KCSE Past Papers Computer Studies 2014 

UNICAF-2026-C

Click Here - Free KCSE Past Papers » KCSE Past Papers Computer Studies 2013 » Free Downloads » KCSE Papers & Marking Schemes

KCSE Past Papers Computer Studies 2013

3.23.1 Computer Studies Paper 1 (451/1)

SECTION A (40 marks)

Answer all the questions in this section in the spaces provided.

1 State one function for each of the following elements of a computer system:

(a) hardware; (1 mark)

(b) software; (l mark)

(c) liveware. (l mark)

2 Explain two health issues that could arise from the use of an unsuitable computer desk. (4 marks)

3 List the two categories of system software. (1 mark)

4 Explain two contents of a warranty that should be considered when purchasing computer hardware. (4 marks)

5 Students of a school intend to elect their school captain by secret ballot. State three ways in which computers can be used to improve the election process. (3 marks)

6 Figure 1 and figure 2 show icons representing commands used to manipulate graphics in a desktop publishing package.

Explain the use of each of the icons labelled figure 1 and figure 2. (2 marks)

7 Give two differences between a Graphical User Interface (GUI) and a Commandline Interface. (4 marks)

8 Identify each of the following symbols as used in a system flowchart.

9 A student typed a letter in a wordprocessor and the last line of the letter flowed to the second page.

State three ways in which the student could have adjusted the letter to fit on one page without changing the paper size. (3 marks)

10 A computer user is unable to retrieve a file stored in a server in an organisation. State three reasons why the user would need to contact the network administrator. (3 marks)

11 State three ways in which mobile phones have affected money transactions in the country. (3 marks)

12 State two items that an electronic mail should have for it to be sent. (2 marks)

13 List four devices that use scanning technology that would be used to capture data directly from the source. (2 marks)

14 State two ways in which hardware failure is a threat to data security. (2 marks)

15 Given the binary number 1010] 1 I0] l 1101 l , determine the number of: (a) nibbles; (1 mark)

(b) bytes. (1 mark)

SECTION B (60 marks)

Answer question 16 and any other three questions from this section in the spaces provided.

16 (a) State two advantages of using low level programming languages. (2 marks)

(b) Other than flow charts, state three tools that can be used to present an algorithm. (3 marks)

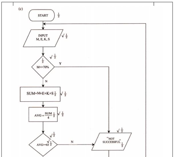
(c)A form one admission interview consists of four tests; Mathematics, English, Kiswahili and Science. In order to qualify for admission, an applicant must attain a minimum average of 65% in the four tests and not less than 70% in Mathematics. All applicants must sit for the interview. Draw a flowchart that would read the scores for each applicant and determine whether an applicant is successful or not. (10 marks)

17 (a)With the aid of a diagram, describe time sharing mode as used in computer data processing. (5 marks)

(b) A company’s management has opted to use computers to process data. State four factors that the management needs to consider when selecting the company data processing mode. (4 marks)

(c) Explain the purpose of each of the following in system documentation:

(i) user manual; (2 marks)

(ii) sample data; (2 marks)

(iii) table descriptions. (2 marks) 18 (a) State the role of each of the following data communication devices:

(i) repeater; (1 mark)

(ii) router. (1 mark)

(b) Figure 3 shows a network based on the bus topology.

(i) Identify the component labelled P. (1 mark)

(ii) State the function of the component labelled P. (2 marks)

(c) Students of Neema Secondary School formed an environmental club with a goal of taking part in environmental conservation activities. Outline three ways in which they can use the intemet to achieve this goal. (3 marks)

(d) (i) A company has three branches A, B and C where A is the headquarter. The local area network (LAN) at A is directly connected to the LAN at B and directly to the LAN at C. Explain two benefits of having the LAN at B also directly connected to the LAN at C. (4 marks)

(ii) State three Ways in which a company can protect its computer network from hackers. (3 marks)

19 (a) The following is an extract from a document created using a word processor.

CHALLENGES FACING THE YOUTH IN TODAY’S SOCIETY

Identify six formats that have been applied on the extract. (3 marks)

(b) State three tools in a word processor that would help a user to minimize spelling mistakes when creating a document. (3 marks)

(c) The following is an extract of a spreadsheet created to manage sales. Use it to answer the questions that follow.

(i) Write a formula that will compute the number of items whose unit price is more than 10,000.

(ii) If the formula = $B2 * C$2 was placed in cell D2, state the output if it was copied to D3. (2 marks)

(d) A school administers examinations to all students in sciences, humanities and languages. Use the entities; EXAMINATIONS, STUDENTS, SCIENCES, HUMANITIES and LANGUAGES to illustrate a network database model.(4 marks)

20 (a) Describe the octal number system.

(b) Convert each of the following to the number system indicated:

3.23.2 Computer Studies Paper 2 (451/2)

1 Singlen Clean Limited is a waste management company. They have new services which they would wish to introduce to their clients through a letter. An invoice for previous services offered will be attached to the letter.

The following is a letter and an invoice to one of their clients.

(a) Using a wordprocessing package, create a document with the following as they appear.

(i) The letter.

(ii) The invoice on the next page.

(iii) Save the document as Singlen. (42 1/2 marks)

(b) (i) Copy the content of the document named Singlen into a blank document.

Save the document as Newsinglen. (10 marks)

(ii) Convert the data in the columns; code, item description and fee per unit into a table without retyping. (2 marks)

(c) Use wordprocessing formulae to calculate the following in the invoice on the document named Newsinglen. (i) Total amount for each item. (1 mark)

(ii) Grand total. (1 mark)

Save your work.

(d) Print each of the following on both sides of the printing paper.

(i) Singlen. (1 mark)

(ii) Newsinglen. (1 mark)

2 The figure below shows an extract of a worksheet showing sales and expenses for Amani Company for the months of January to June. Use it to answer the questions that follow.

(a) Create the worksheet as it appears in the figure in a spreadsheet package and save it as Incomestatement. (9 marks)

(b) Use a function that references only to cells to calculate:

(i) Total sales from January to June. (1 mark)

(ii) Total for rent expenses and apply the formula to obtain the total for other expenses.

(iii) The profit or loss for each month.(2 marks)

(c) Format the Worksheet as follows:(2 marks)

(i) Merge the cells from A2 to H2(1 mark)

(ii) Resize the title to fontsize 16 and apply bold.(2 marks)

(iii)Apply a single line border to all the cells containing data. (1 mark)

(v)Align to the right all the column headings in the worksheet. (1 mark)

(iv)Apply a grey background colour to all column headings. (1 mark)

(d)Rename the current worksheet as Profit. (1 mark)

Copy the content of the worksheet named Profit to a new worksheet and rename the new worksheet Modified. (1 mark)

(e) The company is expected to remit 15% of their sales as sales tax to a revenue authority.

(i) Insert a blank row below the sales row and label it as “Sales Tax”. (1 mark)

(ii) Compute the sales tax for January using absolute cell referencing to obtain the tax for the other months. (3 marks)

(iii) Calculate profit or loss for each month after taxation. (2 marks)

(iv) Insert a blank row below the profit or loss row and label it as “Comment”. (1 mark)

(f) Use the “IF” function to display comments for the profit or loss as follows:

(g) Create a bar chart to compare the sales and the total expenses for each of the six months and:

(i) Insert the chart title: “Sales Expenses Analysis”;

(ii)Insert the x-axis label: “Month”;

(iii)Insert the y-axis label: “Amount”;

(iv)Insert data labels for the sales series;

(v)Save it as a new worksheet named Comparison.

(11 marks)

(h) Set page orientation of the worksheet named Modified to landscape. (1 mark)

(i) Print the following Worksheets:

(i) Profit;

(ii) Modified;

(iii) Modified showing the formula;

(iv) Comparison.

(5 marks)

KCSE Results » KCSE Results Top 100 Schools - Kenya Certificate of Secondary Education – KCSE » KCSE Top 100 Candidates » Kenya Certificate of Secondary Education – KCSE » KNEC - Kenya National Examinations Council » Secondary Schools in Kenya » KNEC - Kenya National Examinations Council » Free KNEC KCSE Past Papers

Kenya Scholarships for Undergraduate Students » Kenya Scholarships for Postgraduate Students » Undergraduate Scholarships for Kenyan Students » Kenya Undergraduate Scholarships » Full Undergraduate Scholarships for Kenyans » Kenya Postgraduate Scholarships » Scholarships & Grants » Undergraduate Scholarships » Universities in Kenya » Kenya Universities and Colleges Central Placement Service (KUCCPS) » Colleges in Kenya » KASNEB Registration & Results » Secondary Schools Scholarships in Kenya » Undergraduate & Graduate Scholarships for Kenyans

Scholarships for African Students » Undergraduate Scholarships » African Women Scholarships & Grants » Developing Countries Scholarships » Erasmus Mundus Scholarships for Developing Countries » Fellowship Programs » Funding Grants for NGOs » Government Scholarships » LLM Scholarships » MBA Scholarships » PhD and Masters by Research Scholarships » Public Health Scholarships - MPH Scholarships » Refugees Scholarships » Research Grants » Scholarships and Grants

Scholarships in Australia » Scholarships in Belgium » Scholarships in Canada » Scholarships in Germany » Scholarships in Italy » Scholarships in Japan » Scholarships in Korea » Scholarships in Netherlands » Scholarships in UK » Scholarships in USA

KCSE Past Papers Computer Studies 2013

Pdf" Revision Questions Computer Form 2 "Pdf" Revision Questions Computer Form 3 "Pdf" Revision Questions Computer Form 4 "Pdf" Revision Questions Computer Form Four "Pdf" Revision Questions Computer Form One "Pdf" Revision Questions Computer Form Three "Pdf" Revision Questions Computer Form Two "Pdf" Revision Questions Computer Studies Form 2 "Pdf" Revision Questions Computer Studies Form 3 "Pdf" Revision Questions Computer Studies Form 4 "Pdf" Revision Questions Computer Studies Form Four "Pdf" Revision Questions Computer Studies Form One "Pdf" Revision Questions Computer Studies Form Three "Pdf" Revision Questions Computer Studies Form Two 1 a a KCSE Past Papers 10th Grade Computer Questions and Answers 10th Grade Computer Studies Questions and Answers 10th Grade Computer Studies Test 10th Grade Computer Test 11th Ncert Computer 11th Ncert Computer Studies 12th Class Computer Book Free Download 12th Class Computer Studies Book Free Download 15 Common Computer Questions From Form 1 15 Common Computer Questions From Form 2 15 Common Computer Questions From Form 3 15 Common Computer Questions From Form 4 15 Common Computer Questions From Form Four 15 Common Computer Questions From Form One 15 Common Computer Questions From Form Three 15 Common Computer Questions From Form Two 15 Common Computer Studies Questions From Form 1 15 Common Computer Studies Questions From Form 2 15 Common Computer Studies Questions From Form 3 15 Common Computer Studies Questions From Form 4 15 Common Computer Studies Questions From Form Four 15 Common Computer Studies Questions From Form One 15 Common Computer Studies Questions From Form Three 15 Common Computer Studies Questions From Form Two 150 Common Computer Questions From Form 1 150 Common Computer Questions From Form 2 150 Common Computer Questions From Form 3 150 Common Computer Questions From Form 4 150 Common Computer Questions From Form Four 150 Common Computer Questions From Form One 150 Common Computer Questions From Form Three 150 Common Computer Questions From Form Two 150 Common Computer Studies Questions From Form 1 150 Common Computer Studies Questions From Form 2 150 Common Computer Studies Questions From Form 3 150 Common Computer Studies Questions From Form 4 150 Common Computer Studies Questions From Form Four 150 Common Computer Studies Questions From Form One 150 Common Computer Studies Questions From Form Three 150 Common Computer Studies Questions From Form Two 2014 KCSE Marking Schemes 2014 Pdf KCSE Past Papers 2015 2015 Computer Essay Questions and Answers Form 4 2015 Computer Studies Essay Questions and Answers Form 4 2016 KCSE Papers 2016 KCSE Prediction Questions 2017 Computer Hsc Answers 2017 Computer Studies Hsc Answers 2017 KCSE Prediction Questions 2018 Computer KCSE Leakage 2018 Computer KCSE Questions 2018 Computer Studies KCSE Leakage 2018 Computer Studies KCSE Questions 2018 KCSE Busineness Studies 2018 KCSE Exam 2018 KCSE Leakage 2018 KCSE Prediction Questions 2018 KCSE Questions 2019 Computer KCSE Leakage 2019 Computer KCSE Questions 2019 Computer Studies KCSE Leakage 2019 Computer Studies KCSE Questions 2019 KCSE Exams Computer Papers 2019 KCSE Exams Computer Studies Papers 2019 KCSE Exams Papers 2019 KCSE Leakage 2019 KCSE Questions 2020 KCSE Exams Computer Papers 2020 KCSE Exams Computer Studies Papers 2021 KCSE Exams Computer Papers 2021 KCSE Exams Computer Studies Papers 5 Parts of Keyboard 9th Grade Computer Studies Study Guide 9th Grade Computer Study Guide A a a Computer Notes a a a Computer Notes! A a a Computer Studies Notes a a a Computer Studies Notes! a a a Computer StudiesNotes! a a a ComputerNotes! A a KCSE Past Papers A Biblical View of Social Justice A Level Computer Biological Molecules Questions A Level Computer Exam Questions by Topic A Level Computer Notes Edexcel A Level Computer Notes Xtremepapers A Level Computer Past Papers A Level Computer Questions and Answers a Level Computer Questions and Answers A Level Computer Questions and Answers (Pdf) A Level Computer Questions and Answers Pdf A Level Computer Questions by Topic Kidney Questions With Markschemes A Level Computer Revision A Level Computer Revision Edexcel A Level Computer Revision Guide A Level Computer Revision Notes A Level Computer Revision Notes Pdf A Level Computer Studies Biological Molecules Questions A Level Computer Studies Exam Questions by Topic A Level Computer Studies Notes Edexcel A Level Computer Studies Notes Xtremepapers A Level Computer Studies Past Papers A Level Computer Studies Questions and Answers a Level Computer Studies Questions and Answers A Level Computer Studies Questions and Answers (Pdf) A Level Computer Studies Questions and Answers Pdf A Level Computer Studies Questions by Topic Kidney Questions With Markschemes A Level Computer Studies Revision A Level Computer Studies Revision Edexcel A Level Computer Studies Revision Guide A Level Computer Studies Revision Notes A Level Computer Studies Revision Notes Pdf A Level Computer Studies Textbook Pdf A Level Computer Studies Year 1 / as Aqa Exam Questions by Topic A Level Computer Textbook Pdf A Level Computer Year 1 / as Aqa Exam Questions by Topic A Level Edexcel Notes a* Computer A Level Edexcel Notes a* Computer Studies aa Computer Form 3 Questions and Answers aa Computer Studies Form 3 Questions and Answers Advance KCSE Past Papers Advance-africa.com KCSE Rev Quiz Advantages and Disadvantages. Advice to KCSE Candidates All Computer Essays All Computer Notes for Senior Two All Computer Questions and Answers Pdf,ppt All Computer Studies Essays All Computer Studies Notes for Senior Two All Computer Studies Questions and Answers Pdf,ppt All KCSE Past Papers Computer Studies With Making Schemes All KCSE Past Papers Computer With Making Schemes All Marking Schemes Questions and Answers All Past K.c.s.e Questions With Answers Alliance Mocks 2017 Ap Bio Quizzes Ap Computer 1 Textbook Pdf Ap Computer Essay Questions and Answers Ap Computer Studies 1 Textbook Pdf Ap Computer Studies Essay Questions and Answers Are Sourced From KNEC. As Level Computer Notes As Level Computer Studies Notes Atika Computer Notes Atika Computer Studies Notes Atika School Computer Notes Atika School Computer Studies Notes B/s Book 2 Notes Basic Computer Books Pdf basic Computer Interview Questions and Answers Pdf Basic Computer Interview Questions and Answers Pdf Basic Computer Pdf Basic Computer Questions and Answers Basic Computer Questions and Answers Pdf Basic Computer Studies Books Pdf basic Computer Studies Interview Questions and Answers Pdf Basic Computer Studies Interview Questions and Answers Pdf Basic Computer Studies Pdf Basic Computer Studies Questions and Answers Basic Computer Studies Questions and Answers Pdf Bbc Bitesize Computer Ks3 Bbc Bitesize Computer Studies Ks3 Best Computer Books for KCSE Knec Best Computer Studies Books for KCSE Knec Best Revision Books for KCSE Bihar Board Computer Objective Answer 2017 Bihar Board Computer Objective Answer 2018 Bihar Board Computer Studies Objective Answer 2017 Bihar Board Computer Studies Objective Answer 2018 Bio Answers Bio Quesions Blologytextpapers Bridge Computer Bridge Computer Studies Brief Notes Computer Form 1 Brief Notes Computer Form 2 Brief Notes Computer Form 3 Brief Notes Computer Form 4 Brief Notes Computer Form Four Brief Notes Computer Form One Brief Notes Computer Form Three Brief Notes Computer Form Two Brief Notes Computer Form3 Chapter1 Brief Notes Computer Studies Form 1 Brief Notes Computer Studies Form 2 Brief Notes Computer Studies Form 3 Brief Notes Computer Studies Form 4 Brief Notes Computer Studies Form Four Brief Notes Computer Studies Form One Brief Notes Computer Studies Form Three Brief Notes Computer Studies Form Two Brief Notes Computer Studies Form3 Chapter1 Business Past KCSE Past Papers C R E Form One KLB C R E Form One Oli Topic C.r.e Form 1 Notes Kenya C.r.e Form 2 Notes Kenya C.r.e Form 3 Notes C.r.e Form 3 Notes Kenya C.r.e Form 3 Pdf C.r.e Form 4 Notes Kenya C.r.e Form One Notes Pdf C.r.e Notes Form 1 C.r.e Revision Notes C.r.e Short Notes Cambridge IGCSE Computer Cambridge IGCSE Computer 3rd Edition Cambridge IGCSE Computer 3rd Edition Plus Cd South Asia Edition Cambridge IGCSE Computer Answers Cambridge IGCSE Computer Coursebook Pdf Download Cambridge IGCSE Computer Practical Workbook Cambridge IGCSE Computer Revision Guide Pdf Cambridge IGCSE Computer Studies Cambridge IGCSE Computer Studies 3rd Edition Cambridge IGCSE Computer Studies 3rd Edition Plus Cd South Asia Edition Cambridge IGCSE Computer Studies Answers Cambridge IGCSE Computer Studies Coursebook Pdf Download Cambridge IGCSE Computer Studies Practical Workbook Cambridge IGCSE Computer Studies Revision Guide Pdf Cambridge IGCSE Computer Studies Study and Revision Guide 2nd Edition Pdf Cambridge IGCSE Computer Studies Study and Revision Guide Pdf Cambridge IGCSE Computer Studies Workbook Free Download Cambridge IGCSE Computer Studies Workbook Pdf Cambridge IGCSE Computer Study and Revision Guide 2nd Edition Pdf Cambridge IGCSE Computer Study and Revision Guide Pdf Cambridge IGCSE Computer Workbook Free Download Cambridge IGCSE Computer Workbook Pdf Cambridge IGCSE® Computer Coursebook Cambridge IGCSE® Computer Studies Coursebook Caucasian Chalk Circle Essay Questions Chapter 1 Introduction to Computer Chapter 1 Introduction to Computer Studies Chapter 1 Introduction to Computer Studies Studies Cie a Level Computer Notes 2016 Cie a Level Computer Notes Pdf Cie a Level Computer Studies Notes 2016 Cie a Level Computer Studies Notes Pdf Cie Past Papers Class 10 Computer Chapter 1 Mcqs Class 10 Computer Studies Chapter 1 Mcqs Class 8 Computer Notes KCSE-kcse Class 8 Computer Studies Notes KCSE-kcse College Computer Notes College Computer Practice Test College Computer Quiz College Computer Quiz Chapter 1 College Computer Quizlet College Computer Studies Notes College Computer Studies Practice Test College Computer Studies Quiz College Computer Studies Quiz Chapter 1 College Computer Studies Quizlet College Computer Studies Study Guide College Computer Studies Study Guide Pdf College Computer Studies Test Questions and Answers College Computer Studies Volume 3 Pdf College Computer StudiesNotes College Computer Study Guide College Computer Study Guide Pdf College Computer Test Questions and Answers College Computer Volume 3 Pdf College ComputerNotes Complete Computer for Cambridge IGCSE Complete Computer for Cambridge IGCSE Revision Guide Pdf Complete Computer Studies for Cambridge IGCSE Complete Computer Studies for Cambridge IGCSE Revision Guide Pdf Computer Computer 0478 Computer 101 Computer 12th Computer 12th Class Notes Pdf Computer 2 Topic Form Two Computer 2019 Syllabus Computer All KCSE Short Notes Computer Answers Computer Answers Online Free Computer Answers Quizlet Computer Bk 2 Notes Computer Book 1 Computer Book 1 Notes Computer Book 2 Computer Book 2 Notes Computer Book 3 Computer Book 3 KLB Computer Book 3 Notes Computer Book 4 Computer Book 4 Notes Computer Book 4 Pdf Computer Book for Class 11 Computer Book Four Computer Book Four Notes Computer Book One Computer Book One Notes Computer Book Pdf Free Download Computer Book Three Computer Book Three Notes Computer Book Three Pdf Computer Book Two Computer Book Two Notes Computer Books Form Three Computer Bowl Computer Study Guide Computer Bowl Questions Computer Computer Bowl Questions Earth Computer Computer Bowl Questions Math Computer Bowl Questions Middle School Computer Brekthrough Form Two Notes Computer Class 12 Ncert Solutions Computer Class 12 Pdf Computer Communication Syllabus Computer Diagram Software Computer Diagrams Computer Diagrams for Class 11 Computer Diagrams for Class 12 Computer Diagrams for Class 9 Computer Diagrams for Class-10 Computer Diagrams in Form 1 Computer Diagrams in Form 2 Computer Diagrams in Form 3 Computer Diagrams in Form 4 Computer Diagrams Pdf Computer Diagrams to Label Computer Essay Questions and Answers Computer Essay Questions and Answers 2018 Computer Essay Questions and Answers Form 1 Computer Essay Questions and Answers Form 2 Computer Essay Questions and Answers Form 3 Computer Essay Questions and Answers Form 4 Computer Essay Questions and Answers Form 4 Pdf Computer Essay Questions and Answers Pdf Computer Essay Revision Q Computer Essays and Answers Computer Essays Form One to Form Four Computer Essays Form One to Form Three Computer Essays KCSE Computer Essays Pdf Computer Exam 1 Multiple Choice Computer Exam 2 Advance Computer Exam 2 Test Computer Exam 2016 Computer Exam Form Four Computer Exam Form One Computer Exam Form Three Computer Exam Form Two Computer Exam Practice Test Computer Exam Questions Computer Exam Questions and Answers Computer Exam Questions and Answers Pdf Computer Exam Study Guide Computer Exams Computer Excretion Notes Computer Exercise Form 4 With Answers Computer Final Exam Answer Key Computer Final Exam Answer Key 2016 Computer Final Exam Answer Key 2017 Computer Final Exam Answers 2018 Computer Final Exam Answers 2019 Computer Final Exam Questions and Answers Computer Fom 1 Notes Computer Fom 2 Notes Computer Fom 3 Notes Computer Fom 4 Notes Computer Form 1 Computer Form 1 & 2 and Answers Computer Form 1 and 2 Essays Computer Form 1 and 2 Essays Questions and Answers Computer Form 1 and 2 Notes Computer Form 1 Chapter 1 Computer Form 1 Diagrams Computer Form 1 Download Computer Form 1 Exams Computer Form 1 Mid Year Exam Computer Form 1 Notes Computer Form 1 Notes and Questions Computer Form 1 Notes Download Computer Form 1 Notes Free Download Computer Form 1 Notes GCSE Computer Form 1 Notes KCSE-kcse Computer Form 1 Notes Online Computer Form 1 Notes Pdf Computer Form 1 Notes Pdf Download Computer Form 1 Notes Revision Computer Form 1 Past Papers Computer Form 1 Pastpapers and Marking Scheme Computer Form 1 Pdf Computer Form 1 Pressure Computer Form 1 Question Papers Computer Form 1 Questions Computer Form 1 Questions and Answers Computer Form 1 Questions and Answers Pdf Computer Form 1 Quiz Computer Form 1 Revision Notes Computer Form 1 Revision Questions Computer Form 1 Summary Notes Computer Form 1 Syllabus Computer Form 1 Text Book Computer Form 1 Text Book Notes Computer Form 1 Work Computer Form 1-4 Notes Computer Form 2 Computer Form 2 Chapter 1 Computer Form 2 Chapter 2 Computer Form 2 Diagrams Computer Form 2 Download Computer Form 2 Exam Paper 2014 Computer Form 2 Exams Computer Form 2 Notes Computer Form 2 Notes and Questions Computer Form 2 Notes GCSE Computer Form 2 Notes KCSE-kcse Computer Form 2 Notes Online Computer Form 2 Notes Pdf Computer Form 2 Notes Pdf Download Computer Form 2 Notes Revision Computer Form 2 Past Papers Computer Form 2 Pastpapers and Marking Scheme Computer Form 2 Pdf Computer Form 2 Question Papers Computer Form 2 Questions Computer Form 2 Questions and Answers Computer Form 2 Questions and Answers Pdf Computer Form 2 Quiz Computer Form 2 Revision Notes Computer Form 2 Salts Computer Form 2 Structure and Bonding Computer Form 2 Summary Notes Computer Form 2 Syllabus Computer Form 2 Text Book Computer Form 2 Text Book Notes Computer Form 2 Work Computer Form 3 Computer Form 3 and 4 Essays Computer Form 3 and 4 Essays Questions and Answers Computer Form 3 Chapter 3 Computer Form 3 Classification Computer Form 3 Diagrams Computer Form 3 Download Computer Form 3 Ecology Computer Form 3 Exams Computer Form 3 Notes Computer Form 3 Notes and Questions Computer Form 3 Notes GCSE Computer Form 3 Notes KCSE-kcse Computer Form 3 Notes Online Computer Form 3 Notes Pdf Computer Form 3 Notes Pdf Download Computer Form 3 Notes Revision Computer Form 3 Notes Topic 1 Computer Form 3 Past Papers Computer Form 3 Pastpapers and Marking Scheme Computer Form 3 Pdf Computer Form 3 Question Papers Computer Form 3 Questions Computer Form 3 Questions and Answers Computer Form 3 Questions and Answers Pdf Computer Form 3 Questions and Answers Term 3 Computer Form 3 Questions and Answers+pdf Computer Form 3 Quiz Computer Form 3 Revision Notes Computer Form 3 Revision Questions Computer Form 3 Summary Notes Computer Form 3 Syllabus Computer Form 3 Syllabus Pdf Computer Form 3 Text Book Computer Form 3 Text Book Notes Computer Form 3 Topics Computer Form 3 Work Computer Form 4 Computer Form 4 All Chapter Computer Form 4 Chapter 1 Conversion of Units Computer Form 4 Chapter 1 Exercise Computer Form 4 Chapter 1 Exercise and Answers Computer Form 4 Chapter 1 Exercise Pdf Computer Form 4 Chapter 1 Mind Map Computer Form 4 Chapter 2 Computer Form 4 Chapter 2 Exercise and Answers Computer Form 4 Chapter 2 Exercise Pdf Computer Form 4 Chapter 2 Experiment Computer Form 4 Chapter 2 Formula Computer Form 4 Chapter 2 Mind Map Computer Form 4 Chapter 2 Momentum Computer Form 4 Chapter 2 Notes Pdf Computer Form 4 Chapter 2 Objective Questions and Answers Computer Form 4 Chapter 2 Paper 2 Computer Form 4 Chapter 2 Slideshare Computer Form 4 Chapter 3 Computer Form 4 Chapter 3 Questions and Answers Computer Form 4 Chapter 4 Computer Form 4 Chapter 4 Notes Pdf Computer Form 4 Chapter 5 Light Questions and Answers Computer Form 4 Chapter 5 Notes Pdf Computer Form 4 Diagrams Computer Form 4 Download Computer Form 4 Exam Paper 1 Computer Form 4 Exams Computer Form 4 Exercise Computer Form 4 Exercise Pdf Computer Form 4 Module With Answer Computer Form 4 Note Computer Form 4 Notes Computer Form 4 Notes (Pdf) Computer Form 4 Notes All Chapter Pdf Computer Form 4 Notes and Questions Computer Form 4 Notes Chapter 1 Computer Form 4 Notes Chapter 2 Computer Form 4 Notes Chapter 3 Computer Form 4 Notes Download Computer Form 4 Notes Free Download Computer Form 4 Notes GCSE Computer Form 4 Notes KCSE-kcse Computer Form 4 Notes Online Computer Form 4 Notes Pdf Computer Form 4 Notes Pdf Download Computer Form 4 Notes Revision Computer Form 4 Paper 2 Questions and Answers Computer Form 4 Past Papers Computer Form 4 Pastpapers and Marking Scheme Computer Form 4 Question Papers Computer Form 4 Questions Computer Form 4 Questions and Answers Computer Form 4 Questions and Answers Pdf Computer Form 4 Quiz Computer Form 4 Revision Notes Computer Form 4 Schemes of Work Computer Form 4 Summary Notes Computer Form 4 Syllabus Computer Form 4 Text Book Computer Form 4 Text Book Notes Computer Form 4 Textbook Pdf Computer Form 4 Work Computer Form 5 Chapter 1 Exercise and Answers Computer Form 5 Chapter 1 Notes Pdf Computer Form 5 Chapter 2 Notes Pdf Computer Form 5 Chapter 2 Slideshare Computer Form 5 Chapter 3 Notes Pdf Computer Form 5 Notes Pdf Computer Form Four Book Computer Form Four Download Computer Form Four Notes Computer Form Four Notes and Questions Computer Form Four Notes GCSE Computer Form Four Notes Online Computer Form Four Notes Pdf Computer Form Four Notes Revision Computer Form Four Past Papers Computer Form Four Pastpapers and Marking Scheme Computer Form Four Questions Computer Form Four Questions and Answers Computer Form Four Questions and Answers Pdf Computer Form Four Quiz Computer Form Four Revision Notes Computer Form Four Study Notes Computer Form Four Syllabus Computer Form Four Text Book Computer Form Four Text Book Notes Computer Form Four Topic 2 Computer Form Four Topic 4 Computer Form Four Topics Computer Form Four Work Computer Form One Computer Form One Book Computer Form One Book Pdf Computer Form One Download Computer Form One Download Topic 1 Upto 3 Computer Form One Exam Computer Form One Notes Computer Form One Notes and Questions Computer Form One Notes GCSE Computer Form One Notes Online Computer Form One Notes Pdf Computer Form One Notes Revision Computer Form One Pastpapers and Marking Scheme Computer Form One Pdf Computer Form One Questions Computer Form One Questions and Answers Computer Form One Questions and Answers Pdf Computer Form One Questions and Their Answers Computer Form One Quiz Computer Form One Revision Notes Computer Form One Revision Question Computer Form One Schemes of Work Computer Form One Study Notes Computer Form One Syllabus Computer Form One Term Three Test Computer Form One Text Book Computer Form One Text Book Notes Computer Form One to Three Notes Computer Form One Work Computer Form Three Computer Form Three Book Computer Form Three Download Computer Form Three Notes Computer Form Three Notes and Questions Computer Form Three Notes GCSE Computer Form Three Notes Online Computer Form Three Notes Revision Computer Form Three Pastpapers and Marking Scheme Computer Form Three Questions and Answers Computer Form Three Questions and Answers Pdf Computer Form Three Quiz Computer Form Three Reproduction Computer Form Three Reproduction. Computer Form Three Revision Notes Computer Form Three Study Notes Computer Form Three Text Book Computer Form Three Text Book Notes Computer Form Three Work Computer Form Three-questions and Answers Computer Form Two Computer Form Two Book Computer Form Two Diagrams Computer Form Two Download Computer Form Two Notes Computer Form Two Notes and Questions Computer Form Two Notes GCSE Computer Form Two Notes Online Computer Form Two Notes Pdf Computer Form Two Notes Revision Computer Form Two Notes-pdf Computer Form Two Pastpapers and Marking Scheme Computer Form Two Pdf Computer Form Two Questions Computer Form Two Questions and Answers Computer Form Two Questions and Answers Pdf Computer Form Two Quiz Computer Form Two Revision Notes Computer Form Two Study Notes Computer Form Two Text Book Computer Form Two Text Book Notes Computer Form Two Topics Computer Form Two Work Computer Form Two,schemes of Work Computer Form2 Computer Form2 Textbook Computer Full Exam Papers Computer Game Form Four Question End Answers Computer Grade 10 Exam Papers Computer Hsc Pdf Computer Human Reproduction Video Computer IGCSE Past Papers Xtremepapers Computer K.c.s.e 2017 Computer K.C.S.E Revision Papers Computer KCSE Computer KCSE 2016 Computer KCSE 2017 Computer KCSE 2017 Paper 1 Computer KCSE Papers With Their Marking Schemes Computer KCSE Past Papers Computer KCSE Questions Computer KCSE Questions and Answer Computer KCSE Quizzes & Answers Computer KCSE Revision Computer KCSE Revision Notes Computer KCSE Setting Questions Form One and Two Computer Keyboard Function Keys and Their Functions Computer Keyboard Functions Explained Computer Keyboard Keys and Their Functions Pdf Computer Ksce 2015 Computer Last Year K.c.s.e Questions Computer Lesson Plan Form Two Computer Made Familiar Computer Mcq for Class 11 Computer Mcq for Class 12 Computer Mcq for Competitive Exams Computer Mcq for Competitive Exams Pdf Computer Mcq for Neet Pdf Computer Mcq for Ssc Computer Mcq Questions With Answers Computer Mcq With Answers Pdf Computer Mcqs for Class 12 Pdf Computer Mcqs With Answers Pdf Computer Mid Familia Form One Computer Mock Papers Computer Module Form 5 Computer Multiple Choice Questions and Answers Cxc Computer Multiple Choice Questions and Answers Pdf Computer Multiple Choice Questions With Answers Pdf Computer Note Computer Note Form Two All Chapters Computer Notes Computer Notes and Guestion and Answear Computer Notes and Syllabus Computer Notes Book Four Computer Notes Book One Computer Notes Book Three Computer Notes Book Two Computer Notes Class 10 Computer Notes for Class 11 Pdf Computer Notes for Class 12 Pdf Computer Notes for High School Students Computer Notes for IGCSE 2014 Computer Notes Form 1 Computer Notes Form 1 4 Computer Notes Form 1 Free Download Computer Notes Form 1 KLB Computer Notes Form 1 Pdf Computer Notes Form 1-4 Computer Notes Form 1-4 Pdf Computer Notes Form 1-4(1) Computer Computer Notes Form 14 Computer Notes Form 2 Computer Notes Form 2 KLB Computer Notes Form 2 Pdf Computer Notes Form 2; Computer Notes Computer Notes Form 3 Computer Notes Form 3 KLB Computer Notes Form 3 Pdf Computer Notes Form 4 Computer Notes Form 4 Chapter 2 Computer Notes Form 4 KLB Computer Notes Form 4 Pdf Computer Notes Form 4-pdf Computer Notes Form Four Computer Notes Form Four KLB Computer Notes Form Four Pdf Computer Notes Form One Computer Notes Form One KLB Computer Notes Form One Pdf Computer Notes Form One to Form Four Computer Notes Form Three Computer Notes Form Three KLB Computer Notes Form Three Pdf Computer Notes Form Two Computer Notes Form Two KLB Computer Notes Form Two Pdf Computer Notes Form2 Computer Notes IGCSE Computer Notes Kenya Computer Notes on Agroforestry Computer Notes Pdf Computer Notes: Computer Objective Answer Computer Objective Answer 2018 Computer Objective Questions for Competitive Exams Computer Objective Questions for Competitive Exams Pdf Computer Oral Exam Questions Computer Paper 1 Computer Paper 1 2018 Computer Paper 1 2018 Marking Rules Computer Paper 1 2019 Computer Paper 1 and Answers Computer Paper 1 Notes Computer Paper 1 Questions Computer Paper 1 Questions and Answers Computer Paper 1 Questions and Answers Pdf Computer Paper 1 Topics Computer Paper 1 With Answers Computer Paper 2 Computer Paper 2 2017 Computer Paper 2 2018 Computer Paper 2 2018 Marking Rules Computer Paper 2 2019 Computer Paper 2 Questions and Answers Computer Paper 2 Questions and Answers Pdf Computer Paper 2 Revision Computer Paper 2 Topics Computer Paper 2018 Computer Paper 3 2018 Marking Rules Computer Paper 3 Question and Answer Computer Paper 3 Question Paper 2014 KCSE Computer Paper 3 Question Paper 2015 KCSE Computer Paper 3 Question Paper 2016 KCSE Computer Paper 3 Question Paper 2017 KCSE Computer Paper 3 Question Paper 2018 KCSE Computer Paper 3 Questions and Answers Computer Paper One Questions and Answers Computer Paper One Topics Computer Paper Two Qestions With Answers Computer Paper1 Computer Paper2 Computer Paper3 Computer Paper4 Computer Past Papers Computer Past Papers 2017 Computer Past Papers a Level Computer Past Papers Form 1 Computer Past Papers Form 2 Computer Past Papers Form 3 Computer Past Papers O Level Computer Pdf Download Computer Pp1 KCSE 2016 Computer Practical Book Class 12 Pdf Computer Practical Exam Computer Practicals Form One Computer Practicals Questions and Answers Computer Practice Test 9th Grade Computer Practice Test Answers Computer Practice Test Questions and Answers Computer Practice Test Quizlet Computer Predicted Questions This Year KCSE Computer Preparation Notes Computer Pretest High School Pdf Computer Question and Answer With Explanation Computer Question and Answers 2019 Computer Question and Answers 2020 Computer Question and Answers 2021 Computer Question and Answers 2022 Computer Question and Answers Note Computer Questions Computer Questions and Answers Computer Questions and Answers for High School Computer Questions and Answers for High Schools Computer Questions and Answers for High Schools Pdf Computer Questions and Answers for Secondary Schools Computer Questions and Answers Form 1 Computer Questions and Answers Form 2 Computer Questions and Answers Form 3 Computer Questions and Answers Form 4 Computer Questions and Answers Multiple Choice Computer Questions and Answers Notes Computer Questions and Answers O Computer Questions and Answers Online Computer Questions and Answers Pdf Computer Questions and Answers Pdf for Class 12 Computer Questions and Answers Pdf for Competitive Exams Computer Questions and Answers-form 2 Computer Questions for High School Computer Questions for High School Students With Answers Computer Questions for Senior 1 Computer Questions for Senior 2 Computer Questions for Senior 3 Computer Questions for Senior 4 Computer Questions for Senior 5 Computer Questions for Senior 6 Computer Questions for Senior Five Computer Questions for Senior Four Computer Questions for Senior One Computer Questions for Senior Six Computer Questions for Senior Three Computer Questions for Senior Two Computer Questions Form One Computer Questions Multiple Choice Computer Questions Quizlet Computer Questions to Ask Your Teacher Computer Quetion and Answer Form Four Computer Quetion and Answer Form One Computer Quetion and Answer Form Three Computer Quetion and Answer Form Two Computer Quiz for Class 9 Computer Quiz for Class 9 Computer Computer Quiz Questions and Answers for Class 10 Computer Quiz Questions and Answers for Class 10 Pdf Computer Quiz Questions and Answers for Class 12 Computer Quiz Questions and Answers for Class 9 Computer Quiz Questions and Answers for Class 9 Pdf Computer Quiz Questions and Answers for High School Computer Quiz Questions and Answers Multiple Choice Computer Quiz Questions and Answers Pdf Computer Quiz Questions for Class 12 Computer Quiz Questions for College Students Computer Quiz With Answers Computer Quiz With Answers Pdf Computer Quizlet Computer Revision Computer Revision a Level Computer Revision Computer Notes Computer Computer Revision Exam Computer Revision Examination Computer Revision Form One Computer Revision Notes Computer Revision Notes Computer Computer Revision Notes Form 1 Computer Revision Notes Form 2 Computer Revision Notes Form 3 Computer Revision Notes Form 4 Computer Revision Notes IGCSE Computer Revision Paper One Computer Revision Questions Computer Revision Questions and Answers Computer Revision Questions and Answers Form 1 Computer Revision Questions and Answers Form 2 Computer Revision Questions and Answers Form 3 Computer Revision Questions and Answers Form 4 Computer Revision Questions and Answers Form Four Computer Revision Questions and Answers Form One Computer Revision Questions and Answers Form Three Computer Revision Questions and Answers Form Two Computer Revision Questions Form 1 Computer Revision Questions Form 2 Computer Revision Questions Form 3 Computer Revision Questions Form 4 Computer Revision Questions Form Four Computer Revision Questions Form One Computer Revision Questions Form Three Computer Revision Questions Form Two Computer Revision Quiz Computer Revision Test Computer Secondary School Revision Computer Short Note for Revising Form 1 Computer Short Note for Revising Form 2 Computer Short Note for Revising Form 3 Computer Short Note for Revising Form 4 Computer Short Note for Revising Form Four Computer Short Note for Revising Form One Computer Short Note for Revising Form Three Computer Short Note for Revising Form Two Computer Short Notes Form 1 Computer Short Notes Form 2 Computer Short Notes Form 3 Computer Short Notes Form 4 Computer Short Notes Form Four Computer Short Notes Form One Computer Short Notes Form Three Computer Short Notes Form Two Computer Simple Notes Computer Spm Notes Download Computer Spm Notes Pdf Computer Spm Questions Computer Studies Computer Studies 0478 Computer Studies 101 Computer Studies 12th Computer Studies 12th Class Notes Pdf Computer Studies 2 Topic Form Two Computer Studies 2019 Syllabus Computer Studies All KCSE Short Notes Computer Studies Answers Computer Studies Answers Online Free Computer Studies Answers Quizlet Computer Studies Bk 2 Notes Computer Studies Book 1 Computer Studies Book 1 Notes Computer Studies Book 2 Computer Studies Book 2 Notes Computer Studies Book 3 Computer Studies Book 3 KLB Computer Studies Book 3 Notes Computer Studies Book 4 Computer Studies Book 4 Notes Computer Studies Book 4 Pdf Computer Studies Book for Class 11 Computer Studies Book Four Computer Studies Book Four Notes Computer Studies Book One Computer Studies Book One Notes Computer Studies Book Pdf Free Download Computer Studies Book Three Computer Studies Book Three Notes Computer Studies Book Three Pdf Computer Studies Book Two Computer Studies Book Two Notes Computer Studies Books Form Three Computer Studies Bowl Computer Studies Study Guide Computer Studies Bowl Questions Computer Studies Computer Studies Bowl Questions Earth Computer Studies Computer Studies Bowl Questions Math Computer Studies Bowl Questions Middle School Computer Studies Brekthrough Form Two Notes Computer Studies Class 12 Ncert Solutions Computer Studies Class 12 Pdf Computer Studies Communication Syllabus Computer Studies Diagram Software Computer Studies Diagrams Computer Studies Diagrams for Class 11 Computer Studies Diagrams for Class 12 Computer Studies Diagrams for Class 9 Computer Studies Diagrams for Class-10 Computer Studies Diagrams in Form 1 Computer Studies Diagrams in Form 2 Computer Studies Diagrams in Form 3 Computer Studies Diagrams in Form 4 Computer Studies Diagrams Pdf Computer Studies Diagrams to Label Computer Studies Essay Questions and Answers Computer Studies Essay Questions and Answers 2018 Computer Studies Essay Questions and Answers Form 1 Computer Studies Essay Questions and Answers Form 2 Computer Studies Essay Questions and Answers Form 3 Computer Studies Essay Questions and Answers Form 4 Computer Studies Essay Questions and Answers Form 4 Pdf Computer Studies Essay Questions and Answers Pdf Computer Studies Essay Revision Q Computer Studies Essays and Answers Computer Studies Essays Form One to Form Four Computer Studies Essays Form One to Form Three Computer Studies Essays KCSE Computer Studies Essays Pdf Computer Studies Exam 1 Multiple Choice Computer Studies Exam 2 Advance Computer Studies Exam 2 Test Computer Studies Exam 2016 Computer Studies Exam Form Four Computer Studies Exam Form One Computer Studies Exam Form Three Computer Studies Exam Form Two Computer Studies Exam Practice Test Computer Studies Exam Questions Computer Studies Exam Questions and Answers Computer Studies Exam Questions and Answers Pdf Computer Studies Exam Study Guide Computer Studies Exams Computer Studies Excretion Notes Computer Studies Exercise Form 4 With Answers Computer Studies Final Exam Answer Key Computer Studies Final Exam Answer Key 2016 Computer Studies Final Exam Answer Key 2017 Computer Studies Final Exam Answers 2018 Computer Studies Final Exam Answers 2019 Computer Studies Final Exam Questions and Answers Computer Studies Fom 1 Notes Computer Studies Fom 2 Notes Computer Studies Fom 3 Notes Computer Studies Fom 4 Notes Computer Studies Form 1 Computer Studies Form 1 & 2 and Answers Computer Studies Form 1 and 2 Essays Computer Studies Form 1 and 2 Essays Questions and Answers Computer Studies Form 1 and 2 Notes Computer Studies Form 1 Chapter 1 Computer Studies Form 1 Diagrams Computer Studies Form 1 Download Computer Studies Form 1 Exams Computer Studies Form 1 Mid Year Exam Computer Studies Form 1 Notes Computer Studies Form 1 Notes and Questions Computer Studies Form 1 Notes Download Computer Studies Form 1 Notes Free Download Computer Studies Form 1 Notes GCSE Computer Studies Form 1 Notes KCSE-kcse Computer Studies Form 1 Notes Online Computer Studies Form 1 Notes Pdf Computer Studies Form 1 Notes Pdf Download Computer Studies Form 1 Notes Revision Computer Studies Form 1 Past Papers Computer Studies Form 1 Pastpapers and Marking Scheme Computer Studies Form 1 Pdf Computer Studies Form 1 Pressure Computer Studies Form 1 Question Papers Computer Studies Form 1 Questions Computer Studies Form 1 Questions and Answers Computer Studies Form 1 Questions and Answers Pdf Computer Studies Form 1 Quiz Computer Studies Form 1 Revision Notes Computer Studies Form 1 Revision Questions Computer Studies Form 1 Summary Notes Computer Studies Form 1 Syllabus Computer Studies Form 1 Text Book Computer Studies Form 1 Text Book Notes Computer Studies Form 1 Work Computer Studies Form 1-4 Notes Computer Studies Form 2 Computer Studies Form 2 Chapter 1 Computer Studies Form 2 Chapter 2 Computer Studies Form 2 Diagrams Computer Studies Form 2 Download Computer Studies Form 2 Exam Paper 2014 Computer Studies Form 2 Exams Computer Studies Form 2 Notes Computer Studies Form 2 Notes and Questions Computer Studies Form 2 Notes GCSE Computer Studies Form 2 Notes KCSE-kcse Computer Studies Form 2 Notes Online Computer Studies Form 2 Notes Pdf Computer Studies Form 2 Notes Pdf Download Computer Studies Form 2 Notes Revision Computer Studies Form 2 Past Papers Computer Studies Form 2 Pastpapers and Marking Scheme Computer Studies Form 2 Pdf Computer Studies Form 2 Question Papers Computer Studies Form 2 Questions Computer Studies Form 2 Questions and Answers Computer Studies Form 2 Questions and Answers Pdf Computer Studies Form 2 Quiz Computer Studies Form 2 Revision Notes Computer Studies Form 2 Salts Computer Studies Form 2 Structure and Bonding Computer Studies Form 2 Summary Notes Computer Studies Form 2 Syllabus Computer Studies Form 2 Text Book Computer Studies Form 2 Text Book Notes Computer Studies Form 2 Work Computer Studies Form 3 Computer Studies Form 3 and 4 Essays Computer Studies Form 3 and 4 Essays Questions and Answers Computer Studies Form 3 Chapter 3 Computer Studies Form 3 Classification Computer Studies Form 3 Diagrams Computer Studies Form 3 Download Computer Studies Form 3 Ecology Computer Studies Form 3 Exams Computer Studies Form 3 Notes Computer Studies Form 3 Notes and Questions Computer Studies Form 3 Notes GCSE Computer Studies Form 3 Notes KCSE-kcse Computer Studies Form 3 Notes Online Computer Studies Form 3 Notes Pdf Computer Studies Form 3 Notes Pdf Download Computer Studies Form 3 Notes Revision Computer Studies Form 3 Notes Topic 1 Computer Studies Form 3 Past Papers Computer Studies Form 3 Pastpapers and Marking Scheme Computer Studies Form 3 Pdf Computer Studies Form 3 Question Papers Computer Studies Form 3 Questions Computer Studies Form 3 Questions and Answers Computer Studies Form 3 Questions and Answers Pdf Computer Studies Form 3 Questions and Answers Term 3 Computer Studies Form 3 Questions and Answers+pdf Computer Studies Form 3 Quiz Computer Studies Form 3 Revision Notes Computer Studies Form 3 Revision Questions Computer Studies Form 3 Summary Notes Computer Studies Form 3 Syllabus Computer Studies Form 3 Syllabus Pdf Computer Studies Form 3 Text Book Computer Studies Form 3 Text Book Notes Computer Studies Form 3 Topics Computer Studies Form 3 Work Computer Studies Form 4 Computer Studies Form 4 All Chapter Computer Studies Form 4 Chapter 1 Conversion of Units Computer Studies Form 4 Chapter 1 Exercise Computer Studies Form 4 Chapter 1 Exercise and Answers Computer Studies Form 4 Chapter 1 Exercise Pdf Computer Studies Form 4 Chapter 1 Mind Map Computer Studies Form 4 Chapter 2 Computer Studies Form 4 Chapter 2 Exercise and Answers Computer Studies Form 4 Chapter 2 Exercise Pdf Computer Studies Form 4 Chapter 2 Experiment Computer Studies Form 4 Chapter 2 Formula Computer Studies Form 4 Chapter 2 Mind Map Computer Studies Form 4 Chapter 2 Momentum Computer Studies Form 4 Chapter 2 Notes Pdf Computer Studies Form 4 Chapter 2 Objective Questions and Answers Computer Studies Form 4 Chapter 2 Paper 2 Computer Studies Form 4 Chapter 2 Slideshare Computer Studies Form 4 Chapter 3 Computer Studies Form 4 Chapter 3 Questions and Answers Computer Studies Form 4 Chapter 4 Computer Studies Form 4 Chapter 4 Notes Pdf Computer Studies Form 4 Chapter 5 Light Questions and Answers Computer Studies Form 4 Chapter 5 Notes Pdf Computer Studies Form 4 Diagrams Computer Studies Form 4 Download Computer Studies Form 4 Exam Paper 1 Computer Studies Form 4 Exams Computer Studies Form 4 Exercise Computer Studies Form 4 Exercise Pdf Computer Studies Form 4 Module With Answer Computer Studies Form 4 Note Computer Studies Form 4 Notes Computer Studies Form 4 Notes (Pdf) Computer Studies Form 4 Notes All Chapter Pdf Computer Studies Form 4 Notes and Questions Computer Studies Form 4 Notes Chapter 1 Computer Studies Form 4 Notes Chapter 2 Computer Studies Form 4 Notes Chapter 3 Computer Studies Form 4 Notes Download Computer Studies Form 4 Notes Free Download Computer Studies Form 4 Notes GCSE Computer Studies Form 4 Notes KCSE-kcse Computer Studies Form 4 Notes Online Computer Studies Form 4 Notes Pdf Computer Studies Form 4 Notes Pdf Download Computer Studies Form 4 Notes Revision Computer Studies Form 4 Paper 2 Questions and Answers Computer Studies Form 4 Past Papers Computer Studies Form 4 Pastpapers and Marking Scheme Computer Studies Form 4 Question Papers Computer Studies Form 4 Questions Computer Studies Form 4 Questions and Answers Computer Studies Form 4 Questions and Answers Pdf Computer Studies Form 4 Quiz Computer Studies Form 4 Revision Notes Computer Studies Form 4 Schemes of Work Computer Studies Form 4 Summary Notes Computer Studies Form 4 Syllabus Computer Studies Form 4 Text Book Computer Studies Form 4 Text Book Notes Computer Studies Form 4 Textbook Pdf Computer Studies Form 4 Work Computer Studies Form 5 Chapter 1 Exercise and Answers Computer Studies Form 5 Chapter 1 Notes Pdf Computer Studies Form 5 Chapter 2 Notes Pdf Computer Studies Form 5 Chapter 2 Slideshare Computer Studies Form 5 Chapter 3 Notes Pdf Computer Studies Form 5 Notes Pdf Computer Studies Form Four Book Computer Studies Form Four Download Computer Studies Form Four Notes Computer Studies Form Four Notes and Questions Computer Studies Form Four Notes GCSE Computer Studies Form Four Notes Online Computer Studies Form Four Notes Pdf Computer Studies Form Four Notes Revision Computer Studies Form Four Past Papers Computer Studies Form Four Pastpapers and Marking Scheme Computer Studies Form Four Questions Computer Studies Form Four Questions and Answers Computer Studies Form Four Questions and Answers Pdf Computer Studies Form Four Quiz Computer Studies Form Four Revision Notes Computer Studies Form Four Study Notes Computer Studies Form Four Syllabus Computer Studies Form Four Text Book Computer Studies Form Four Text Book Notes Computer Studies Form Four Topic 2 Computer Studies Form Four Topic 4 Computer Studies Form Four Topics Computer Studies Form Four Work Computer Studies Form One Computer Studies Form One Book Computer Studies Form One Book Pdf Computer Studies Form One Download Computer Studies Form One Download Topic 1 Upto 3 Computer Studies Form One Exam Computer Studies Form One Notes Computer Studies Form One Notes and Questions Computer Studies Form One Notes GCSE Computer Studies Form One Notes Online Computer Studies Form One Notes Pdf Computer Studies Form One Notes Revision Computer Studies Form One Pastpapers and Marking Scheme Computer Studies Form One Pdf Computer Studies Form One Questions Computer Studies Form One Questions and Answers Computer Studies Form One Questions and Answers Pdf Computer Studies Form One Questions and Their Answers Computer Studies Form One Quiz Computer Studies Form One Revision Notes Computer Studies Form One Revision Question Computer Studies Form One Schemes of Work Computer Studies Form One Study Notes Computer Studies Form One Syllabus Computer Studies Form One Term Three Test Computer Studies Form One Text Book Computer Studies Form One Text Book Notes Computer Studies Form One to Three Notes Computer Studies Form One Work Computer Studies Form Three Computer Studies Form Three Book Computer Studies Form Three Download Computer Studies Form Three Notes Computer Studies Form Three Notes and Questions Computer Studies Form Three Notes GCSE Computer Studies Form Three Notes Online Computer Studies Form Three Notes Revision Computer Studies Form Three Pastpapers and Marking Scheme Computer Studies Form Three Questions and Answers Computer Studies Form Three Questions and Answers Pdf Computer Studies Form Three Quiz Computer Studies Form Three Reproduction Computer Studies Form Three Reproduction. Computer Studies Form Three Revision Notes Computer Studies Form Three Study Notes Computer Studies Form Three Text Book Computer Studies Form Three Text Book Notes Computer Studies Form Three Work Computer Studies Form Three-questions and Answers Computer Studies Form Two Computer Studies Form Two Book Computer Studies Form Two Diagrams Computer Studies Form Two Download Computer Studies Form Two Notes Computer Studies Form Two Notes and Questions Computer Studies Form Two Notes GCSE Computer Studies Form Two Notes Online Computer Studies Form Two Notes Pdf Computer Studies Form Two Notes Revision Computer Studies Form Two Notes-pdf Computer Studies Form Two Pastpapers and Marking Scheme Computer Studies Form Two Pdf Computer Studies Form Two Questions Computer Studies Form Two Questions and Answers Computer Studies Form Two Questions and Answers Pdf Computer Studies Form Two Quiz Computer Studies Form Two Revision Notes Computer Studies Form Two Study Notes Computer Studies Form Two Text Book Computer Studies Form Two Text Book Notes Computer Studies Form Two Topics Computer Studies Form Two Work Computer Studies Form Two,schemes of Work Computer Studies Form2 Computer Studies Form2 Textbook Computer Studies Full Exam Papers Computer Studies Game Form Four Question End Answers Computer Studies Grade 10 Exam Papers Computer Studies Hsc Pdf Computer Studies Human Reproduction Video Computer Studies IGCSE Past Papers Xtremepapers Computer Studies K.c.s.e 2017 Computer Studies K.C.S.E Revision Papers Computer Studies KCSE Computer Studies KCSE 2016 Computer Studies KCSE 2017 Computer Studies KCSE 2017 Paper 1 Computer Studies KCSE Papers With Their Marking Schemes Computer Studies KCSE Past Papers Computer Studies KCSE Questions Computer Studies KCSE Questions and Answer Computer Studies KCSE Quizzes & Answers Computer Studies KCSE Revision Computer Studies KCSE Revision Notes Computer Studies KCSE Setting Questions Form One and Two Computer Studies Ksce 2015 Computer Studies Last Year K.c.s.e Questions Computer Studies Lesson Plan Form Two Computer Studies Made Familiar Computer Studies Mcq for Class 11 Computer Studies Mcq for Class 12 Computer Studies Mcq for Competitive Exams Computer Studies Mcq for Competitive Exams Pdf Computer Studies Mcq for Neet Pdf Computer Studies Mcq for Ssc Computer Studies Mcq Questions With Answers Computer Studies Mcq With Answers Pdf Computer Studies Mcqs for Class 12 Pdf Computer Studies Mcqs With Answers Pdf Computer Studies Mid Familia Form One Computer Studies Mock Papers Computer Studies Module Form 5 Computer Studies Multiple Choice Questions and Answers Cxc Computer Studies Multiple Choice Questions and Answers Pdf Computer Studies Multiple Choice Questions With Answers Pdf Computer Studies Note Computer Studies Note Form Two All Chapters Computer Studies Notes Computer Studies Notes and Guestion and Answear Computer Studies Notes and Syllabus Computer Studies Notes Book Four Computer Studies Notes Book One Computer Studies Notes Book Three Computer Studies Notes Book Two Computer Studies Notes Class 10 Computer Studies Notes for Class 11 Pdf Computer Studies Notes for Class 12 Pdf Computer Studies Notes for High School Students Computer Studies Notes for IGCSE 2014 Computer Studies Notes Form 1 Computer Studies Notes Form 1 4 Computer Studies Notes Form 1 Free Download Computer Studies Notes Form 1 KLB Computer Studies Notes Form 1 Pdf Computer Studies Notes Form 1-4 Computer Studies Notes Form 1-4 Pdf Computer Studies Notes Form 1-4(1) Computer Studies Computer Studies Notes Form 14 Computer Studies Notes Form 2 Computer Studies Notes Form 2 KLB Computer Studies Notes Form 2 Pdf Computer Studies Notes Form 2; Computer Studies Notes Computer Studies Notes Form 3 Computer Studies Notes Form 3 KLB Computer Studies Notes Form 3 Pdf Computer Studies Notes Form 4 Computer Studies Notes Form 4 Chapter 2 Computer Studies Notes Form 4 KLB Computer Studies Notes Form 4 Pdf Computer Studies Notes Form 4-pdf Computer Studies Notes Form Four Computer Studies Notes Form Four KLB Computer Studies Notes Form Four Pdf Computer Studies Notes Form One Computer Studies Notes Form One KLB Computer Studies Notes Form One Pdf Computer Studies Notes Form One to Form Four Computer Studies Notes Form Three Computer Studies Notes Form Three KLB Computer Studies Notes Form Three Pdf Computer Studies Notes Form Two Computer Studies Notes Form Two KLB Computer Studies Notes Form Two Pdf Computer Studies Notes Form2 Computer Studies Notes IGCSE Computer Studies Notes Kenya Computer Studies Notes on Agroforestry Computer Studies Notes Pdf Computer Studies Notes: Computer Studies Objective Answer Computer Studies Objective Answer 2018 Computer Studies Objective Questions for Competitive Exams Computer Studies Objective Questions for Competitive Exams Pdf Computer Studies Oral Exam Questions Computer Studies Paper 1 Computer Studies Paper 1 2018 Computer Studies Paper 1 2018 Marking Rules Computer Studies Paper 1 2019 Computer Studies Paper 1 and Answers Computer Studies Paper 1 Notes Computer Studies Paper 1 Questions Computer Studies Paper 1 Questions and Answers Computer Studies Paper 1 Questions and Answers Pdf Computer Studies Paper 1 Topics Computer Studies Paper 1 With Answers Computer Studies Paper 2 Computer Studies Paper 2 2017 Computer Studies Paper 2 2018 Computer Studies Paper 2 2018 Marking Rules Computer Studies Paper 2 2019 Computer Studies Paper 2 Questions and Answers Computer Studies Paper 2 Questions and Answers Pdf Computer Studies Paper 2 Revision Computer Studies Paper 2 Topics Computer Studies Paper 2018 Computer Studies Paper 3 2018 Marking Rules Computer Studies Paper 3 Question and Answer Computer Studies Paper 3 Question Paper 2014 KCSE Computer Studies Paper 3 Question Paper 2015 KCSE Computer Studies Paper 3 Question Paper 2016 KCSE Computer Studies Paper 3 Question Paper 2017 KCSE Computer Studies Paper 3 Question Paper 2018 KCSE Computer Studies Paper 3 Questions and Answers Computer Studies Paper One Questions and Answers Computer Studies Paper One Topics Computer Studies Paper Two Qestions With Answers Computer Studies Paper1 Computer Studies Paper2 Computer Studies Paper3 Computer Studies Paper4 Computer Studies Past Papers Computer Studies Past Papers 2017 Computer Studies Past Papers a Level Computer Studies Past Papers Form 1 Computer Studies Past Papers Form 2 Computer Studies Past Papers Form 3 Computer Studies Past Papers O Level Computer Studies Pdf Download Computer Studies Pp1 KCSE 2016 Computer Studies Practical Book Class 12 Pdf Computer Studies Practical Exam Computer Studies Practicals Form One Computer Studies Practicals Questions and Answers Computer Studies Practice Test 9th Grade Computer Studies Practice Test Answers Computer Studies Practice Test Questions and Answers Computer Studies Practice Test Quizlet Computer Studies Predicted Questions This Year KCSE Computer Studies Preparation Notes Computer Studies Pretest High School Pdf Computer Studies Question and Answer With Explanation Computer Studies Question and Answers 2021 Computer Studies Question and Answers 2022 Computer Studies Question and Answers 2023 Computer Studies Question and Answers 2023 Computer Studies Question and Answers Note Computer Studies Questions Computer Studies Questions and Answers Computer Studies Questions and Answers for High School Computer Studies Questions and Answers for High Schools Computer Studies Questions and Answers for High Schools Pdf Computer Studies Questions and Answers for Secondary Schools Computer Studies Questions and Answers Form 1 Computer Studies Questions and Answers Form 2 Computer Studies Questions and Answers Form 3 Computer Studies Questions and Answers Form 4 Computer Studies Questions and Answers Multiple Choice Computer Studies Questions and Answers Notes Computer Studies Questions and Answers O Computer Studies Questions and Answers Online Computer Studies Questions and Answers Pdf Computer Studies Questions and Answers Pdf for Class 12 Computer Studies Questions and Answers Pdf for Competitive Exams Computer Studies Questions and Answers-form 2 Computer Studies Questions for High School Computer Studies Questions for High School Students With Answers Computer Studies Questions for Senior 1 Computer Studies Questions for Senior 2 Computer Studies Questions for Senior 3 Computer Studies Questions for Senior 4 Computer Studies Questions for Senior 5 Computer Studies Questions for Senior 6 Computer Studies Questions for Senior Five Computer Studies Questions for Senior Four Computer Studies Questions for Senior One Computer Studies Questions for Senior Six Computer Studies Questions for Senior Three Computer Studies Questions for Senior Two Computer Studies Questions Form One Computer Studies Questions Multiple Choice Computer Studies Questions Quizlet Computer Studies Questions to Ask Your Teacher Computer Studies Quetion and Answer Form Four Computer Studies Quetion and Answer Form One Computer Studies Quetion and Answer Form Three Computer Studies Quetion and Answer Form Two Computer Studies Quiz for Class 9 Computer Studies Quiz for Class 9 Computer Studies Computer Studies Quiz Questions and Answers for Class 10 Computer Studies Quiz Questions and Answers for Class 10 Pdf Computer Studies Quiz Questions and Answers for Class 12 Computer Studies Quiz Questions and Answers for Class 9 Computer Studies Quiz Questions and Answers for Class 9 Pdf Computer Studies Quiz Questions and Answers for High School Computer Studies Quiz Questions and Answers Multiple Choice Computer Studies Quiz Questions and Answers Pdf Computer Studies Quiz Questions for Class 12 Computer Studies Quiz Questions for College Students Computer Studies Quiz With Answers Computer Studies Quiz With Answers Pdf Computer Studies Quizlet Computer Studies Revision Computer Studies Revision a Level Computer Studies Revision Computer Studies Notes Computer Studies Computer Studies Revision Exam Computer Studies Revision Examination Computer Studies Revision Form One Computer Studies Revision Notes Computer Studies Revision Notes Computer Studies Computer Studies Revision Notes Form 1 Computer Studies Revision Notes Form 2 Computer Studies Revision Notes Form 3 Computer Studies Revision Notes Form 4 Computer Studies Revision Notes IGCSE Computer Studies Revision Paper One Computer Studies Revision Questions Computer Studies Revision Questions and Answers Computer Studies Revision Questions and Answers Form 1 Computer Studies Revision Questions and Answers Form 2 Computer Studies Revision Questions and Answers Form 3 Computer Studies Revision Questions and Answers Form 4 Computer Studies Revision Questions and Answers Form Four Computer Studies Revision Questions and Answers Form One Computer Studies Revision Questions and Answers Form Three Computer Studies Revision Questions and Answers Form Two Computer Studies Revision Questions Form 1 Computer Studies Revision Questions Form 2 Computer Studies Revision Questions Form 3 Computer Studies Revision Questions Form 4 Computer Studies Revision Questions Form Four Computer Studies Revision Questions Form One Computer Studies Revision Questions Form Three Computer Studies Revision Questions Form Two Computer Studies Revision Quiz Computer Studies Revision Test Computer Studies Secondary School Revision Computer Studies Short Note for Revising Form 1 Computer Studies Short Note for Revising Form 2 Computer Studies Short Note for Revising Form 3 Computer Studies Short Note for Revising Form 4 Computer Studies Short Note for Revising Form Four Computer Studies Short Note for Revising Form One Computer Studies Short Note for Revising Form Three Computer Studies Short Note for Revising Form Two Computer Studies Short Notes Form 1 Computer Studies Short Notes Form 2 Computer Studies Short Notes Form 3 Computer Studies Short Notes Form 4 Computer Studies Short Notes Form Four Computer Studies Short Notes Form One Computer Studies Short Notes Form Three Computer Studies Short Notes Form Two Computer Studies Simple Notes Computer Studies Spm Notes Download Computer Studies Spm Notes Pdf Computer Studies Spm Questions Computer Studies Study Form 2 Computer Studies Study Guide Computer Studies Study Guide Answer Key Computer Studies Study Guide Answers Computer Studies Study Guide Computer Studies Questions and Answers Computer Studies Study Guide Ib Computer Studies Study Guide Pdf Computer Studies Study Guides Computer Studies Study Notes Computer Studies Study Notes Materials Form 1 Pdf Computer Studies Study Notes Materials Form 2 3 Pdf Computer Studies Study Notes Materials Form 2 Pdf Computer Studies Study Notes Materials Form 3 Pdf Computer Studies Study Notes Materials Form 4 Pdf Computer Studies Syllabus in Kenya Computer Studies Syllabus Pdf Computer Studies Test 1 Quizlet Computer Studies Test Questions Computer Studies Test Questions and Answers Computer Studies Test Questions and Answers Pdf Computer Studies Topic One Form Four Computer Studies Topics Form One Computer Studies Unit 1 Quiz Computer Studies Vol 3 Computer Studies | Revision Computer Studies Computer Studies,form 4 Computer Studies.form Four.topic Three Computer StudiesExam Form Three Computer StudiesModule Form 5 Computer StudiesNotes Computer StudiesNotes for Class 11 Pdf Computer StudiesNotes for Class 12 Pdf Computer StudiesNotes Form 1 Computer StudiesNotes Form 1 Free Download Computer StudiesNotes Form 2 Computer StudiesNotes Form 3 Computer StudiesNotes Form 3 Pdf Computer StudiesNotes IGCSE Computer StudiesNotes Pdf Computer StudiesPast Papers Computer StudiesQuestions and Answers Pdf Computer StudiesSimple Notes Computer StudiesSpm Notes Download Computer StudiesSpm Notes Pdf Computer StudiesSpm Questions Computer StudiesStudy Guide Answers Computer StudiesStudy Guide Pdf Computer StudiesStudy Guides Computer Study Form 2 Computer Study Guide Computer Study Guide Answer Key Computer Study Guide Answers Computer Study Guide Computer Questions and Answers Computer Study Guide Ib Computer Study Guide Pdf Computer Study Guides Computer Study Notes Computer Study Notes Materials Form 1 Pdf Computer Study Notes Materials Form 2 3 Pdf Computer Study Notes Materials Form 2 Pdf Computer Study Notes Materials Form 3 Pdf Computer Study Notes Materials Form 4 Pdf Computer Syllabus in Kenya Computer Syllabus Pdf Computer Test 1 Quizlet Computer Test Questions Computer Test Questions and Answers Computer Test Questions and Answers Pdf Computer Topic One Form Four Computer Topics Form One Computer Unit 1 Quiz Computer Vol 3 Computer | Revision Computer Computer,form 4 Computer.form Four.topic Three ComputerExam Form Three ComputerModule Form 5 ComputerNotes ComputerNotes for Class 11 Pdf ComputerNotes for Class 12 Pdf ComputerNotes Form 1 ComputerNotes Form 1 Free Download ComputerNotes Form 2 ComputerNotes Form 3 ComputerNotes Form 3 Pdf ComputerNotes IGCSE ComputerNotes Pdf ComputerPast Papers ComputerQuestions and Answers Pdf ComputerSimple Notes ComputerSpm Notes Download ComputerSpm Notes Pdf ComputerSpm Questions ComputerStudy Guide Answers ComputerStudy Guide Pdf ComputerStudy Guides County Mocks 2017 Cse Past Papers Computer 2017 Cse Past Papers Computer Studies 2017 Dl Computer Form 3 Pdf Kusoma Dl Computer Studies Form 3 Pdf Kusoma Download Book 1 Computer Notes Download Book 1 Computer Studies Notes Download Book 2 Computer Notes Download Book 2 Computer Studies Notes Download Book 3 Computer Notes Download Book 3 Computer Studies Notes Download Book 4 Computer Notes Download Book 4 Computer Studies Notes Download Book Four Computer Notes Download Book Four Computer Studies Notes Download Book One Computer Notes Download Book One Computer Studies Notes Download Book Three Computer Notes Download Book Three Computer Studies Notes Download Book Two Computer Notes Download Book Two Computer Studies Notes Download Book1 Computer Notes Download Book1 Computer Studies Notes Download Book2 Computer Notes Download Book2 Computer Studies Notes Download Book3 Computer Notes Download Book3 Computer Studies Notes Download Book4 Computer Notes Download Book4 Computer Studies Notes Download Computer Form 1 Download Computer Form 2 Download Computer Form 2 Notes Download Computer Form 3 Download Computer Form 3 Notes Download Computer Form 4 Download Computer Form Four Download Computer Form One Download Computer Form Three Download Computer Form Two Download Computer Notes Form 3 Download Computer Notes Form One Download Computer Studies Form 1 Download Computer Studies Form 2 Download Computer Studies Form 2 Notes Download Computer Studies Form 3 Download Computer Studies Form 3 Notes Download Computer Studies Form 4 Download Computer Studies Form Four Download Computer Studies Form One Download Computer Studies Form Three Download Computer Studies Form Two Download Computer Studies Notes Form 3 Download Computer Studies Notes Form One Download Computer StudiesNotes Form 3 Download ComputerNotes Form 3 Download Form Three Computer Notes Download Form Three Computer Studies Notes Download Free KCSE Past Papers Computer Download Free KCSE Past Papers Computer Studies Download Free KCSE Past Papers From KNEC. Download KCSE Computer Studies Study Notes Download KCSE Computer Study Notes Download KCSE Past Papers With Answers Download KCSE Revision Notes Download KLB Computer Book 2 Download KLB Computer Book 3 Download KLB Computer Book 4 Download KLB Computer Studies Book 2 Download KLB Computer Studies Book 3 Download KLB Computer Studies Book 4 Download Notes of Computer Download Notes of Computer Studies Download Secondary Subjects Download Secondary Subjects in Kenya Download Secondary Subjects KCSE Downloads | Computer Studies | Form Four Exams | Exams Downloads | Computer Studies | Form One Exams | Exams Downloads | Computer Studies | Form Three Exams | Exams Downloads | Computer Studies | Form Two Exams | Exams Downloads | Computer | Form Four Exams | Exams Downloads | Computer | Form One Exams | Exams Downloads | Computer | Form Three Exams | Exams Downloads | Computer | Form Two Exams | Exams Downloads | KCSE Papers and Marking Schemes | Dvance KCSE Past Papers Easy Computer Questions Easy Computer Studies Questions Edexcel a Level Computer B Edexcel a Level Computer Notes Pdf Edexcel a Level Computer Salters Nuffield Edexcel a Level Computer Studies B Edexcel a Level Computer Studies Notes Pdf Edexcel a Level Computer Studies Salters Nuffield Edexcel A2 Computer Notes Edexcel A2 Computer Studies Notes Edexcel as Computer Revision Guide Pdf Edexcel as Computer Studies Revision Guide Pdf Edexcel Computer A2 Revision Notes Pdf Edexcel Computer Studies A2 Revision Notes Pdf Edexcel Computer Studies Unit 2 Revision Notes Edexcel Computer Unit 2 Revision Notes Edexcel GCSE Computer Revision Guide Pdf Edexcel GCSE Computer Studies Revision Guide Pdf Edexcel IGCSE Computer Past Papers Edexcel IGCSE Computer Revision Guide Free Pdf Download Edexcel IGCSE Computer Revision Guide Pdf Edexcel IGCSE Computer Revision Guide Pdf Download Edexcel IGCSE Computer Studies Past Papers Edexcel IGCSE Computer Studies Revision Guide Free Pdf Download Edexcel IGCSE Computer Studies Revision Guide Pdf Edexcel IGCSE Computer Studies Revision Guide Pdf Download Electronics Form Four Notes Energy Questions Computer Bowl Energy Questions Computer Studies Bowl Essay Questions and Answers KCSE Computer Notes Essay Questions and Answers KCSE Computer Studies Notes Essay Questions and Answers on Betrayal in the City Essay Questions Based on Betrayal in the City Evolving World Computer Book 1 Pdf Evolving World Computer Book 4 Notes Evolving World Computer Book Form 1 Evolving World Computer Studies Book 1 Pdf Evolving World Computer Studies Book 4 Notes Evolving World Computer Studies Book Form 1 Evolving World-history Book 3 Exam Notes for Computer 101 Exam Notes for Computer Studies 101 Exams KCSE Computer Paper 1 Questions and Answers Exams KCSE Computer Studies Paper 1 Questions and Answers Exams Revision Kenya Exams Revision Kenya KCSE Expected Questions and Answers in Computer Form One Expected Questions and Answers in Computer Studies Form One F3 Computer Studies Test Paper F3 Computer Test Paper Find Download KCSE Past Papers With Answers Find KCSE Computer Essay Questions and Answers Find KCSE Computer Studies Essay Questions and Answers Five Functions of Keyboard Form 1 Computer Exam Form 1 Computer Notes Form 1 Computer Questions and Answers Form 1 Computer Questions and Answers Pdf Form 1 Computer Revision Notes Form 1 Computer Studies Exam Form 1 Computer Studies Notes Form 1 Computer Studies Questions and Answers Form 1 Computer Studies Questions and Answers Pdf Form 1 Computer Studies Revision Notes Form 1 Computer Studies Summurized Revision Pdf Form 1 Computer Studies Syllabus Form 1 Computer Studies Test Paper Pdf Form 1 Computer Studies Topics Form 1 Computer StudiesNotes Form 1 Computer StudiesQuestions and Answers Form 1 Computer StudiesRevision Notes Form 1 Computer StudiesSyllabus Form 1 Computer StudiesTest Paper Pdf Form 1 Computer Summurized Revision Pdf Form 1 Computer Syllabus Form 1 Computer Test Paper Pdf Form 1 Computer Topics Form 1 ComputerNotes Form 1 ComputerQuestions and Answers Form 1 ComputerRevision Notes Form 1 ComputerSyllabus Form 1 ComputerTest Paper Pdf Form 1 Past Papers Form 1 Past Papers With Answers Form 1 Revision Papers Form 1 Subjects in Kenya Form 2 Computer Exam Form 2 Computer Exam Paper Form 2 Computer Exam Paper 2016 Form 2 Computer Exam Paper Free Download Form 2 Computer Exam Paper With Answer Form 2 Computer Final Year Exam Paper 2 Form 2 Computer Notes Form 2 Computer Notes and Revision Questions Form 2 Computer Notes Pdf Form 2 Computer Past Papers Form 2 Computer Questions Form 2 Computer Questions and Answers Form 2 Computer Questions and Answers > Form 2 Computer Questions and Answers Pdf Form 2 Computer Revision Notes Form 2 Computer Short Notes Form 2 Computer Studies Exam Form 2 Computer Studies Exam Paper Form 2 Computer Studies Exam Paper 2016 Form 2 Computer Studies Exam Paper Free Download Form 2 Computer Studies Exam Paper With Answer Form 2 Computer Studies Final Year Exam Paper 2 Form 2 Computer Studies Notes Form 2 Computer Studies Notes and Revision Questions Form 2 Computer Studies Notes Pdf Form 2 Computer Studies Past Papers Form 2 Computer Studies Questions Form 2 Computer Studies Questions and Answers Form 2 Computer Studies Questions and Answers > Form 2 Computer Studies Questions and Answers Pdf Form 2 Computer Studies Revision Notes Form 2 Computer Studies Short Notes Form 2 Computer Studies Syllabus Form 2 Computer Studies Topics Form 2 Computer StudiesExam Paper Form 2 Computer StudiesExam Paper Free Download Form 2 Computer StudiesExam Paper With Answer Form 2 Computer StudiesFinal Year Exam Paper 2 Form 2 Computer StudiesPast Papers Form 2 Computer StudiesRevision Notes Form 2 Computer StudiesShort Notes Form 2 Computer StudiesSyllabus Form 2 Computer Syllabus Form 2 Computer Topics Form 2 ComputerExam Paper Form 2 ComputerExam Paper Free Download Form 2 ComputerExam Paper With Answer Form 2 ComputerFinal Year Exam Paper 2 Form 2 ComputerPast Papers Form 2 ComputerRevision Notes Form 2 ComputerShort Notes Form 2 ComputerSyllabus Form 2 Revision Papers Form 2 Subjects in Kenya Form 3 C.r.e Form 3 Computer Book Form 3 Computer Book Pdf Form 3 Computer Exam Form 3 Computer Exam Paper Form 3 Computer Notes Form 3 Computer Past Papers Form 3 Computer Questions Form 3 Computer Questions and Answers Form 3 Computer Questions and Answers Pdf Form 3 Computer Revision Notes Form 3 Computer Studies Book Form 3 Computer Studies Book Pdf Form 3 Computer Studies Exam Form 3 Computer Studies Exam Paper Form 3 Computer Studies Notes Form 3 Computer Studies Past Papers Form 3 Computer Studies Questions Form 3 Computer Studies Questions and Answers Form 3 Computer Studies Questions and Answers Pdf Form 3 Computer Studies Revision Notes Form 3 Computer Studies Syllabus Form 3 Computer StudiesExam Paper Form 3 Computer StudiesNotes Form 3 Computer StudiesPast Papers Form 3 Computer StudiesQuestions Form 3 Computer StudiesQuestions and Answers Pdf Form 3 Computer StudiesRevision Notes Form 3 Computer StudiesSyllabus Form 3 Computer Syllabus Form 3 ComputerExam Paper Form 3 ComputerNotes Form 3 ComputerPast Papers Form 3 ComputerQuestions Form 3 ComputerQuestions and Answers Pdf Form 3 ComputerRevision Notes Form 3 ComputerSyllabus Form 3 Notes of Computer Studies Topic on Fish Form 3 Notes of Computer Topic on Fish Form 3 Past Papers Form 3 Revision Papers Form 3 Subjects in Kenya Form 4 Computer Exam Form 4 Computer Notes Form 4 Computer Notes Pdf Form 4 Computer Questions and Answers Form 4 Computer Questions and Answers Pdf Form 4 Computer Revision Notes Form 4 Computer Studies Exam Form 4 Computer Studies Notes Form 4 Computer Studies Notes Pdf Form 4 Computer Studies Questions and Answers Form 4 Computer Studies Questions and Answers Pdf Form 4 Computer Studies Revision Notes Form 4 Computer Studies Syllabus Form 4 Computer Studies Topics Form 4 Computer StudiesNotes Form 4 Computer StudiesRevision Notes Form 4 Computer StudiesSyllabus Form 4 Computer StudiesTopics Form 4 Computer Syllabus Form 4 Computer Topics Form 4 ComputerNotes Form 4 ComputerRevision Notes Form 4 ComputerSyllabus Form 4 ComputerTopics Form 4 Exam Papers Form 4 Revision Papers Form 4 Subjects in Kenya Form 5 Computer Studies Topics Form 5 Computer StudiesTopics Form 5 Computer Topics Form 5 ComputerTopics Form Five Computer Notes Form Five Computer Studies Notes Form Five Computer StudiesNotes Form Five ComputerNotes Form Four Computer Book Form Four Computer Notes Form Four Computer Notes Pdf Form Four Computer Questions and Answers Form Four Computer Questions and Answers Pdf Form Four Computer Revision Questions Form Four Computer Studies Book Form Four Computer Studies Notes Form Four Computer Studies Notes Pdf Form Four Computer Studies Questions and Answers Form Four Computer Studies Questions and Answers Pdf Form Four Computer Studies Revision Questions Form Four Computer Studies Syllabus Form Four Computer Studies Topics Form Four Computer StudiesNotes Form Four Computer StudiesQuestions and Answers Form Four Computer StudiesQuestions and Answers Pdf Form Four Computer StudiesTopics Form Four Computer Syllabus Form Four Computer Topics Form Four ComputerNotes Form Four ComputerQuestions and Answers Form Four ComputerQuestions and Answers Pdf Form Four ComputerTopics Form Four Notes Form Four Revision Papers Form Four Subjects in Kenya Form Iii Topics of Computer Revisios Form Iii Topics of Computer Studies Revisios Form One Computer Book Form One Computer Examination Form One Computer First Topic Form One Computer Lesson Plan Form One Computer Notes Pdf Form One Computer Past Papers Pdf Form One Computer Questions Form One Computer Questions and Answers Form One Computer Questions and Answers Pdf Form One Computer Revision Questions Form One Computer Short Notes Form One Computer Studies Book Form One Computer Studies Examination Form One Computer Studies First Topic Form One Computer Studies Lesson Plan Form One Computer Studies Notes Pdf Form One Computer Studies Past Papers Pdf Form One Computer Studies Questions Form One Computer Studies Questions and Answers Form One Computer Studies Questions and Answers Pdf Form One Computer Studies Revision Questions Form One Computer Studies Short Notes Form One Computer Studies Syllabus Form One Computer Studies Topics Form One Computer StudiesExamination Form One Computer StudiesPast Papers Pdf Form One Computer StudiesQuestions and Answers Form One Computer StudiesQuestions and Answers Pdf Form One Computer StudiesTopics Form One Computer Syllabus Form One Computer Topics Form One ComputerExamination Form One ComputerPast Papers Pdf Form One ComputerQuestions and Answers Form One ComputerQuestions and Answers Pdf Form One ComputerTopics Form One Exams Form One Notes of Computer Form One Notes of Computer Studies Form One Past Papers Form One Subjects in Kenya Form One Term One Computer Exam Form One Term One Computer Studies Exam Form One Term One Computer StudiesExam Form One Term One ComputerExam Form Three Computer Book Form Three Computer Book Pdf Form Three Computer Notes Form Three Computer Notes Pdf Form Three Computer Questions and Answers Form Three Computer Questions and Answers Pdf Form Three Computer Revision Questions Form Three Computer Studies Book Form Three Computer Studies Book Pdf Form Three Computer Studies Notes Form Three Computer Studies Notes Pdf Form Three Computer Studies Questions and Answers Form Three Computer Studies Questions and Answers Pdf Form Three Computer Studies Revision Questions Form Three Computer Studies Syllabus Form Three Computer Studies Topics Form Three Computer StudiesNotes Form Three Computer StudiesNotes Pdf Form Three Computer StudiesQuestions and Answers Form Three Computer StudiesQuestions and Answers Pdf Form Three Computer StudiesTopics Form Three Computer Syllabus Form Three Computer Topics Form Three ComputerNotes Form Three ComputerNotes Pdf Form Three ComputerQuestions and Answers Form Three ComputerQuestions and Answers Pdf Form Three ComputerTopics Form Three Subjects in Kenya Form Two Computer Book Form Two Computer Cat Form Two Computer Examination Form Two Computer Notes Form Two Computer Notes Pdf Form Two Computer Past Papers Form Two Computer Questions and Answers Form Two Computer Questions and Answers Pdf Form Two Computer Revision Questions Form Two Computer Studies Book Form Two Computer Studies Cat Form Two Computer Studies Examination Form Two Computer Studies Notes Form Two Computer Studies Notes Pdf Form Two Computer Studies Past Papers Form Two Computer Studies Questions and Answers Form Two Computer Studies Questions and Answers Pdf Form Two Computer Studies Revision Questions Form Two Computer Studies Syllabus Form Two Computer Studies Topics Form Two Computer StudiesNotes Form Two Computer StudiesNotes Pdf Form Two Computer StudiesQuestions and Answers Form Two Computer StudiesQuestions and Answers Pdf Form Two Computer StudiesSyllabus Form Two Computer StudiesTopics Form Two Computer Syllabus Form Two Computer Topics Form Two ComputerNotes Form Two ComputerNotes Pdf Form Two ComputerQuestions and Answers Form Two ComputerQuestions and Answers Pdf Form Two ComputerSyllabus Form Two ComputerTopics Form Two Notes Form Two Subjects in Kenya Free a-level Computer Revision App | Pass Your Computer Exams Free a-level Computer Studies Revision App | Pass Your Computer Studies Exams Free College Computer Practice Test Free College Computer Studies Practice Test Free Computer Form 1 Notes Free Computer Notes Form 1 Free Computer Notes Pdf Free Computer Studies Form 1 Notes Free Computer Studies Notes Form 1 Free Computer Studies Notes Pdf Free Computer StudiesNotes Pdf Free ComputerNotes Pdf Free Form1,form2,form3 Past Papers Free KCSE Past Papers Free High School Notes Kenya Free KCSE Mocks 2015 Free KCSE Past Papers 2014 Free KCSE Past Papers KCSE Past Free KCSE Past Papers Kenya, Free KCSE Past Papers With Answers Free KCSE Questions and Answers on Computer Free KCSE Questions and Answers on Computer Studies Free KCSE Revision Notes Free Kcse Revision Notes Free Marking Schemes Free Mocks Online KCSE Answers Past Exams Question Papers Free Revision Papers From Three Notes Topic One KLB Fun Computer Questions Fun Computer Studies Questions Function of Keyboard Keys Funny Computer Questions Funny Computer Questions and Answers Funny Computer Questions to Ask Funny Computer Quotes Funny Computer Studies Questions Funny Computer Studies Questions and Answers Funny Computer Studies Questions to Ask Funny Computer Studies Quotes GCSE Computer Exam Questions and Answers GCSE Computer Past Papers GCSE Computer Revision GCSE Computer Revision Notes GCSE Computer Revision Notes Pdf GCSE Computer Revision Notes Pdf 9-1 GCSE Computer Revision Questions and Answers GCSE Computer Studies Exam Questions and Answers GCSE Computer Studies Past Papers GCSE Computer Studies Revision GCSE Computer Studies Revision Notes GCSE Computer Studies Revision Notes Pdf GCSE Computer Studies Revision Notes Pdf 9-1 GCSE Computer Studies Revision Questions and Answers GCSE Computer Studies Textbook Pdf GCSE Computer Studies Topics Pass My Exams: Easy Exam Revision Notes GCSE Computer Textbook Pdf GCSE Computer Topics Pass My Exams: Easy Exam Revision Notes General Computer Notes Pdf General Computer Practice Test With Answers General Computer Quiz General Computer Quiz Pdf General Computer Studies Notes Pdf General Computer Studies Practice Test With Answers General Computer Studies Quiz General Computer Studies Quiz Pdf General Computer Studies Test Questions and Answers General Computer Studies Test Questions and Answers Pdf General Computer Test Questions and Answers General Computer Test Questions and Answers Pdf General Knowledge in Computer Human Body General Knowledge in Computer Studies Human Body Good Computer Questions to Ask Good Computer Studies Questions to Ask GRE Computer Practice Test GRE Computer Studies Practice Test GRE Computer Studies Subject Test Pdf GRE Computer Subject Test Pdf Handbook of Computer Pdf Free Download Handbook of Computer Studies Pdf Free Download Hard Computer Questions Hard Computer Questions and Answers Hard Computer Questions to Ask Your Teacher Hard Computer Quiz Questions Hard Computer Studies Questions Hard Computer Studies Questions and Answers Hard Computer Studies Questions to Ask Your Teacher Hard Computer Studies Quiz Questions Hard Form 3 Computer Question Hard Form 3 Computer Studies Question High School Computer Final Exam Doc High School Computer Final Exam Pdf High School Computer Final Exam Questions High School Computer Final Exam Questions and Answers High School Computer Multiple Choice Questions and Answers Pdf High School Computer Notes High School Computer Practice Test High School Computer Pretest With Answers High School Computer Questions and Answers Pdf High School Computer Studies Final Exam Doc High School Computer Studies Final Exam Pdf High School Computer Studies Final Exam Questions High School Computer Studies Final Exam Questions and Answers High School Computer Studies Multiple Choice Questions and Answers Pdf High School Computer Studies Notes High School Computer Studies Practice Test High School Computer Studies Pretest With Answers High School Computer Studies Questions and Answers Pdf High School Computer Studies Study Guide High School Computer Studies Test Questions and Answers Pdf High School Computer StudiesNotes High School Computer StudiesStudy Guide High School Computer Study Guide High School Computer Test Questions and Answers Pdf High School ComputerNotes High School ComputerStudy Guide How to Answer Computer Paper 1 Questions? How to Answer Computer Paper 2 Questions? How to Answer Computer Paper 3 Questions? How to Answer Computer Studies Paper 1 Questions? How to Answer Computer Studies Paper 2 Questions? How to Answer Computer Studies Paper 3 Questions? How to Answer KCSE Computer Paper 1 Questions? How to Answer KCSE Computer Paper 2 Questions? How to Answer KCSE Computer Paper 3 Questions? How to Answer KCSE Computer Question How to Answer KCSE Computer Studies Paper 1 Questions? How to Answer KCSE Computer Studies Paper 2 Questions? How to Answer KCSE Computer Studies Paper 3 Questions? How to Answer KCSE Computer Studies Question How to Answer Paper 1 Computer Questions? How to Answer Paper 1 Computer Studies Questions? How to Answer Paper 2 Computer Questions? How to Answer Paper 2 Computer Studies Questions? How to Answer Paper 3 Computer Questions? How to Answer Paper 3 Computer Studies Questions? How to Motivate a Form 4 Student How to Motivate a KCSE Candidate How to Motivate a KCSE Student How to Pass an Exam Successfully How to Pass Computer Questions & Answers Form 1&2 | Text Book How to Pass Computer Studies Questions & Answers Form 1&2 | Text Book How to Pass KCSE 2018 How to Pass KCSE 2019 How to Pass KCSE Computer How to Pass KCSE Computer Paper How to Pass KCSE Computer Studies How to Pass KCSE Computer Studies Paper How to Revise Computer How to Revise Computer Studies How to Revise Effectively for KCSE How to Study Computer Studies: 5 Study Techniques to Master Computer Studies How to Study Computer: 5 Study Techniques to Master Computer Hsc Computer 2018 Hsc Computer 2019 Hsc Computer Studies 2018 Hsc Computer Studies 2019 Https://www.knec.ac.ke/ Www.knec-portal.ac.ke/ KNEC Portal: Ial Computer Notes Ial Computer Studies Notes Ib Computer Cold War Notes Ib Computer Notes Ib Computer Notes Pdf Ib Computer of the Americas Notes Ib Computer of the Americas Study Guide Ib Computer Paper 2 Study Guide Ib Computer Question Bank by Topic Ib Computer Studies Cold War Notes Ib Computer Studies Notes Ib Computer Studies Notes Pdf Ib Computer Studies of the Americas Notes Ib Computer Studies of the Americas Study Guide Ib Computer Studies Paper 2 Study Guide Ib Computer Studies Question Bank by Topic Ib Computer Studies Study Guide Pdf Ib Computer Study Guide Pdf Ict Notes Form 1 IGCSE Computer Alternative to Practical Revision IGCSE Computer Alternative to Practical Revision Notes IGCSE Computer Book IGCSE Computer Book Pdf Download IGCSE Computer Notes IGCSE Computer Notes 2017 Pdf IGCSE Computer Notes Edexcel IGCSE Computer Paper 2 Notes IGCSE Computer Paper 6 Notes IGCSE Computer Past Papers IGCSE Computer Past Papers 2014 IGCSE Computer Past Papers 2017 IGCSE Computer Pdf IGCSE Computer Pre Release Material 2018 IGCSE Computer Resources IGCSE Computer Revision Guide IGCSE Computer Revision Guide Free Download IGCSE Computer Revision Guide Pdf Download IGCSE Computer Revision Notes Pdf IGCSE Computer Revision Worksheets IGCSE Computer Studies Alternative to Practical Revision IGCSE Computer Studies Alternative to Practical Revision Notes IGCSE Computer Studies Book IGCSE Computer Studies Book Pdf Download IGCSE Computer Studies Notes IGCSE Computer Studies Notes 2017 Pdf IGCSE Computer Studies Notes Edexcel IGCSE Computer Studies Paper 2 Notes IGCSE Computer Studies Paper 6 Notes IGCSE Computer Studies Past Papers IGCSE Computer Studies Past Papers 2014 IGCSE Computer Studies Past Papers 2017 IGCSE Computer Studies Pdf IGCSE Computer Studies Pre Release Material 2018 IGCSE Computer Studies Resources IGCSE Computer Studies Revision Guide IGCSE Computer Studies Revision Guide Free Download IGCSE Computer Studies Revision Guide Pdf Download IGCSE Computer Studies Revision Notes Pdf IGCSE Computer Studies Revision Worksheets IGCSE Computer Studies Workbook Pdf IGCSE Computer Studies Znotes IGCSE Computer StudiesPast Papers IGCSE Computer Workbook Pdf IGCSE Computer Znotes IGCSE ComputerPast Papers IGCSE Notes Computer IGCSE Notes Computer Studies Importance of Agroforestry Inorganic Computer Multiple Choice Questions With Answers Pdf Inorganic Computer Questions and Answers Pdf Inorganic Computer Studies Multiple Choice Questions With Answers Pdf Inorganic Computer Studies Questions and Answers Pdf Interesting Computer Questions Interesting Computer Questions and Answers Interesting Computer Studies Questions Interesting Computer Studies Questions and Answers Interesting Questions to Ask About Computer Interesting Questions to Ask About Computer Studies Intro to Computer Quiz Intro to Computer Studies Quiz Introduction of Computer Form One Introduction of Computer Studies Form One Introduction to Computer Introduction to Computer Notes Introduction to Computer Pdf Introduction to Computer Studies Introduction to Computer Studies Notes Introduction to Computer Studies Pdf Introduction to Computer StudiesNotes Introduction to ComputerNotes Is Agroforestry Sustainable? K.c.s.e Answers Computer Paper One 2018 K.c.s.e Answers Computer Studies Paper One 2018 K.c.s.e Computer 2017 K.c.s.e Computer 2018 K.c.s.e Computer Paper 1 2017 K.c.s.e Computer Studies 2017 K.c.s.e Computer Studies 2018 K.c.s.e Computer Studies Paper 1 2017 K.c.s.e Mocks 2018 K.c.s.e Papers 2015 K.c.s.e Papers 2016 K.c.s.e Past Papers 2014 K.C.S.E Revision Papers K.C.S.E Revision Papers Computer K.C.S.E Revision Papers Computer Studies K.c.s.e.Computer Paper 2 Year 2018 K.c.s.e.Computer Studies Paper 2 Year 2018 K.c.s.e.results 2018 for Busia County K.l.b Computer Form 3 K.l.b Computer Notes K.l.b Computer Studies Form 3 K.l.b Computer Studies Notes K.l.b Computer StudiesNotes K.l.b ComputerNotes Kasneb Past Papers for Colleges Computer Past Papers Kasneb Past Papers for Colleges Computer Studies Past Papers KCSE 2010 Marking Scheme KCSE 2010 Past Papers KCSE 2011 Computer Paper 1 KCSE 2011 Computer Studies Paper 1 KCSE 2011 Marking Scheme KCSE 2012 Computer Paper 2 Marking Scheme KCSE 2012 Computer Studies Paper 2 Marking Scheme KCSE 2012 Marking Schemes KCSE 2013 Computer Paper 1 KCSE 2013 Computer Studies Paper 1 KCSE 2013 Marking Scheme KCSE 2013 Marking Scheme Pdf KCSE 2014 KCSE 2015 Computer Paper 2 KCSE 2015 Computer Paper 3 KCSE 2015 Computer Studies Paper 2 KCSE 2015 Computer Studies Paper 3 KCSE 2015 Marking Scheme KCSE 2015 Past Papers KCSE 2016 Computer Paper 1 KCSE 2016 Computer Paper 2 KCSE 2016 Computer Studies Paper 1 KCSE 2016 Computer Studies Paper 2 KCSE 2017 Computer Paper 1 KCSE 2017 Computer Paper 2 KCSE 2017 Computer Studies Paper 1 KCSE 2017 Computer Studies Paper 2 KCSE 2017 Hostory Papers With Answers.com KCSE 2017 Marking Scheme KCSE 2017 Papers KCSE 2017 Papers and Marking Scheme KCSE 2017 Papers Pdf KCSE 2017 Past Papers KCSE 2017 Prediction Pdf KCSE 2018 Computer and Answers KCSE 2018 Computer Prediction KCSE 2018 Computer Studies and Answers KCSE 2018 Computer Studies Prediction KCSE 2018 Leakage KCSE 2018 Marking Scheme KCSE 2018 Papers KCSE 2018 Prediction Pdf KCSE 2018 Predictions KCSE 2018 Questions KCSE 2018 Questions and Answers KCSE 2019 Leakage Computer KCSE 2019 Leakage Computer Studies KCSE 2019 Marking Scheme KCSE 2019 Papers and Marking Scheme KCSE 2019 Prediction KCSE 2019 Questions KCSE 2019 Questions and Answers KCSE 2020 Questions KCSE 2020 Questions and Answers KCSE Answers KCSE Answers Past Exams Question Papers Downloads | KCSE Business Paper 1 2016 KCSE Business Past Papers KCSE Computer 2011 KCSE Computer 2016 KCSE Computer Diagramsbiology Revision Tips KCSE Computer Essay Questions and Answers KCSE Computer Essay Questions and Answers Pdf KCSE Computer Essays KCSE Computer Essays Pdf KCSE Computer Marking Schemes KCSE Computer Notes KCSE Computer Notes Pdf KCSE Computer Notes, Syllabus, Questions, Answers KCSE Computer Paper 1 KCSE Computer Paper 1 2011 KCSE Computer Paper 1 2012 KCSE Computer Paper 1 2013 KCSE Computer Paper 1 2015 KCSE Computer Paper 1 2016 KCSE Computer Paper 1 2017 KCSE Computer Paper 1 2017 Pdf KCSE Computer Paper 1 2018 KCSE Computer Paper 1 2019 KCSE Computer Paper 1 2019 Past Papers KCSE Computer Paper 1 Questions and Answers KCSE Computer Paper 2 KCSE Computer Paper 2 2012 KCSE Computer Paper 2 2012 KCSE Computer Paper 2 2015 KCSE Computer Paper 2 2013 KCSE Computer Paper 2 2014 KCSE Computer Paper 2 2015 KCSE Computer Paper 2 2016 KCSE Computer Paper 2 2017 KCSE Computer Paper 2 2018 KCSE Computer Paper 2 2019 KCSE Computer Paper 2 2019 Past Papers KCSE Computer Paper 3 KCSE Computer Paper 3 2012 KCSE Computer Paper 3 2016 KCSE Computer Paper 3 2017 KCSE Computer Paper 3 2019 Past Papers KCSE Computer Paper 3 Past Papers KCSE Computer Past Papers KCSE Computer Past Papers and Answers KCSE Computer Past Papers Pdf KCSE Computer Practical KCSE Computer Practical 2015 KCSE Computer Practical 2016 KCSE Computer Practical Past Papers KCSE Computer Practicals KCSE Computer Practicals KCSE Computer Paper 1 KCSE Computer Question and Answer KCSE Computer Questions and Answers KCSE Computer Questions and Answers Ap Computer KCSE Computer Revision KCSE Computer Revision Notes Kcse Computer Revision Notes Pdf KCSE Computer Revision Papers KCSE Computer Revision Questions KCSE Computer Revision Questions and Answers KCSE Computer Revisions KCSE Computer Studies 2011 KCSE Computer Studies 2016 KCSE Computer Studies Diagramsbiology Revision Tips KCSE Computer Studies Essay Questions and Answers KCSE Computer Studies Essay Questions and Answers Pdf KCSE Computer Studies Essays KCSE Computer Studies Essays Pdf KCSE Computer Studies Marking Schemes KCSE Computer Studies Notes KCSE Computer Studies Notes Pdf KCSE Computer Studies Notes, Syllabus, Questions, Answers KCSE Computer Studies Paper 1 KCSE Computer Studies Paper 1 2011 KCSE Computer Studies Paper 1 2012 KCSE Computer Studies Paper 1 2013 KCSE Computer Studies Paper 1 2015 KCSE Computer Studies Paper 1 2016 KCSE Computer Studies Paper 1 2017 KCSE Computer Studies Paper 1 2017 Pdf KCSE Computer Studies Paper 1 2018 KCSE Computer Studies Paper 1 2019 KCSE Computer Studies Paper 1 2019 Past Papers KCSE Computer Studies Paper 1 Questions and Answers KCSE Computer Studies Paper 2 KCSE Computer Studies Paper 2 2012 KCSE Computer Studies Paper 2 2012 KCSE Computer Studies Paper 2 2015 KCSE Computer Studies Paper 2 2013 KCSE Computer Studies Paper 2 2014 KCSE Computer Studies Paper 2 2015 KCSE Computer Studies Paper 2 2016 KCSE Computer Studies Paper 2 2017 KCSE Computer Studies Paper 2 2018 KCSE Computer Studies Paper 2 2019 KCSE Computer Studies Paper 2 2019 Past Papers KCSE Computer Studies Paper 3 KCSE Computer Studies Paper 3 2012 KCSE Computer Studies Paper 3 2016 KCSE Computer Studies Paper 3 2017 KCSE Computer Studies Paper 3 2019 Past Papers KCSE Computer Studies Paper 3 Past Papers KCSE Computer Studies Past Papers KCSE Computer Studies Past Papers and Answers KCSE Computer Studies Past Papers Pdf KCSE Computer Studies Practical KCSE Computer Studies Practical 2015 KCSE Computer Studies Practical 2016 KCSE Computer Studies Practical Past Papers KCSE Computer Studies Practicals KCSE Computer Studies Practicals KCSE Computer Studies Paper 1 KCSE Computer Studies Question and Answer KCSE Computer Studies Questions and Answers KCSE Computer Studies Questions and Answers Ap Computer Studies KCSE Computer Studies Revision KCSE Computer Studies Revision Notes Kcse Computer Studies Revision Notes Pdf KCSE Computer Studies Revision Papers KCSE Computer Studies Revision Questions KCSE Computer Studies Revision Questions and Answers KCSE Computer Studies Revisions KCSE Computer Studies Study Notes KCSE Computer Studies Syllabus KCSE Computer StudiesNotes KCSE Computer StudiesPaper 1 KCSE Computer StudiesPaper 2 KCSE Computer StudiesPaper 2 Pdf KCSE Computer StudiesSyllabus KCSE Computer Study Notes KCSE Computer Syllabus KCSE ComputerNotes KCSE ComputerPaper 1 KCSE ComputerPaper 2 KCSE ComputerPaper 2 Pdf KCSE ComputerSyllabus KCSE Essay Questions in Betrayal in the City KCSE Essays KCSE Exam Papers 2018 KCSE Exam Papers Answers KCSE Form 1 Computer Revision KCSE Form 1 Computer Studies Revision KCSE Form 2 Computer Revision KCSE Form 2 Computer Studies Revision KCSE Form 3 Computer Revision KCSE Form 3 Computer Studies Revision KCSE Form 4 Computer Revision KCSE Form 4 Computer Studies Revision KCSE Form Four Computer Revision KCSE Form Four Computer Studies Revision KCSE Form One Computer Revision KCSE Form One Computer Studies Revision KCSE Form Three Computer Revision KCSE Form Three Computer Studies Revision KCSE Form Two Computer Revision KCSE Form Two Computer Studies Revision KCSE Free Computer Qussions KCSE Free Computer Studies Qussions KCSE Free Qussions KCSE KCSE Past Papers KNEC KCSE Leakage KCSE Leakage Computer KCSE Leakage Computer Studies KCSE Made Familiar Computer KCSE Made Familiar Computer Pdf KCSE Made Familiar Computer Studies KCSE Made Familiar Computer Studies Pdf KCSE Marking Scheme 2016 KCSE Marking Schemes KCSE Marking Schemes 2017 KCSE Marking Schemes Pdf KCSE Mock Exams KCSE Mock Papers 2015 KCSE Mock Papers 2017 KCSE Mock Papers 2018 KCSE Mock Papers Pdf KCSE Mock Papers Pdf 2018 KCSE Mock Papers Pdf KCSE Past Papers KCSE Mocks 2017 KCSE Mocks 2018 KCSE Notes KCSE Online Notes KCSE Online Past Papers KCSE Online Registration KCSE Papers 2015 KCSE Papers and Marking Schemes | Exams KCSE Past Papers KCSE Past Papers 2007 KCSE Past Papers 2009 KCSE Past Papers 2010 KCSE Past Papers 2011 KCSE Past Papers 2011 Pdf KCSE Past Papers 2012 KCSE Past Papers 2013 KCSE Past Papers 2013knec KCSE Past Papers 2014 KCSE Past Papers 2014 Pdf KCSE Past Papers 2015 KCSE Past Papers 2015 Marking Schemes KCSE Past Papers 2015 Pdf KCSE Past Papers 2016 KCSE Past Papers 2016 Pdf KCSE Past Papers 2017 KCSE Past Papers 2017 Pdf KCSE Past Papers 2018 KCSE Past Papers 2019 Marking Schemes KCSE Past Papers Computer KCSE Past Papers Computer and Answers KCSE Past Papers Computer Paper 1 2019 KCSE Past Papers Computer Paper 2 2019 KCSE Past Papers Computer Paper 3 2019 KCSE Past Papers Computer Pdf KCSE Past Papers Computer Studies KCSE Past Papers Computer Studies and Answers KCSE Past Papers Computer Studies Paper 1 2019 KCSE Past Papers Computer Studies Paper 2 2019 KCSE Past Papers Computer Studies Paper 3 2019 KCSE Past Papers Computer Studies Pdf KCSE Past Papers Computer Studies With Answers KCSE Past Papers Computer Studiesand Answers KCSE Past Papers Computer With Answers KCSE Past Papers Computerand Answers KCSE Past Papers KCSE and Answers KCSE Past Papers KCSE and Answers Free Mocks Online KCSE Past Papers Marking Scheme KCSE Past Papers of Computer Pp2 KCSE Past Papers of Computer Studies Pp2 KCSE Past Papers Pdf Download KCSE Past Papers Pdf Download KCSE 2013 KCSE Past Papers With Answers KCSE Past Papers Woodwork and Answers KCSE Prediction 2017 KCSE Prediction 2018 KCSE Prediction 2018 Pdf KCSE Prediction 2019 KCSE Prediction Papers 2018 KCSE Prediction Questions KCSE Prediction Questions 2018 KCSE Prediction Questions and Answers KCSE Questions KCSE Questions and Answers KCSE Questions and Answers. KCSE Questions on Computer KCSE Questions on Computer Studies KCSE Results, Online Registration, KCSE Result Slip. KCSE Revision Kcse Revision Books Pdf KCSE Revision Kenya KCSE Revision Notes KCSE Revision Notes Computer KCSE Revision Notes Computer Studies KCSE Revision Notes Pdf Kcse Revision Notes Pdf KCSE Revision Papers KCSE Revision Papers 2014 KCSE Revision Papers With Answers KCSE Revision Question for Computer KCSE Revision Question for Computer Studies KCSE Revision Questions KCSE Revision Questions and Answers KCSE Revision Tips KCSE Revision | Secondary School | Text Books | Text Book Centre KCSE Revisions KCSE Syllabus Pdf KCSE Trial 2017 KCSE Trial Exams 2017 Kenya Secondary School Computer Studies Syllabus Kenya Secondary School Computer Studies Syllabus Pdf Kenya Secondary School Computer StudiesSyllabus Pdf Kenya Secondary School Computer Syllabus Kenya Secondary School Computer Syllabus Pdf Kenya Secondary School ComputerSyllabus Pdf Kenya Secondary School Notes Pdf Kenya Secondary School Syllabus Pdf Kenya-kcse-christian Religious Education Syllabus Kenyaplex KCSE Past Papers Kenyaplex Past Papers for Secondary KLB Computer Book 1 Download KLB Computer Book 1 Notes KLB Computer Book 1 Pdf KLB Computer Book 2 KLB Computer Book 2 Notes KLB Computer Book 2 Notes Pdf KLB Computer Book 2 Pdf KLB Computer Book 3 Notes KLB Computer Book 3 Pdf KLB Computer Book 3 Pdf Download KLB Computer Book 4 Notes KLB Computer Book 4 Pdf KLB Computer Book 4 Pdf Download KLB Computer Book 4 Topics KLB Computer Book One KLB Computer Form 1 KLB Computer Form 1 Notes KLB Computer Form 1 Pdf KLB Computer Form 2 KLB Computer Form 2 Book KLB Computer Form 2 Notes KLB Computer Form 2 Pdf KLB Computer Form 2 Pdf Download KLB Computer Form 2 Schemes of Work KLB Computer Form 3 KLB Computer Form 3 Notes KLB Computer Form 3 Notes Pdf KLB Computer Form 3 Pdf KLB Computer Form 3 Pdf Download KLB Computer Form 4 KLB Computer Form 4 Notes KLB Computer Form 4 Pdf KLB Computer Form Four KLB Computer Form Four Notes KLB Computer Form One KLB Computer Form One Notes KLB Computer Form Three KLB Computer Form Three Notes KLB Computer Form Two KLB Computer Form Two Notes KLB Computer Notes KLB Computer Notes Form 4 KLB Computer Pdf KLB Computer Studies Book 1 Download KLB Computer Studies Book 1 Notes KLB Computer Studies Book 1 Pdf KLB Computer Studies Book 2 KLB Computer Studies Book 2 Notes KLB Computer Studies Book 2 Notes Pdf KLB Computer Studies Book 2 Pdf KLB Computer Studies Book 3 Notes KLB Computer Studies Book 3 Pdf KLB Computer Studies Book 3 Pdf Download KLB Computer Studies Book 4 Notes KLB Computer Studies Book 4 Pdf KLB Computer Studies Book 4 Pdf Download KLB Computer Studies Book 4 Topics KLB Computer Studies Book One KLB Computer Studies Form 1 KLB Computer Studies Form 1 Notes KLB Computer Studies Form 1 Pdf KLB Computer Studies Form 2 KLB Computer Studies Form 2 Book KLB Computer Studies Form 2 Notes KLB Computer Studies Form 2 Pdf KLB Computer Studies Form 2 Pdf Download KLB Computer Studies Form 2 Schemes of Work KLB Computer Studies Form 3 KLB Computer Studies Form 3 Notes KLB Computer Studies Form 3 Notes Pdf KLB Computer Studies Form 3 Pdf KLB Computer Studies Form 3 Pdf Download KLB Computer Studies Form 4 KLB Computer Studies Form 4 Notes KLB Computer Studies Form 4 Pdf KLB Computer Studies Form Four KLB Computer Studies Form Four Notes KLB Computer Studies Form One KLB Computer Studies Form One Notes KLB Computer Studies Form Three KLB Computer Studies Form Three Notes KLB Computer Studies Form Two KLB Computer Studies Form Two Notes KLB Computer Studies Notes KLB Computer Studies Notes Form 4 KLB Computer Studies Pdf KLB Computer StudiesNotes KLB Computer StudiesNotes Form 4 KLB Computer StudiesPdf KLB ComputerNotes KLB ComputerNotes Form 4 KLB ComputerPdf KNEC Computer Studies Syllabus KNEC Computer Syllabus KNEC Examiners Portal KNEC Website KNEC Ict Past Papers KNEC Past Papers for Colleges KNEC Past Papers Free Download KNEC Past Papers Free Downloads KNEC Past Papers Pdf KNEC Portal Confirmation KNEC Portal KCSE Results KNEC Portal KNEC Past Papers for Colleges Kasneb Past Papers KNEC Revision Papers KNEC Technical Exams Past Papers Kusoma Computer Notes Kusoma Computer Notes Pdf Kusoma Computer Studies Notes Kusoma Computer Studies Notes Pdf Kusoma Notes Computer Kusoma Notes Computer Studies Kusoma.co.ke Kusoma.com Past Papers Learner Guide for Cambridge IGCSE Computer Learner Guide for Cambridge IGCSE Computer Studies Longhorn Computer Book 3 Pdf Longhorn Computer Studies Book 3 Pdf Made Familiar Computer Made Familiar Computer Pdf Made Familiar Computer Questions Made Familiar Computer Studies Made Familiar Computer Studies Pdf Made Familiar Computer Studies Questions Maktaba Tetea Notes Marking Scheme KCSE Computer Past Papers Marking Scheme KCSE Computer Studies Past Papers Math Form2 Note Mcqs About Gaseous Exchange Middle School Computer Bowl Computer Questions Middle School Computer Studies Bowl Computer Studies Questions Mock Past Papers 2017 Mock Past Papers With Answers Mokasa Mock 2017 More Than 1800 Computer Questions and Answers to Help You Study More Than 1800 Computer Studies Questions and Answers to Help You Study Most Tested KCSE Computer Questions Most Tested KCSE Computer Studies Questions Multiple Choice Questions on Computer Multiple Choice Questions on Computer Studies Necta Computer Past Papers Necta Computer Practicals Necta Computer Studies Past Papers Necta Computer Studies Practicals Necta Computer StudiesPast Papers Necta Computer StudiesPracticals Necta ComputerPast Papers Necta ComputerPracticals Necta Form Four Past Papers Necta Past Papers Form 4 Necta Past Papers Form 4 2016 Necta Past Papers Form Six Necta Past Papers Form Two Necta Questions and Answers Necta Review Questions Notes Computer Form 1 Notes Computer Form 2 Notes Computer Form 3 Notes Computer Form 3 Notes Pdf Notes Computer Form 3 Syllabus Notes Computer Form 4 Syllabus Notes Computer Studies Form 1 Notes Computer Studies Form 2 Notes Computer Studies Form 3 Notes Computer Studies Form 3 Notes Pdf Notes Computer Studies Form 3 Syllabus Notes Computer Studies Form 4 Syllabus Notes of Form 123 and 4 All Subject Notes on Computer Studies Notes on Computer Studies Studies Notes Za Computer 4m 2 Notes Za Computer Form One Notes Za Computer Form Three Notes Za Computer Studies 4m 2 Notes Za Computer Studies Form One Notes Za Computer Studies Form Three O Level Computer Practical Experiments O Level Computer Questions and Answers Pdf O Level Computer Studies Practical Experiments O Level Computer Studies Questions and Answers Pdf Orm Three Computer Notes Orm Three Computer Studies Notes Page Navigation Papacambridge Computer IGCSE Papacambridge Computer Studies IGCSE Papers KNEC KCSE Online Past Papers KNEC KCSE Results Past Papers Parts of Keyboard and Their Functions Pdf Past KCSE Papers Past Paper Questions by Topic Computer Past Paper Questions by Topic Computer Studies Past Papers 2014 Past Papers in Kenya Past Papers KCSE Computer Paper 1 2019 Past Papers KCSE Computer Paper 2 2019 Past Papers KCSE Computer Paper 3 2019 Past Papers KCSE Computer Studies Paper 1 2019 Past Papers KCSE Computer Studies Paper 2 2019 Past Papers KCSE Computer Studies Paper 3 2019 Pdf Computer Form 3 Pdf Computer Notes Pdf Computer Notes Form 1 Pdf Computer Notes Form 2 Pdf Computer Notes Form 3 Pdf Computer Notes Form 4 Pdf Computer Notes Form Four Pdf Computer Notes Form One Pdf Computer Notes Form Three Pdf Computer Notes Form Two Pdf Computer Studies Form 3 Pdf Computer Studies Notes Pdf Computer Studies Notes Form 1 Pdf Computer Studies Notes Form 2 Pdf Computer Studies Notes Form 3 Pdf Computer Studies Notes Form 4 Pdf Computer Studies Notes Form Four Pdf Computer Studies Notes Form One Pdf Computer Studies Notes Form Three Pdf Computer Studies Notes Form Two Pdf Form 1 Computer Questions and Answers Pdf Form 1 Computer Studies Questions and Answers Pdf Form 2 Computer Questions and Answers Pdf Form 2 Computer Studies Questions and Answers Pdf Form 3 Computer Questions and Answers Pdf Form 3 Computer Studies Questions and Answers Pdf Form 4 Computer Questions and Answers Pdf Form 4 Computer Studies Questions and Answers Pdf Form Four Computer Questions and Answers Pdf Form Four Computer Studies Questions and Answers Pdf Form One Computer Questions and Answers Pdf Form One Computer Studies Questions and Answers Pdf Form Three Computer Questions and Answers Pdf Form Three Computer Studies Questions and Answers Pdf Form Two Computer Questions and Answers Pdf Form Two Computer Studies Questions and Answers Pdf Free KCSE Past Papers and Marking Schemes Pdf" Revision Questions Computer Form 1 Pdf" Revision Questions Computer Studies Form 1 Practical Computer Experiments Pdf Practical Computer Question and Answer Pdf Practical Computer Studies Experiments Pdf Practical Computer Studies Question and Answer Pdf Pre Mocks 2018 Preliminary Computer Preliminary Computer Studies Primary and Secondary Tillage Implements Ppt Pte KNEC Past Papers Questions and Answers Pdf Computer Form 1 Questions and Answers Pdf Computer Form 2 Questions and Answers Pdf Computer Form 3 Questions and Answers Pdf Computer Form 4 Questions and Answers Pdf Computer Form Four Questions and Answers Pdf Computer Form One Questions and Answers Pdf Computer Form Three Questions and Answers Pdf Computer Form Two Questions and Answers Pdf Computer Studies Form 1 Questions and Answers Pdf Computer Studies Form 2 Questions and Answers Pdf Computer Studies Form 3 Questions and Answers Pdf Computer Studies Form 4 Questions and Answers Pdf Computer Studies Form Four Questions and Answers Pdf Computer Studies Form One Questions and Answers Pdf Computer Studies Form Three Questions and Answers Pdf Computer Studies Form Two Questions Based to Introduction to Computer Questions Based to Introduction to Computer Studies Questions on Gaseous Exchange in Humans Questions on Introduction to Computer Questions on Introduction to Computer Studies Questions to Ask in Computer Class Questions to Ask in Computer Studies Class Questions to Confuse Your Computer Studies Teacher Questions to Confuse Your Computer Teacher Quizlet Computer Studies Test Quizlet Computer Test Quizlet Test Questions Qustions in Computer and Answers Qustions in Computer Studies and Answers Revision Revision Computer Notes and Questions? Revision Computer Studies Notes and Questions? Revision Kenya Revision Kenya Kcsse Revision Quiz for Computer for Form Three Revision Quiz for Computer Studies for Form Three S.1 Computer Questions S.1 Computer Studies Questions S.2 Computer Questions S.2 Computer Studies Questions S.3 Computer Questions S.3 Computer Studies Questions S.4 Computer Questions S.4 Computer Studies Questions Sammary Note for Computer Form 1 Sammary Note for Computer Form 2 Sammary Note for Computer Form 3 Sammary Note for Computer Form 4 Sammary Note for Computer Form Four Sammary Note for Computer Form One Sammary Note for Computer Form Three Sammary Note for Computer Form Two Sammary Note for Computer Studies Form 1 Sammary Note for Computer Studies Form 2 Sammary Note for Computer Studies Form 3 Sammary Note for Computer Studies Form 4 Sammary Note for Computer Studies Form Four Sammary Note for Computer Studies Form One Sammary Note for Computer Studies Form Three Sammary Note for Computer Studies Form Two Sample Essays on Betrayal in the City School Computer Notes School Computer Studies Notes Secondary Computer Notes Secondary Computer Notes Pdf Secondary Computer Studies Notes Secondary Computer Studies Notes Pdf Secondary Computer StudiesNotes Pdf Secondary ComputerNotes Pdf Senior 1 Computer Notes Senior 1 Computer Studies Notes Senior 2 Computer Notes Senior 2 Computer Studies Notes Senior 3 Computer Notes Senior 3 Computer Studies Notes Senior 4 Computer Notes Senior 4 Computer Studies Notes Senior 5 Computer Notes Senior 5 Computer Studies Notes Senior 6 Computer Notes Senior 6 Computer Studies Notes Senior Five Computer Notes Senior Five Computer Studies Notes Senior Four Computer Notes Senior Four Computer Studies Notes Senior One Computer Notes Senior One Computer Studies Notes Senior Six Computer Notes Senior Six Computer Studies Notes Senior Three Computer Notes Senior Three Computer Studies Notes Senior Two Computer Notes Senior Two Computer Studies Notes Simple Scientific Questions Smart Questions to Ask a Computer Studies Teacher Smart Questions to Ask a Computer Teacher Snab Computer Revision Notes Snab Computer Studies Revision Notes Southwest Mock Paper 2 2016 Computer Only Southwest Mock Paper 2 2016 Computer Studies Only Spm Computer Revision Notes Spm Computer Studies Revision Notes Spm Notes Success Computer Spm Pdf Success Computer Studies Spm Pdf Success Computer StudiesSpm Pdf Success ComputerSpm Pdf Summary of Computer Form 3 Summary of Computer Studies Form 3 Tahossa Past Papers The Parts of the Computer Keyboard and Function To Motivate a Form 4 KCSE Student To Motivate a Form 4 Student Topical Revision Material Tricky Computer Questions and Answers Tricky Computer Questions for Adults Tricky Computer Questions With Answers Tricky Computer Quiz Questions Tricky Computer Studies Questions and Answers Tricky Computer Studies Questions for Adults Tricky Computer Studies Questions With Answers Tricky Computer Studies Quiz Questions Two Computer Revision Questions Two Computer Studies Revision Questions University Computer Studies Volume 3 Openstax University Computer Studies Volume 3 Pdf University Computer Studies Volume 4 Pdf University Computer Volume 3 Openstax University Computer Volume 3 Pdf University Computer Volume 4 Pdf Ur Revision Guide IGCSE Computer Ur Revision Guide IGCSE Computer Studies What Are the Types of Gametes What is the Function of All Keys on Computer Keyboard Working of Excretory System Www.Computer Form One Notes.com Www.Computer From One KLB.com Www.Computer Studies Form One Notes.com Www.Computer Studies From One KLB.com Www.form 1 Computer Studies.com Www.form 1 Computer.com Www.form 2 Computer Studies.com Www.form 2 Computer.com Www.form 3 Computer Studies.com Www.form 3 Computer.com Www.form 4 Computer Studies.com Www.form 4 Computer.com Www.form Four Computer Studies.com Www.form Four Computer.com Www.form One Computer Studies.com Www.form One Computer.com Www.form Three Computer Studies.com Www.form Three Computer.com Www.form Two Computer Studies.com Www.form Two Computer.com Www.kusoma Notes Www.kusoma Revision Materials Www.kusoma.co.ke Computer Notes Www.kusoma.co.ke Computer Studies Notes Www.last Year KCSE Exams.com Xtremepapers IGCSE Computer Xtremepapers IGCSE Computer Studies Year 11 Computer Year 11 Computer Studies Z Notes Computer IGCSE Z Notes Computer Studies IGCSE Znotes as Computer Znotes as Computer Studies 4m1 Notes Viusasa 4m2 Notes Viusasa 4m3 Notes Viusasa 4m4 Notes Viusasa Download on Viusasa - Download Now for Free Elimu - Viusasa Elimu Library | Notes, Exams, Lesson Plans, Schemes Elimu Online High School Notes - Revision Materials for Kenyan Schools Https //www.viusasa.com/elimu Kenya Notes Viusasa Elimu Form 1 Notes Viusasa Elimu Form 2 Notes Viusasa Elimu Form 3 Notes Viusasa Elimu Form 4 Notes Viusasa Elimu Form Four Notes Viusasa Elimu Form One Notes Viusasa Elimu Form Three Notes Viusasa Elimu Form Two Viusasa Viusasa Education Viusasa Elimu Viusasa Elimu Class 6 Viusasa Elimu Form 1 Viusasa Elimu Form 1 Notes Viusasa Elimu Form 2 Viusasa Elimu Form 2 Notes Viusasa Elimu Form 3 Viusasa Elimu Form 3 Notes Viusasa Elimu Form 4 Viusasa Elimu Form 4 Notes Viusasa Elimu Form Four Viusasa Elimu Form Four Notes Viusasa Elimu Form One Viusasa Elimu Form One Notes Viusasa Elimu Form Three Viusasa Elimu Form Three Notes Viusasa Elimu Form Two Viusasa Elimu Form Two Notes Viusasa High School Notes - Revision Materials for Kenyan Schools Viusasa Notes (Pdf) a Textbook for Year 11 - Computer Studies (Pdf) Fundamentals of Computer Studies Atika School Atika School Computer Studies Notes Basic Computer Training Manual Pdf Business Studies Form 1 Questions and Answers Pdf Class 8 Computer Book Computer Computer Form 2 Notes » Kcse Revision Computer Form 2 Questions Computer Form 4 Notes Computer Full Notes for Form Two Computer Fundamentals Notes Computer Notes Computer Notes Form 1pdf Computer Notes Pdf Download Computer Studies Form 1 Past Papers Computer Studies Form 1 Quiz Computer Studies Form 4 Notes Pdf Computer Studies Form 4 Notes Pdf Download Computer Studies Gcse Computer Studies Marking Scheme - Form 1 Computer Studies Notes Computer Studies Notes - Atika School Computer Studies Notes Form 1 - Free Download - Kcse Computer Studies Notes Form 1-4 Computer Studies Notes Form 2 Computer Studies Notes Form 2 - Free Download - Kcse Computer Studies Notes Form 2 Database Computer Studies Notes Form 2 Pdf Computer Studies Notes Form 3 Computer Studies Notes Form 3 Pdf Computer Studies Notes Form 4 - Free Download - Kcse Computer Notes Computer Studies Notes Form 4 - Free Download - Kcse Notes Computer Studies Notes | Teacher Computer Studies Notes | Teacher Answers Computer Studies Notes | Teacher Notes Computer Studies Notes | Teacher Questions and Answers Computer Studies Pdf Computer Studies Pdf Notes Computer Studies Questions and Answers Pdf Computer Studies Questions Pdf Computer Studies Syllabus - Ministry of General Education Computer Studies Topic by Topic Questions and Answers Computer Studies Topical Questions Computer Virus Form 1 Computer Studies Exam Question Papers Form 1 English Exam Paper With Answer Pdf Form 1 Kiswahili Past Papers Form 1 Past Papers With Answers Form 1 Revision Papers With Answers Form 3 Computer Syllabus Form 3 Notes for All Subjects; Free Pdf & Word Downloads Form One End Year Computer Studies Form One Physics Past Papers Pdf Free Computer Form 1 Past Papers - Free Kcse Past Papers Free Computer Studies Notes Pdf Free Computer Studies Notes, Revision Questions, Kcse Free Computer Studies Notes, Revision Questions, Kcse Past Free Form 1 Past Papers - Free Kcse Past Papers Free Form 1 Past Papers Computer Studies - Free Kcse Past Papers Free Kcse Past Papers 2018: Computer Studies Form 1 Free Kcse Past Papers 2018: Computer Studies Form 1 Questions and Answers Fundamental of Computer Pdf Fundamentals of Computer Science Pdf Grade 8 Computer Book Pdf Grade 8 Computer Studies Book Grade 8 Computer Studies Notes Grade 8 Computer Studies Notes | Computer Virus | Computer Grade 8 Computer Studies Syllabus Grade 8 Computer Studies Test Questions Grade 8 Computer Studies Textbook Pdf Introduction Computer Notes Pdf Introduction to Computer Studies Notes Pdf Kcse Computer Studies Form 1 to Form 4 Notes Kcse Computer Studies Projects, News, Notes Kenya Form Ii-computer Studies Curriculum Keyboard Teaching Guide 8 Keyboard Teaching Guide 8 - Oxford University Press Klb Computer Studies Book 2 Pdf Longhorn Computer Studies Book 2 Pdf Longhorn Computer Studies Book 3 Pdf Download Longhorn Computer Studies Book 4 Pdf Longman Computer Studies Grade 8 Oxford University Press Pdf Computer Studies Form 4 Notes All Chapter Pdf Types of Keyboards for Grade 8 Computer Studies Understanding Computer Studies Grade 8 Junior Secondary Computer Studies Mock Papers Computer Studies Paper 1 2019 Computer Studies Paper 1 Notes Computer Studies Paper 1 Questions and Answers Computer Studies Paper 1 Questions and Answers Pdf Computer Studies Paper 2 Form 3 Computer Studies Paper 2 Notes Computer Studies Paper 2 Questions and Answers Pdf Computer Studies Past Papers Computer Studies Past Papers Pdf Computer Studies Questions and Answers Pdf Computer Studies Revision Questions and Answers Pdf Computer Studies Revision Questions Pdf Common Exam Questions in Computer Studies Paper 1 Common Exam Questions in Computer Studies Paper 2 Common Test Questions in Computer Studies Paper 1 Common Tested Questions in Computer Studies Paper 1 Commonly Tested Questions in Computer Studies Paper 1 K.c.s.e.Computer Studies Questions and Answers KCSE 2019 Computer Studies Paper 1 Marking Scheme KCSE 2019 Computer Studies Paper 2 KCSE 2019 Computer Studies Paper 2 Marking Scheme KCSE 2020 Prediction Questions and Answers KCSE Computer Studies Paper 1 2019 KCSE Computer Studies Paper 2 2016 KCSE Computer Studies Paper 2 2017 KCSE Computer Studies Paper 2 2018 KCSE Computer Studies Paper 2 2019 KCSE Computer Studies Questions and Answers Most Tested Questions in Computer Studies Paper 1 Most Tested Questions in Computer Studies Paper 2 Mostly Tested Questions in Computer Studies Paper 1 Mostly Tested Questions in Computer Studies Paper 2 Computer Studies Form 4 Computer Studies Revision Questions Form 1 Computer Studies Notes Form 1 Form 4 Notes High Flyer Series Computer Studies Form 1-4 Kcse Past Papers Computer Studies With Answers Computer Studies Notes Download Secondary Computer Studies Notes Pdf Water and Hydrogen Form 1 Notes High Flyer Series KCSE Revision in Computer Studies High Flyer Series KCSE Revision Computer Studies Form 1-4 Revised A Level Computer Studies Notes Uganda Pdf Download Buddo Junior School Holiday Work Computer Studies Notes for a Level Pdf Computer Studies Notes Form 1 Computer Studies Notes Form 3 the Mole Computer Studies Notes Form 4 Computer Studies Notes O Level Computer Studies Notes O Level Uganda Computer Studies Notes O Level Uganda Pdf Computer Studies Notes Pdf Download Computer Studies Notes Form 3 Computer Studies Notes Form 3 Computer Studies Questions and Answers Form Three Computer Studies Syllabus Pdf Gayaza High School Computer Studies Notes Gayaza High School Computer Studies Notes Pdf Gayaza High School Computer Studies Past Papers Gayaza High School Computer Studies Past Papers Answers Gayaza High School Computer Studies Past Papers Questions and Answers Gayaza High School E Learning Gayaza High School Elearning Platform Gayaza High School Examinations Gayaza High School Holiday Work Gayaza High School Notes Gayaza High School Notes 2025 Gayaza High School Notes 2026 Gayaza High School Notes 2023 Gayaza High School Notes Pdf Gayaza Junior School E Learning Platform Gayaza Junior School Holiday Work Gayaza O Level Computer Studies Notes Home › Gayaza High School | Elearning Platform Kabojja Junior School Holiday Work Pdf Klb Computer Studies Book 3 Klb Computer Studies Form 3 Teachers Guide Klb Computer Studies Notes List of Ugandan E-learning Platforms for Students Mirembe Junior School Holiday Work Ntare School Past Papers O Level Computer Studies Notes Free Download O Level Computer Studies Notes in Uganda O Level Computer Studies Notes Pdf O Level Computer Studies Notes Uganda Pdf O Level Computer Studies Notes Uganda Pdf Download O Level General - Home › Gayaza High School | Elearning S.1 Computer Studies Notes | Standard High School Zzana S.3 Computer Studies Notes S.4 Computer Studies 2 Notes | Standard High School Zzana Seeta High School Elearning Seeta High School Holiday Work Seeta High School Notes Seeta High School Notes Pdf Seeta High School Past Papers Seeta High School Past Papers Pdf Senior 1 Computer Studies Notes Senior 1 Computer Studies Notes in Uganda Senior 1 Computer Studies Notes Uganda Senior 1 Computer Studies Questions Senior 1 Exams Senior 1 Work Senior 1 Work 2020 Senior 1 Work 2020 Uganda Senior 2 Computer Studies Notes Senior 2 Computer Studies Notes in Uganda Senior 2 Computer Studies Notes Uganda Senior 2 Computer Studies Questions Senior 2 Exams Senior 2 Work Senior 2 Work 2020 Senior 2 Work 2020 Uganda Senior 3 Computer Studies Notes Senior 3 Computer Studies Notes in Uganda Senior 3 Computer Studies Notes Uganda Senior 3 Computer Studies Questions Senior 3 Exams Senior 3 Work Senior 3 Work 2020 Senior 3 Work 2020 Uganda Senior 4 Computer Studies Notes Senior 4 Computer Studies Notes in Uganda Senior 4 Computer Studies Notes Uganda Senior 4 Computer Studies Questions Senior 4 Exams Senior 4 Work Senior 4 Work 2020 Senior 4 Work 2020 Uganda Senior Four Computer Studies Notes Senior Four Computer Studies Notes in Uganda Senior Four Computer Studies Notes Uganda Senior Four Computer Studies Questions Senior Four Exams Senior Four Work Senior Four Work 2020 Senior Four Work 2020 Uganda Senior One Computer Studies Notes Senior One Computer Studies Notes in Uganda Senior One Computer Studies Notes Uganda Senior One Computer Studies Questions Senior One Exams Senior One Work Senior One Work 2020 Senior One Work 2020 Uganda Senior Three Computer Studies Notes Senior Three Computer Studies Notes in Uganda Senior Three Computer Studies Notes Uganda Senior Three Computer Studies Questions Senior Three Exams Senior Three Work Senior Three Work 2020 Senior Three Work 2020 Uganda Senior Two Computer Studies Notes Senior Two Computer Studies Notes in Uganda Senior Two Computer Studies Notes Pdf Senior Two Computer Studies Notes Uganda Senior Two Computer Studies Questions Senior Two Exams Senior Two Work Senior Two Work 2020 Senior Two Work 2020 Uganda St Mary's Kitende E Learning Standard High School Notes Standard High School Zana a Level Notes Standard High School Zana Com Notes Standard High School Zana E Learning Standard High School Zana E Learning Platform Standard High School Zana E-learning Platform Standard High School Zana Notes for Senior Two Standard High School Zana Notes Pdf Standard High School Zana Website Standard High Zana Notes Uace Computer Studies Notes Uace Computer Studies Notes Pdf Uce Computer Studies Notes Pdf Uce Computer Studies Notes Pdf Download Uce Past Papers Uganda Secondary Schools E-learning Platform Uneb Marking Guides Pdf Uneb Past Papers and Answers Pdf Computer Studies Form 1 Questions and Answers Pdf Download Computer Studies Notes Form 1-4 Computer Studies Form 1 Questions and Answers Pdf Form 1 Computer Studies Topical Questions Form 1 Computer Studies Exam Paper With Answer Pdf Form 1 Exams 2020 Form 1 Computer Studies Past Papers Form 1 Computer Studies Revision Papers With Answers Sample Computer Studies Test for Form One Exams Ntare School Past Papers Seeta High School Notes Pdf Seeta High School Past Papers Seeta High School Past Papers Pdf St Mary's Kitende Past Papers Uce Computer Studies Notes Pdf Uce Past Papers Uneb Marking Guides Pdf Uneb Past Papers and Answers Pdf Computer Studies Book 3 Download Computer Studies Form 3 Questions and Answers Computer Studies Form 3 Syllabus Computer Studies Form 3 Topics Computer Studies Notes Form 3 Computer Studies Notes Form 3 Computer Studies Notes Form 3 Computer Studies Notes Form Three Computer Studies Notes Pdf Download Form 3 Computer Studies Exam Form 3 Computer Studies Notes on Pdf Revision Computer Studies Revision a Level Computer Studies Revision Notes - Computer Studies S.1-Computer Studies-notes S.1-Computer Studies-notes Uganda S.2-Computer Studies-notes S.2-Computer Studies-notes Uganda S.3-Computer Studies-notes S.3-Computer Studies-notes Uganda S.4-Computer Studies-notes S.4-Computer Studies-notes Uganda S.5-Computer Studies-notes S.5-Computer Studies-notes Uganda S.6-Computer Studies-notes S.6-Computer Studies-notes Uganda S1 Computer Studies Notes Term 1 S1 Computer Studies Notes Term 2 S1 Computer Studies Notes Term 3 S2 Computer Studies Notes Term 1 S2 Computer Studies Notes Term 2 S2 Computer Studies Notes Term 3 S3 Computer Studies Notes Term 1 S3 Computer Studies Notes Term 2 S3 Computer Studies Notes Term 3 S4 Computer Studies Notes Term 1 S4 Computer Studies Notes Term 2 S4 Computer Studies Notes Term 3 Senior 3 Computer Studies Notes Senior 3 Computer Studies Notes Uganda Senior Three Computer Studies Notes Senior Three Computer Studies Notes Uganda Computer Studies Form 1 the Cell Computer Studies Form One Notes Free – Education News Computer Studies Notes Form 1-4 Computer Studies Questions and Answers Form 1 - Computer Studies Form One Computer Studies Questions and Answers Form 2 - Computer Studies Form Two Computer Studies Questions and Answers Form 3 - Computer Studies Form Three Computer Studies Questions and Answers Form 4 - Computer Studies Form Four Computer Studies Questions and Answers Senior 1 - Computer Studies Senior One Computer Studies Questions and Answers Senior 2 - Computer Studies Senior Two Computer Studies Questions and Answers Senior 3 - Computer Studies Senior Three Computer Studies Questions and Answers Senior 4 - Computer Studies Senior Four Computer Studies Topic by Topic Questions and Answers Combined Science Notes Form 1 Form 1 Computer Studies Revision Questions and Answers Form 1 Computer Studies Topical Questions Form 1 Revision Papers With Answers Form 2 Computer Studies Revision Questions and Answers Form 3 Computer Studies Revision Questions and Answers Form Four Computer Studies Revision Questions and Answers Form One Computer Studies Revision Questions and Answers Form Three Computer Studies Revision Questions and Answers Form Two Computer Studies Revision Questions and Answers Free Computer Studies Form 1 Notes Free Computer Studies Notes Introduction to Computer Studies Form One Kcse Past Papers: Computer Studies Form 1 Kcse Past Papers: Computer Studies Form 1 Topical Questions Kcse Past Papers: Computer Studies Form 1 Topical Questions and Answers Most Tested Areas in Computer Studies Kcse Most Tested Areas in Computer Studies Kcse Exams Most Tested Areas in Computer Studies Uneb Most Tested Areas in Form 1 in Computer Studies Most Tested Areas in Form 2 in Computer Studies Most Tested Areas in Form 3 in Computer Studies Most Tested Areas in Form 4 in Computer Studies Most Tested Areas in Form Four in Computer Studies Most Tested Areas in Form One in Computer Studies Most Tested Areas in Form Three in Computer Studies Most Tested Areas in Form Two in Computer Studies Most Tested Areas in Kcse Computer Studies Most Tested Areas in Kcse Computer Studies Exams Most Tested Areas in Senior 1 in Computer Studies Most Tested Areas in Senior 2 in Computer Studies Most Tested Areas in Senior 3 in Computer Studies Most Tested Areas in Senior 4 in Computer Studies Most Tested Areas in Senior Four in Computer Studies Most Tested Areas in Senior One in Computer Studies Most Tested Areas in Senior Three in Computer Studies Most Tested Areas in Senior Two in Computer Studies Most Tested Areas in Uneb Computer Studies Revision Notes Computer Studies Form 1 - Free Kcse Past Papers Who Was Computer Studies Champion KCSE 2019 Top 100 Students in Computer Studies KCSE 2019 Best 100 Students in Computer Studies KCSE 2019 Top Student in Computer Studies KCSE Best Student in Computer Studies KCSE Who Was Computer Studies Champion KCSE 2020 Top 100 Students in Computer Studies KCSE 2020 Best 100 Students in Computer Studies KCSE 2020 Names of Best Computer Studies Students KCSE Names of Top Computer Studies Students KCSE High School Computer Studies Notes Pdf Best High School Computer Studies Notes Pdf Comprehensive High School Computer Studies Notes Pdf Klb Computer Studies Form 1 Book Pdf Computer Studies Form 1 Best Notes Computer Studies Form 1 Notes Pdf Computer Studies Form 1 Pressure Computer Studies Form 1 Questions and Answers Computer Studies Form 1 Questions and Answers Pdf Download Computer Studies Form 2 Best Notes Computer Studies Form 3 Best Notes Computer Studies Form 4 Best Notes Computer Studies Form Four Best Notes Computer Studies Form One Best Notes Computer Studies Form Three Best Notes Computer Studies Form Two Best Notes Computer Studies Notes Form 1 to 4 Computer Studies Notes Pdf (Pdf) a Textbook for Year 11 - Computer Studies (Pdf) Fundamentals of Computer Studies Atika School Atika School Computer Studies Notes Basic Computer Training Manual Pdf Business Studies Form 1 Questions and Answers Pdf Class 8 Computer Book Computer Computer Form 2 Notes » Kcse Revision Computer Form 2 Questions Computer Form 4 Notes Computer Full Notes for Form Two Computer Fundamentals Notes Computer Notes Computer Notes Form 1pdf Computer Notes Pdf Download Computer Studies Form 1 Past Papers Computer Studies Form 1 Quiz Computer Studies Form 4 Notes Pdf Computer Studies Form 4 Notes Pdf Download Computer Studies Gcse Computer Studies Marking Scheme - Form 1 Computer Studies Notes Computer Studies Notes - Atika School Computer Studies Notes Form 1 - Free Download - Kcse Computer Studies Notes Form 1-4 Computer Studies Notes Form 2 Computer Studies Notes Form 2 - Free Download - Kcse Computer Studies Notes Form 2 Database Computer Studies Notes Form 2 Pdf Computer Studies Notes Form 3 Computer Studies Notes Form 3 Pdf Computer Studies Notes Form 4 - Free Download - Kcse Computer Notes Computer Studies Notes Form 4 - Free Download - Kcse Notes Computer Studies Notes | Teacher Computer Studies Notes | Teacher Answers Computer Studies Notes | Teacher Notes Computer Studies Notes | Teacher Questions and Answers Computer Studies Pdf Computer Studies Pdf Notes Computer Studies Questions and Answers Pdf Computer Studies Questions Pdf Computer Studies Syllabus - Ministry of General Education Computer Studies Topic by Topic Questions and Answers Computer Studies Topical Questions Computer Virus Form 1 Computer Studies Exam Question Papers Form 1 English Exam Paper With Answer Pdf Form 1 Kiswahili Past Papers Form 1 Past Papers With Answers Form 1 Revision Papers With Answers Form 3 Computer Syllabus Form 3 Notes for All Subjects; Free Pdf & Word Downloads Form One End Year Computer Studies Form One Physics Past Papers Pdf Free Computer Form 1 Past Papers - Free Kcse Past Papers Free Computer Studies Notes Pdf Free Computer Studies Notes, Revision Questions, Kcse Free Computer Studies Notes, Revision Questions, Kcse Past Free Form 1 Past Papers - Free Kcse Past Papers Free Form 1 Past Papers Computer Studies - Free Kcse Past Papers Free Kcse Past Papers 2018: Computer Studies Form 1 Free Kcse Past Papers 2018: Computer Studies Form 1 Questions and Answers Fundamental of Computer Pdf Fundamentals of Computer Science Pdf Grade 8 Computer Book Pdf Grade 8 Computer Studies Book Grade 8 Computer Studies Notes Grade 8 Computer Studies Notes | Computer Virus | Computer Grade 8 Computer Studies Syllabus Grade 8 Computer Studies Test Questions Grade 8 Computer Studies Textbook Pdf Introduction Computer Notes Pdf Introduction to Computer Studies Notes Pdf Kcse Computer Studies Form 1 to Form 4 Notes Kcse Computer Studies Projects, News, Notes Kenya Form Ii-computer Studies Curriculum Keyboard Teaching Guide 8 Keyboard Teaching Guide 8 - Oxford University Press Klb Computer Studies Book 2 Pdf Longhorn Computer Studies Book 2 Pdf Longhorn Computer Studies Book 3 Pdf Download Longhorn Computer Studies Book 4 Pdf Longman Computer Studies Grade 8 Oxford University Press Pdf Computer Studies Form 4 Notes All Chapter Pdf Types of Keyboards for Grade 8 Computer Studies Understanding Computer Studies Grade 8 Junior Secondary 100 Shortcut Keys of Ms Word 100+ Shortcut Keys in Microsoft Word 20 Shortcut Keys of Ms Word 20 Shortcut Keys of Ms Word 2010 40 Short Keys in Ms Word 50 Shortcut Keys of Ms Word 500 Shortcut Keys of Ms Word A Finder Computer Studies Pdf All Function Keys All Shortcut Keys At&t Internet Basic 5/1 Basic 5 Computer Basic Science Exam Questions for Primary 5 Basic Science Exam Questions for Primary 5 Second Term Basic Uses of Internet Career Opportunities in Computer Basic 6 Chatting on the Internet Computer Lesson Note for Primary 5 Computer Network for Primary 6 Computer Notes for Primary School Pdf Computer Scheme of Work for Primary 5 First Term Computer Scheme of Work for Primary 5 Third Term Computer Science Second Term Exam Questions for Primary 5 Computer Studies College Notes Computer Studies Examination Questions Computer Studies for Primary 4 Computer Studies for Primary 5 Computer Studies for Primary 6 Computer Studies for Primary 6 Third Term Computer Studies Notes for Primary Schools Computer Studies Notes Form 1-4 Pdf Download Computer Studies Notes Form 4 Computer Studies Pdf Computer Studies Questions for Primary 6 Computer Textbook for Primary 5 Creating Email Account Primary 5 Ctrl + N Opens New, Blank Document Window. Ctrl + O Opens the Dialog Box or Page for Selecting a File to Open. Ctrl + P Open the Print Window. Ctrl + R Aligns the Line or Selected Text to the Right of the Screen. Ctrl a Ctrl M Ctrl+h in Ms Word Ctrl+q in Ms Word Ctrl+t in Excel Ctrl+t in Ms Word Ctrl+t Shortcut Key Download Computer Notes Edudelight Lesson Note for Primary 5 English for Primary 5 First Term English Language for Primary 5 Second Term English Language Topics for Primary 5 F1 Key is Used for F1 to F12 Shortcut Keys F10 Key is Used for F10 Shortcut Key F11 Key is Used for F11 Key is Used for in Excel F11 Key on Laptop F12 Key Function F12 Key is Used for F12 Key is Used for Boot Menu F12 Key is Used for in Excel F12 Key is Used for in Word F2 Key is Used for F3 Key is Used for F4 Key is Used for F5 Key is Used for F6 Key is Used for F7 Key is Used for F8 Key is Used for F8 Key is Used for Windows 10 F8 Key is Used for Word F9 Key is Used for F9 Key is Used for Windows 10 First Term Computer Scheme of Work for Primary 6 Function Keys of Keyboard F1-f12 Function Keys of Keyboard F1-f12 Not Working Function Keys of Keyboard F1-f12 Pdf Function Keys on Keyboard Function Keys Shortcuts Function Keys Windows 10 Function of F12 Grade 5 English Notes Pdf Health Education Textbook for Primary 5 Home Economics Lesson Note for Primary 5 How Do I Copy and Paste Faster? How Do I Turn Off F2? How Do You Fix Ctrl V? How Do You Use Ctrl a? How Do You Use F5 on a Laptop? How Many Function Keys Are There? How Many Keys Are on a Keyboard? How Many Shortcut Keys in Ms Word How to Undo Ctrl+t in Word Internet Basic 5 Internet Jss3 Note Internet Lesson Plans Introduction to Computer Studies Notes Pdf Keyboard Function Keys Pdf Keyboard Shortcut Primary 5 Lesson Note for Primary 5 Lesson Note for Primary 5 First Term Lesson Note for Primary 5 Mathematics Lesson Note for Primary 5 Third Term Lesson Note for Primary 6 Lesson Note on Computer System for Primary 5 Lesson Note on Physical and Health Education for Primary 5 List 10 Uses of Search Engine Microsoft Word Shortcut Keys Pdf Ms Office Shortcut Keys Ms Office Shortcut Keys a to Z Ms Office Shortcut Keys Pdf 2020 Ms Office Shortcut Keys Pdf 2021 Ms Office Shortcut Keys Pdf Free Download Ms Word 2007 Shortcut Keys Pdf Ms Word Commands List Ms Word Shortcut Keys a to Z Ms Word Shortcut Keys Pdf 2020 Ms Word Shortcut Keys Pdf 2021 Ms Word Table Shortcut Keys Note on Search Engines Phe Scheme of Work for Primary 4 First Term Physical and Health Education for Primary 5 First Term Physical and Health Education for Primary 5 Third Term Physical and Health Education for Primary School Pdf Physical and Health Education Grade 5 Notes Physical and Health Education Questions for Primary 5 Primary 5 English Exam Questions Primary 5 English Grammar Primary 5 English Notes Primary 5 English Questions and Answers Primary 5 English Scheme of Work Primary 5 English Textbook Pdf Scheme of Work for Primary 5 Scheme of Work for Primary 5 English Search Engine for Primary 6 Search Engine Note for Primary 5 Searches Shortcut Key for Save as in Excel Shortcut Key for Save as in Word Shortcut Key to Close a Document Shortcut Key to Close a File Shortcut Key to Insert a Paragraph in Ms Word Shortcut Key to Open Ms Word Shortcut Key to Save a Document Shortcut Keys Shortcut Keys in Ms Word Shortcut Keys of Ms Word Shortcut Keys of Ms Word Pdf Social Studies Exam Questions for Primary 5 First Term Social Studies Exam Questions for Primary 5 Second Term Special Function Keys The Advantage of F9,f10,f11,f12? What Are 10 Key Commands? What Are 30 Shortcut Keys? What Are 5 Shortcuts? What Are the 10 Parts of the Keyboard? What Are the 10 Shortcut Keys? What Are the 100 Shortcut Keys? What Are the 100+ Shortcut Keys? What Are the 12 Function Keys What Are the 12 Function Keys on a Keyboard What Are the 12 Function Keys? What Are the 199 Shortcut Keys in Computer? What Are the 20 Shortcuts? What Are the 25 Shortcut Keys? What Are the 3 Keyboard Shortcuts? What Are the 3 Types of Keyboards? What Are the 3 Types of Keys in Keyboard? What Are the 30 Shortcut Keys in Microsoft Word? What Are the 4 Main Parts of a Keyboard? What Are the 5 Functions of Keyboard? What Are the 5 Keyboard Keys? What Are the 50 Shortcut Keys? What Are the 7 Special Keys in Keyboard? What Are the Commands in Ms Word? What Are the Ctrl a to Z? What Are the F1 F12 Keys Used for? What Command is Ctrl C? What Ctrl V Means? What Does Alt Tab Do? What Does Ctrl Alt D Do? What Does Ctrl Alt F7 Do? What Does Ctrl Alt V Do? What Does Ctrl B Do? What Does Ctrl F9 Do? What Does Ctrl K Do? What Does Ctrl Z and Ctrl V Do? What Does F10 and F11 Do? What Does F10 and F12 Do? What Does F11 and F12 Do? What Does F12 Mean on My Laptop? What Does F2 Do on a Computer? What Does F3 Do in Word? What Does F7 Do? What Does F9 and F10 Do? What Happens if You Press Ctrl S? What is a F12? What is Alt F10? What is Alt F4? What is Alt F7? What is Control R? What is Ctrl a to Z? What is Ctrl and C? What is Ctrl D? What is Ctrl E? What is Ctrl F11? What is Ctrl F7? What is Ctrl F? What is Ctrl G? What is Ctrl H? What is Ctrl J in Excel? What is Ctrl J Used for? What is Ctrl M? What is Ctrl N? What is Ctrl P? What is Ctrl Shift L? What is Ctrl Shift Tab? What is Ctrl T in Excel? What is Ctrl V Ctrl-c? What is F1 F2 F3 F4 F5 F6 F7 F8 F9 F10 F11 F12? What is F10 Key on Laptop? What is F10 Used for? What is F11 in Excel? What is F11 Used for? What is F12 Function Key? What is F13 on Keyboard? What is F2 Used for? What is F3 Used for? What is F4 Key Used for? What is F4 Word? What is F5 Used for? What is F7 in Computer? What is F8 Used for? What is F9 on Keyboard? What is Function of F1 to F12 Keys What is Function of F1 to F12 Keys in Excel What is Function of F1 to F12 Keys? What is Internet What is Shift F7? What is the Ctrl Q? What is the F6 Key Used for? What is the Function of F10 Key? What is the Function of F5 Key? What is the Function of F7 Key What is the Function of F8 Key? What is the Most Useful Shortcut Key? What is the Shortcut Key of F5? What is the Use of Ctrl T? What is the Use of F12 Key? What is the Use of F4? What is the Use of F6 Key? What is the Use of F7? What is Use of F1 to F12 Keys? Where is the Commands List in Word? Which 10 Shortcut Keys Are Used Most Often and Why? Why Are Shortcuts Useful? Why Can't I Do Ctrl V? Why Ctrl C is Not Working? Why is Paste Ctrl V?