can I Get My KCPE Results 2022? How Can I Get My KCPE Results 2023? How Can I Get My KCPE Results Online 2022? How Can I Get My KCPE Results Online 2023? How Can I Get My KCPE School Results? How Can I Pass a Test I Didn't Study for? How Can I Pass My Exam With Top Grades? How Can I Pass My Exam Without Fear? How Can I Retrieve My KCPE Certificate? How Can I Take My Mobile in School? How Can I Verify My Degree Certificate Online? How Can One Pass KCPE? How Do I Access Knec Portal? How Do I Check My KCPE 2022 Results Online? How Do I Check My KCPE 2023 Results Online? How Do I Check My KCPE School Selection 2022? How Do I Check My KCPE School Selection 2023? How Do I Check My School KCPE Results? How Do I Check Safaricom KCPE Results? How Do I Check the School Placement? How Do I Contact Knec? How Do I Find My School Placement 2022? How Do I Find My School Placement 2023? How Do I Find the School Placement on My Phone? How Do I Get a School Placement Check on My Phone? How Do I Get My College Knec Results? How Do I Get My Original Certificate if I Lost It? How Do I Know My School is Selected? How Do I Prepare for KCPE? How Do I Verify a Degree Certificate? How Do You Get 100 on a Test Every Time? How Do You Get B+ in KCSE? How Do You Guess the Right Answer on Multiple Choice? How Do You Pass an Exam When You Know Nothing? How Do You Pass Every Test You Take? How is KCPE 2022 Standardised? How is KCPE 2023 Standardised? How is KCPE Marks Calculated? How is KCPE Results Calculated? How Long Does It Take to Get KCPE 2022? How Long Does It Take to Get KCPE 2023? How Long Does It Take to Release KCPE Results? How Long Does KCPE Certificate Take to Be Released? How Many 400 Marks is KCPE? How Many Days Remaining to KCPE 2022 How Many Days Remaining to KCPE 2023 How Many Days to KCPE 2022 How Many Days to KCPE 2023 How Many Marks Are Standardized in KCPE? How Many Points is a C+ in KCPE? How Many Pupils Got 400 in KCPE? How Many Students Got 400 Marks in KCPE? How Many Students Sat for KCPE 2022? How Many Students Sat for KCPE 2023? How Many Students Scored 400 and Above? How to Check KCPE Results 2022 How to Check KCPE Results 2023 How to Check My KCPE Index Number Online How to Download KCPE Result Slip Online How to Get 400 Marks in KCPE How to Pass KCPE 2022 How to Pass KCPE 2023 How to Pass KCPE Mathematics How to Pass Kiswahili KCPE How to Score 400 Marks in KCPE 2022 How to Score 400 Marks in KCPE 2023 Is 4 a Good Mark? Is It Possible to Change Name in Educational Certificates? Is KCPE 2022 Released? Is KCPE 2022 Timetable Out? Is KCPE 2023 Released? Is KCPE 2023 Timetable Out? Is KCPE Marked by a Machine? Is KCSE December 2022 Timetable Out? Is KCSE December 2023 Timetable Out? K.c.p.e 2022 Mathematics K.c.p.e 2023 Mathematics KCPE 2022 Answers KCPE 2022 Dates KCPE 2022 December Timetable KCPE 2022 Exam Results to Be Announced Today KCPE 2022 Exams KCPE 2022 Kiswahili Leakage KCPE 2022 Leakage KCPE 2022 Leakage Composition KCPE 2022 Leakage Mathematics KCPE 2022 Leakage Mathematics Paper 1 KCPE 2022 Leakage November KCPE 2022 Marking Scheme KCPE 2022 Mathematics KCPE 2022 Maths KCPE 2022 November Timetable KCPE 2022 Prediction KCPE 2022 Prediction Questions and Answers KCPE 2022 Release Date and Time KCPE 2022 Results KCPE 2022 Results Analysis KCPE 2022 Results Announcement KCPE 2022 Results Out KCPE 2022 Results Per School KCPE 2022 Results Release Date by Knec KCPE 2022 Results Top 100 Students KCPE 2022 Revised Final Timetable Download KCPE 2022 Revised Final Timetable Download and Instructions KCPE 2022 Science KCPE 2022 Timetable KCPE 2022 Timetable November KCPE 2022 Timetable Pdf KCPE 2022 Timetable Results KCPE 2023 Answers KCPE 2023 Dates KCPE 2023 December Timetable KCPE 2023 Exam Results to Be Announced Today KCPE 2023 Exams KCPE 2023 Kiswahili Leakage KCPE 2023 Leakage KCPE 2023 Leakage Composition KCPE 2023 Leakage Mathematics KCPE 2023 Leakage Mathematics Paper 1 KCPE 2023 Leakage November KCPE 2023 Marking Scheme KCPE 2023 Mathematics KCPE 2023 Maths KCPE 2023 November Timetable KCPE 2023 Prediction KCPE 2023 Prediction Questions and Answers KCPE 2023 Release Date and Time KCPE 2023 Results KCPE 2023 Results Analysis KCPE 2023 Results Announcement KCPE 2023 Results Out KCPE 2023 Results Per School KCPE 2023 Results Release Date by Knec KCPE 2023 Results Top 100 Students KCPE 2023 Revised Final Timetable Download KCPE 2023 Revised Final Timetable Download and Instructions KCPE 2023 Science KCPE 2023 Timetable KCPE 2023 Timetable November KCPE 2023 Timetable Pdf KCPE 2023 Timetable Results KCPE and KCPE 2022 Exams KCPE and KCPE 2023 Exams KCPE best pupils KCPE best pupils 2022 KCPE best pupils 2023 KCPE best students KCPE best students 2022 KCPE best students 2023 KCPE Dates 2022 KCPE Dates 2023 KCPE Download KCPE November 2022 Timetable KCPE November 2023 Timetable KCPE Questions 2022 KCPE Questions 2023 KCPE Result Slip Download 2022 KCPE Result Slip Download 2023 KCPE Results 2022 KCPE Results 2022 Dates KCPE Results 2022 Full List KCPE Results 2022 Kenya KCPE Results 2022 Live KCPE Results 2022 Per County KCPE Results 2022 Release Date KCPE Results 2022 Release Date and Time KCPE Results 2022 Release Dates KCPE Results 2022 Release: How to Download KCPE KCPE Results 2022 Release: How to Download KCPE Exam Results KCPE Results 2022 Release: How to Download KCPE Results KCPE Results 2022 Today KCPE Results 2022 Top 100 Students KCPE Results 2023 KCPE Results 2023 Dates KCPE Results 2023 Full List KCPE Results 2023 Kenya KCPE Results 2023 Live KCPE Results 2023 Per County KCPE Results 2023 Release Date KCPE Results 2023 Release Date and Time KCPE Results 2023 Release Dates KCPE Results 2023 Release: How to Download KCPE KCPE Results 2023 Release: How to Download KCPE Exam Results KCPE Results 2023 Release: How to Download KCPE Results KCPE Results 2023 Today KCPE Results 2023 Top 100 Students KCPE Results Online KCPE Results Per School KCPE Results Per School 2022 KCPE Results Per School 2023 KCPE Results Slip 2022 KCPE Results Slip 2023 KCPE Revealed 2022 KCPE Revealed 2023 KCPE Time Table 2022 KCPE Time Table 2023 KCPE Timetable 2022 KCPE Timetable 2022 Download KCPE Timetable 2022 March KCPE Timetable 2022 Pdf KCPE Timetable 2023 KCPE Timetable 2023 Download KCPE Timetable 2023 March KCPE Timetable 2023 Pdf KCPE top pupils KCPE top pupils 2022 KCPE top pupils 2023 KCPE top students KCPE top students 2022 KCPE top students 2023 KCSE 2022 Timetable KCSE 2023 Timetable Kcse Dates 2022 Kcse Dates 2023 KCSE Results 2022 Release Date KCSE Results 2022 Release Dates KCSE Results 2023 Release Date KCSE Results 2023 Release Dates Kcse Timetable 2022 Kcse Timetable 2023 Kenya High School Form 1 Selection Kiambu County KCPE Results 2022 Kiambu County KCPE Results 2023 Knec Announces Dates for 2022 KCPE Release Date Knec Announces Dates for 2022 KCPE Release Dates Knec Announces Dates for 2022 KCPE Result Release Date Knec Announces Dates for 2022 KCPE Result Release Dates Knec Announces Dates for 2022 KCPE Results Release Date Knec Announces Dates for 2022 KCPE Results Release Dates Knec Announces Dates for 2022 KCPE, KCSE Exams Release Knec Announces Dates for 2022 KCPE, KCSE Exams Results Release Knec Announces Dates for 2022 KCSE Release Date Knec Announces Dates for 2022 KCSE Release Dates Knec Announces Dates for 2022 KCSE Result Release Date Knec Announces Dates for 2022 KCSE Result Release Dates Knec Announces Dates for 2022 KCSE Results Release Date Knec Announces Dates for 2022 KCSE Results Release Dates Knec Announces Dates for 2023 KCPE Release Date Knec Announces Dates for 2023 KCPE Release Dates Knec Announces Dates for 2023 KCPE Result Release Date Knec Announces Dates for 2023 KCPE Result Release Dates Knec Announces Dates for 2023 KCPE Results Release Date Knec Announces Dates for 2023 KCPE Results Release Dates Knec Announces Dates for 2023 KCPE, KCSE Exams Release Knec Announces Dates for 2023 KCPE, KCSE Exams Results Release Knec Announces Dates for 2023 KCSE Release Date Knec Announces Dates for 2023 KCSE Release Dates Knec Announces Dates for 2023 KCSE Result Release Date Knec Announces Dates for 2023 KCSE Result Release Dates Knec Announces Dates for 2023 KCSE Results Release Date Knec Announces Dates for 2023 KCSE Results Release Dates Knec KCPE 2022 Examination Timetable Knec KCPE 2022 Release; How to Receive KCPE Results Knec KCPE 2022 Results Release and How to Check via Sms Knec KCPE 2022 Timetable Pdf: Subjects Start and End Day Knec KCPE 2022 Timetable Pdf: Subjects That Will Start, End Knec KCPE 2023 Examination Timetable Knec KCPE 2023 Release; How to Receive KCPE Results Knec KCPE 2023 Results Release and How to Check via Sms Knec KCPE 2023 Timetable Pdf: Subjects Start and End Day Knec KCPE 2023 Timetable Pdf: Subjects That Will Start, End Knec Portal Knec Releases Deadline for Verification of 2022 KCPE, KCPE Knec Releases Deadline for Verification of 2023 KCPE, KCPE Knec Releases Results for KCPE 2022 Candidates Knec Releases Results for KCPE 2023 Candidates Knec Releases Revised KCPE & KCPE Exam Timetables Ministry of Education Form One Selection 2022 Ministry of Education Form One Selection 2023 Nairobi Primary KCPE Results 2022 Nairobi Primary KCPE Results 2023 Release Date of KCPE 2022 Release Date of KCPE 2023 Release Dates of KCPE 2022 Release Dates of KCPE 2023 Release of KCPE 2022 Release of KCPE 2023 Release Time of KCPE 2022 Release Time of KCPE 2023 Release Times of KCPE 2022 Release Times of KCPE 2023 Timetable for 2022 KCPE Exam Timetable for 2023 KCPE Exam Tips to Pass KCPE Exams Top 10 Schools in KCPE 2022 Top 10 Schools in KCPE 2023 Top 10 Students KCPE 2022 Top 10 Students KCPE 2023 Top 100 Schools in Kisii County KCPE 2022 Top 100 Schools in Kisii County KCPE 2023 Top 100 Schools KCPE 2022 in Kenya Top 100 Schools KCPE 2022 Nairobi County Top 100 Schools KCPE 2023 in Kenya Top 100 Schools KCPE 2023 Nairobi County Top 50 KCPE Candidates 2022 Top 50 KCPE Candidates 2023 Top Pupils in KCPE 2022 Top Pupils in KCPE 2023 Top Schools in KCPE 2022 Top Schools in KCPE 2022 Nairobi County Top Schools in KCPE 2023 Top Schools in KCPE 2023 Nairobi County Tvet Knec Results 2022 Release Date Tvet Knec Results 2023 Release Date Tvet Knec Results July 2022 Release Date Tvet Knec Results July 2023 Release Date What Does P Mean in KCPE Results? What Grade is 69 Points in Kcse? What is Passing Score for KCPE? What is the Fastest Way to Answer a Test? What is the Highest KCPE Marks Ever? What is the Most Popular School in Kenya? What is the My School App? What is the Pass Mark for KCPE 2022? What is the Pass Mark for KCPE 2023? What Was the Lowest Mark in KCPE? When Are the KCPE Results Being Released 2022 When Are the KCPE Results Being Released 2023 When Did KCPE 2022 End? When Did KCPE 2023 End? When is KCPE 2022 Released When is KCPE 2022 Released? When is KCPE 2022 Starting When is KCPE 2023 Released When is KCPE 2023 Released? When is KCPE 2023 Starting When is KCPE Released When is KCPE Released? When is Kcse 2022 Starting When is Kcse 2023 Starting When Will KCPE 2022 Be Done When Will KCPE 2022 Be Released? When Will KCPE 2023 Be Done When Will KCPE 2023 Be Released? Which Date and Time Are KCPE Results Being Released 2022? Which Date and Time Are KCPE Results Being Released 2023? Which Date Are KCPE Results Being Released 2022? Which Date Are KCPE Results Being Released 2023? Which Date is KCPE Starting? Which Date Will KCPE 2022 Start? Which Date Will KCPE 2023 Start? Which Date Will KCPE End? Which Date Will Kcse 2022 Start? Which Date Will Kcse 2023 Start? Which Exam Will Replace KCPE? Which is the Biggest Primary School in Kenya? Which is the Largest School in Kenya? Which is the Smartest City in Kenya? Which Month Are KCPE Results Being Released 2022? Which Month Are KCPE Results Being Released 2023? Which School Has the Most Students in Kenya? Which School Was Number One in KCPE? Which School Was Number One in KCSE? Which Time Are KCPE Results Being Released 2022? Which Time Are KCPE Results Being Released 2023? Who Has the Highest Marks in KCPE 2022? Who Has the Highest Marks in KCPE 2023? Who is No 1 in KCPE2022? Who is No 1 in KCPE2023? Who is No 1 School in World? Who is the Top Student in KCPE 2022? Who is the Top Student in KCPE 2023? Who Made 1 School? Who Scored 482 Marks in KCPE? Who Scored the Highest in KCPE 2022? Who Scored the Highest in KCPE 2023? Who Topped KCPE? Www.education.go.ke Form One Selection 2022 Www.education.go.ke Form One Selection 2023 Www.knec-portal.ac.ke Results Www.knec-portal.ac.ke Results 2022 Www.knec-portal.ac.ke Results 2023 Www.knec.ac.ke Login