KCSE Past Papers Chemistry 2006

Click Here - Free KCSE Past Papers » KCSE Past Papers Chemistry 2006 » Free Downloads » KCSE Papers & Marking Schemes

KCSE Past Papers Chemistry 2006

1. (a) What is meant by is isomerism (1 mark)

(b) Draw and name two isomers of butene. (2 marks)

2. The diagram below represents a set-up that was used to show that part of air is used during burning;

(a) Given that the phosphorus used was in excess, draw a diagram of the set up at the end of the experiment (When there was no further observable change). (1 mark)

(b) Suggest one modification that should be made on the apparatus if the percentage of the air used is to be determined. (1 mark)

3. 60cm’ of oxygen gas diffused through a porous partition in 50 seconds. How long would it take 60cm’ of sulphur (IV) oxide gas to diffuse through the same partition under the same conditions? (S = 32.0, O= 16.0) (3 marks)

4. (a) Complete the nuclear equation below (1 mark)

(b) State one:

(i) use of radioisotopes in agriculture. (1 mark)

(ii) danger associated with exposure of human beings to radioisotopes. (1 mark)

5. The atomic numbers of elements C and D are 19 and 9 respectively. State and explain the electrical conductivity of the compound CD in:

(a) solid state (1 1/2 marks)

(b) aqueous state (1 1/2 marks)

6. In an experiment to study the properties of concentrated sulphuric acid, a mixture of the acid and wood charcoal was heated in a boiling tube.

(a) Write the equation of the reaction that took place in the boiling tube. (1 mark)

(b) Using oxidation numbers, show that reduction and oxidation reactions took place in the boiling tube. (2 marks)

7. A group of compounds called chlorofluorocarbons have a wide range of uses but they also have a wide range of uses but they also have harmful effects on the environment.

State one

(a)Use of chlorofluorocarbons (1 mark)

(b) harmful effect of chlorofluorocarbons on the environment ( 1 mark)

8. When 94.5g of hydrated barium hydroxide, Ba(OI-I):-nH2O were heated to constant mass, 51.3g of anhydrous barium hydroxide were obtained. Determine the'empirical fomiula of the hydrated barium hydroxide. (Ba = 137.0; O=l6.0, H = 10) (3 marks)

9.

Brown Pale yellow

State and explain the observation that would be made when:

(a) a syringe containing the mixture at 20°C is immersed in ice-cold water (1 1/2 marks)

(b) the volume of the gaseous mixture in a syringe is reduced _ (1 1/2 marks)

10. Name the process which takes place when:

(a) solid carbon (IV) oxide (dry ice) changes directly into gas (1 mark)

(b) a red litmus paper turns white when dropped into chlorine water (1 mark)

(c) propene gas molecules are converted into a giant molecule (1 mark)

11. (a) Water from a town in Kenya is suspected to contain chloride ions but not sulphate ions.

Describe how the presence of the chloride ions in the water can be shown. (2 marks)

(b) State one advantage of drinking hard water rather than soft water. (1 mark)

12. The table below shows the relative atomic masses and the percentage abundance of the isotopes L1 and L2 of element L.

Calculate the relative atomic mass of element L. (3 marks)

13. The diagram below represents the set-up that was used to prepare and collect hydrogen chloride

(a) State the purpose of concentrated sulphuric acid in the wash bottle (1 mark)

(b) Write an equation for the reaction between dry hydrogen chloride gas and heated iron (1 mark)

(c) Hydrogen chloride gas is dissolved in water to make hydrochloric acid. State one use of hydrochloric acid. (1 mark)

14. Below is a list of oxides

Select:

(a) a neutral oxide (1 mark)

(b) a highly water soluble basic oxide ( 1 mark)

(c) an oxide which can react with both sodium hydroxide solution and dilute ' hydrochloric acid (1 mark)

15. Study the standard reduction potential given below and answer the questions that follow.

(The letters are not the actual symbols of the elements).

(a)The standard reduction potential for

. Select the element which would best protect iron from rusting. (1 mark)

(b) Calculate the E° value for the cell represented as

(2 marks)

16. When hydrogen sulphide gas was bubbled into an aqueous solution of iron (Ill) chloride, a yellow precipitate was deposited.

(a) State another observation that was made (1 mark)

(b) Write an equation for the reaction that took place (1 mark)

(e) What type of reaction was undergone by hydrogen sulphide in this reaction? (1 mark)

17. The first step in the industrial manufacture ol‘ nitric acid is the catalytic oxidation of ammonia gas.

(a) What is the name of the catalyst used? (1 mark)

(b) Write the equation for the catalyst oxidation of ammonia gas (1 mark)

(c) Nitric acid is used to make ammonium nitrate. State two uses of ammonium nitrate. (1 mark)

18. Study the diagram below and answer the question that follows.

Describe one chemical test that can be carried out to identify substance S. (2 marks)

19. (a) Starting from solid magnesium oxide, describe how a solid sample of magnesium hydroxide can be prepared (2 marks)

(b) Give one use of magnesium hydroxide (1 mark)

20. (a) Distinguish between a covalent bond and a co-ordinate bond (2 marks)

(b) Draw a diagram to show bonding in an ammonium ion ( 1 mark)

(N=7, H =1)

21. (a) Explain why the metals magnesium and aluminium are good conductors of electricity (1 mark)

(b) Other than cost, give two reasons why aluminium is used for making electric cables while magnesium is not. (2 marks)

22. The diagram below represents part of a set up used to prepare and collect gas T.

(a) Name two reagents that are reacted to produce both carbon (IV) oxide and carbon (ll) oxide (1 mark)

(b) Write the equation for the reaction which takes place in the wash bottles (1 mark)

(c) Give a reason why carbon (II) oxide is not easily detected. (1 mark)

23. Explain why the boiling point of ethanol is higher than that of hexane (Relative molecular mass of ethanol is 46 while that of hexane is 86). (2 marks)

24. (a) Complete the table below to show the color of the given indicator in acidic and basic solutions (1 mark)

(a) How does the pH value of 0.l M potassium hydroxide solution compare with that of 0.l M aqueous ammonia? Explain (2 marks)

25. Study the properties of substances V1 to V2 in the table below and answer the questions questions that follow.

(a) Which of the substances are liquids 24°C? (1 mark)

(b) Describe how a mixture containing V2 and V4 can be separated. (2 marks)

26. The graph below shows a curve obtained when water at 20°C was heated for 15 minutes.

(a) What happens to the water molecules between points W and X? (1 mark)

(b) In which part of the curve does change of state occur? (1 mark)

(c) Explain why the temperature does not rise between points X and Y ( 1 mark)

27. Study the flow chart below answer the questions that follow.

(a) Name reagent Z. (1 mark)

(b) Describe the process which takes place in step 2. (1 mark)

(c) Identify the white solid. (1 mark)

28. Study the diagram below and answer the questions that follow.

(a) What do AH 1 and AH 2 represent? (2 marks)

(b) Write an expression to show the relationship between AH 1 AH 2 and AH 3. (1 mark)

K.C..S.E CHEMISTRY PAPER 233/2 2006

1. (a) What is an electrolyte? (1 mark)

(b) State how the following substances conduct electricity:

(i) molten calcium chloride( 1 mark)

(ii) graphite. (1 mark)

(c) The diagram below shows a set up that was used to electrolyse aqueous magnesium sulphate.

(i) On the diagram above, using an arrow, show the direction of flow of electrons. (1 mark)

(ii) Identify the syringe in which hydrogen gas would be collected. Explain. ( 1 mark)

(d) Explain why the concentration of magnesium sulphate was found to have increased at the end of the experiment. (2 marks)

(e) During the electrolysis, a current of 0.72A was passed through the electrolyte for 15 minutes. Calculate the volume of gas produced at the anode. ( I Faraday = 96 500 coulombs; molar gs volume is 24000 cm} at room temperature). (4 marks)

2. (a) ln the experiment to determine the molar heat of reaction when magnesium displaces Copper 0.15g of magnesium powder were added to 25.0cm" of 2.0M copper (ii) chloride solution. The temperature of copper (ii) chloride solution was 25°C. while that of the mixture was 43°C.

(i) Other than increase in temperature, state and explain the observations which were made during the reaction. (3 marks)

(ii) Calculate the heat change during the reaction (Specific hem capacity of the solution 4.2jg"K“ and the density of the solution = 1g/cm’). (2 marks)

(iii) Determine the molar heat of displacement of copper by magnesium. (Mg 24.0) (2 marks) (iv) Write the ionic equation for the reaction. (1 mark)

(v) Sketch an energy level diagram for the reaction. (2 marks)

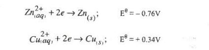
(iv) Use the reduction potentials given below to explain why a solution containing copper tons should not he stored in a container made of zinc.

(2 marks)

3. (a) Distinguish between isotopes and allotropes. (2 marks)

(b) The chart below is part of the periodic table. Study it and answer the questions that (The letters are not the actual symbols of the elements).

(i) Select the element in period three which has the shortest atomic radius. Give a reason for your answer. (2 marks)

(ii) Element F has the electronic structure, 2.8.18.4. On the chart above, indicate the position of clement E (1 mark)

(iii) State one use of the elements of which E is a member. (1 mark) (iv) Write an equation to show the action of heat on the nitrate of element C. (1 mark)

(c) When 3 litres of chlorine gas were completely reacted with element D, 11.875g of the product were formed; Determine the relative atomic mass of element D. (Atomic mass of chlorine = 35.5; molar gas volume = 24 litres). (3 marks)

4. (a) The diagram below shows some processes that lake place during the industrial manufacture of sulfuric acid.

(i) Write the equation for the reaction in which sulphur dioxide gas is produced. (1 mark)

(ii) Why is it necessary to keep the gases pure and dry? (1 mark)

(iii) Describe the process that takes place in chamber G, (1 mark)

(iv) Name the gases that escape into the environment-. (1 mark)

(v) State and explain the harmful effect on the environment of one of the gases named in (iv) above. (1 mark)

(vi) Give one reason why it is necessary to use a pressure of 2 -3 atmospheres and not more. ( 1 mark)

(b) (i) Complete the table below to show the observations made when concentrated sulphuric acid is added to the substances shown. (2 marks)

(ii) Give reasons for the observations made using:

ll iron filings (1 mark)

ll crystals of while sugar. (1 mark)

(c) Name one fertilizer made from sulphuric acid. (1 mark)

(d) Suggest a reason why B21804 (A pigment made from sulphuric acid) would be suitable in making paint for cars. (1 mark)

5. (a) What name is given to a compound that contains carbon and hydrogen only? (1/2 mark)

(b) Hexane is a compound containing carbon and hydrogen.

(i) What method is used to obtain hexane from crude oil? (1 mark)

(ii) State one use of hexane. (1 mark)

(c)Study the flow chart below and answer the questions that follow.

(i) identify reagent L. (1 mark)

(ii) Name the catalyst used in Step 5. (1 mark)

(iii) Draw the structural formula of gas J (1 mark)

(iv) What name is given to the process that takes place in step 5? (1/2 marks) (v)State; l one use of product R . (1 mark)

ll a commercial application of the process which takes place in step 6 (1 mark)

(d) (i) Write the equation for the reaction between aqueous sodium hydroxide and tr: aqueous ethanoic acid. (1 mark)

(vi) Explain why the reaction between 1g of sodium carbonate and 2M hydrocltloric acid is faster than the reaction between 1g of sodium carbonate and 2M ethanoic acid. (2 marks)

6 The extraction of iron from its ores takes place in the blast furnace. Below is a simplified diagram of a blast furnace. Study it and answer the questions that follow.

(a) Name:

(i) one of the substances in the slag (1 mark)

(ii) another iron ore material used in the blast furnace (1 mark)

(iii) one gas which is recycled. (1 mark)

(b) Describe the processes which lead to the formation of iron in the blast furnace. (3 marks)

(c) State the purpose of limestone in the blast furnace. (1 mark)

(d) Give a reason why melting point of the iron obtained from the blast furnace is 1200°C while that of pure iron is 1535°C. ( 1 mark)

(e) State two uses of steel. (2 marks)

7. The table below shows the volumes of nitrogen dioxide gas produced when different volumes of 1M nitric acid were each reacted with 2.07g of lead at room temperature.

imageeee

(a) Give a reason why nitric acid is not used to prepare hydrogen gas. (1 mark)

(b) Explain how the rate of the reaction between lead and nitric acid would be affected if the temperature of the reaction mixture was raised. (2 marks)

(c) On the grid provided below, plot a graph of the volume of the gas produced (vertical axis) against volume of acid. (3 marks)

(d) Using the graph, determine the volume of:

(i) nitrogen dioxide produced when 30cm of 1M nitric acid were reacted with 2.07g of lead (1 mark)

(ii) 1M nitric acid which would react completely with 2.07g of lead (1 mark)

(e) Using the answer in d(ii) above, determine:

(i) the volume of 1M nitric acid that would react completely with one mole of lead (Pb = 207) (2 marks)

(ii) the volume of nitrogen dioxide gas produced when one mole of lead reacts (50 kg ,5 with excess 1M nitric acid at room temperature. (1 mark)

(f) Calculate the number of moles of :

(i) 1M nitric acid that reacted with one mole of lead (1 mark)

(ii) nitrogen dioxide produced when one mole of lead were reacted with excess nitric acid. (Molar gas volume is 24000 cm’). (1 mark)

(g) Using the answers obtained in f(i) and (ii) above, write the equation for the reaction between lead and nitric acid given that one mole of lead nitrate and two moles of water were also produced. (1 mark)

KCSE Results » KCSE Results Top 100 Schools - Kenya Certificate of Secondary Education – KCSE » KCSE Top 100 Candidates » Kenya Certificate of Secondary Education – KCSE » KNEC - Kenya National Examinations Council » Secondary Schools in Kenya » KNEC - Kenya National Examinations Council » Free KNEC KCSE Past Papers

Kenya Scholarships for Undergraduate Students » Kenya Scholarships for Postgraduate Students » Undergraduate Scholarships for Kenyan Students » Kenya Undergraduate Scholarships » Full Undergraduate Scholarships for Kenyans » Kenya Postgraduate Scholarships » Scholarships & Grants » Undergraduate Scholarships » Universities in Kenya » Kenya Universities and Colleges Central Placement Service (KUCCPS) » Colleges in Kenya » KASNEB Registration & Results » Secondary Schools Scholarships in Kenya » Undergraduate & Graduate Scholarships for Kenyans

Scholarships for African Students » Undergraduate Scholarships » African Women Scholarships & Grants » Developing Countries Scholarships » Erasmus Mundus Scholarships for Developing Countries » Fellowship Programs » Funding Grants for NGOs » Government Scholarships » LLM Scholarships » MBA Scholarships » PhD and Masters by Research Scholarships » Public Health Scholarships - MPH Scholarships » Refugees Scholarships » Research Grants » Scholarships and Grants

Scholarships in Australia » Scholarships in Belgium » Scholarships in Canada » Scholarships in Germany » Scholarships in Italy » Scholarships in Japan » Scholarships in Korea » Scholarships in Netherlands » Scholarships in UK » Scholarships in USA

KCSE Past Papers Chemistry 2006

"Pdf" Revision Questions Chemistry Form 2 "Pdf" Revision Questions Chemistry Form 3 "Pdf" Revision Questions Chemistry Form 4 "Pdf" Revision Questions Chemistry Form Four "Pdf" Revision Questions Chemistry Form One "Pdf" Revision Questions Chemistry Form Three "Pdf" Revision Questions Chemistry Form Two 1 a a KCSE Past Papers 10th Grade Chemistry Questions and Answers 10th Grade Chemistry Test 11th Ncert Chemistry 12th Class Chemistry Book Free Download 2014 KCSE Marking Schemes 2014 Pdf KCSE Past Papers 2015 2015 Chemistry Essay Questions and Answers Form 4 2016 KCSE Papers 2016 KCSE Prediction Questions 2017 Chemistry Hsc Answers 2017 KCSE Prediction Questions 2018 Chemistry KCSE Leakage 2018 Chemistry KCSE Questions 2018 KCSE Busineness Studies 2018 KCSE Exam 2018 KCSE Leakage 2018 KCSE Prediction Questions 2018 KCSE Questions 2019 Chemistry KCSE Leakage 2019 Chemistry KCSE Questions 2019 KCSE Leakage 2019 KCSE Questions 9th Grade Chemistry Study Guide A a a Chemistry Notes a a a Chemistry Notes! a a a ChemistryNotes! A a KCSE Past Papers A Biblical View of Social Justice A Level Chemistry Biological Molecules Questions A Level Chemistry Exam Questions by Topic A Level Chemistry Notes Edexcel A Level Chemistry Notes Xtremepapers A Level Chemistry Past Papers A Level Chemistry Questions and Answers a Level Chemistry Questions and Answers A Level Chemistry Questions and Answers (Pdf) A Level Chemistry Questions and Answers Pdf A Level Chemistry Questions by Topic Kidney Questions With Markschemes A Level Chemistry Revision A Level Chemistry Revision Edexcel A Level Chemistry Revision Guide A Level Chemistry Revision Notes A Level Chemistry Revision Notes Pdf A Level Chemistry Textbook Pdf A Level Chemistry Year 1 / as Aqa Exam Questions by Topic A Level Edexcel Notes a* Chemistry aa Chemistry Form 3 Questions and Answers Advance KCSE Past Papers Advance-africa.com KCSE Rev Quiz Advantages and Disadvantages. All Chemistry Essays All Chemistry Notes for Senior Two All KCSE Past Papers Chemistry With Making Schemes All Marking Schemes Questions and Answers All Past K.c.s.e Questions With Answers Alliance Mocks 2017 Ap Bio Quizzes Ap Chemistry 1 Textbook Pdf Ap Chemistry Essay Questions and Answers Are Sourced From KNEC. As Level Chemistry Notes Atika Chemistry Notes Atika School Chemistry Notes B/s Book 2 Notes Basic Chemistry Books Pdf basic Chemistry Interview Questions and Answers Pdf Basic Chemistry Interview Questions and Answers Pdf Basic Chemistry Pdf Basic Chemistry Questions and Answers Basic Chemistry Questions and Answers Pdf Bbc Bitesize Chemistry Ks3 Bihar Board Chemistry Objective Answer 2017 Bihar Board Chemistry Objective Answer 2018 Bio Answers Bio Quesions Chemistry 0478 Chemistry 101 Chemistry 12th Chemistry 12th Class Notes Pdf Chemistry 2019 Syllabus Chemistry All KCSE Short Notes Chemistry Answers Chemistry Answers Online Free Chemistry Answers Quizlet Chemistry Bk 2 Notes Chemistry Book 1 Chemistry Book 1 Notes Chemistry Book 2 Chemistry Book 2 Notes Chemistry Book 3 Chemistry Book 3 KLB Chemistry Book 3 Notes Chemistry Book 4 Chemistry Book 4 Notes Chemistry Book 4 Pdf Chemistry Book for Class 11 Chemistry Book Four Chemistry Book Four Notes Chemistry Book One Chemistry Book One Notes Chemistry Book Pdf Free Download Chemistry Book Three Chemistry Book Three Notes Chemistry Book Three Pdf Chemistry Book Two Chemistry Book Two Notes Chemistry Books Form Three Chemistry Bowl Chemistry Study Guide Chemistry Bowl Questions Chemistry Chemistry Bowl Questions Earth Chemistry Chemistry Bowl Questions Math Chemistry Bowl Questions Middle School Chemistry Brekthrough Form Two Notes Chemistry Class 12 Ncert Solutions Chemistry Class 12 Pdf Chemistry Communication Syllabus Chemistry Diagram Software Chemistry Diagrams for Class 11 Chemistry Diagrams for Class 12 Chemistry Diagrams for Class 9 Chemistry Diagrams for Class-10 Chemistry Diagrams in Form 1 Chemistry Diagrams in Form 2 Chemistry Diagrams in Form 3 Chemistry Diagrams in Form 4 Chemistry Diagrams Pdf Chemistry Diagrams to Label Chemistry Essay Questions and Answers Chemistry Essay Questions and Answers 2018 Chemistry Essay Questions and Answers Form 1 Chemistry Essay Questions and Answers Form 2 Chemistry Essay Questions and Answers Form 3 Chemistry Essay Questions and Answers Form 4 Chemistry Essay Questions and Answers Form 4 Pdf Chemistry Essay Questions and Answers Pdf Chemistry Essay Revision Q Chemistry Essays and Answers Chemistry Essays Form One to Form Four Chemistry Essays Form One to Form Three Chemistry Essays KCSE Chemistry Essays Pdf Chemistry Exam 1 Multiple Choice Chemistry Exam 2 Advance Chemistry Exam 2 Test Chemistry Exam 2016 Chemistry Exam Form Four Chemistry Exam Form One Chemistry Exam Form Three Chemistry Exam Form Two Chemistry Exam Practice Test Chemistry Exam Questions Chemistry Exam Questions and Answers Chemistry Exam Questions and Answers Pdf Chemistry Exam Study Guide Chemistry Exams Chemistry Excretion Notes Chemistry Exercise Form 4 With Answers Chemistry Final Exam Answer Key Chemistry Final Exam Answer Key 2016 Chemistry Final Exam Answer Key 2017 Chemistry Final Exam Answers 2018 Chemistry Final Exam Answers 2019 Chemistry Final Exam Questions and Answers Chemistry Fom 1 Notes Chemistry Fom 2 Notes Chemistry Fom 3 Notes Chemistry Fom 4 Notes Chemistry Form 1 Chemistry Form 1 & 2 and Answers Chemistry Form 1 and 2 Essays Chemistry Form 1 and 2 Essays Questions and Answers Chemistry Form 1 Chapter 1 Chemistry Form 1 Diagrams Chemistry Form 1 Exams Chemistry Form 1 Mid Year Exam Chemistry Form 1 Notes Chemistry Form 1 Notes and Questions Chemistry Form 1 Notes Download Chemistry Form 1 Notes Free Download Chemistry Form 1 Notes GCSE Chemistry Form 1 Notes KCSE-kcse Chemistry Form 1 Notes Pdf Chemistry Form 1 Notes Pdf Download Chemistry Form 1 Past Papers Chemistry Form 1 Pdf Chemistry Form 1 Pressure Chemistry Form 1 Question Papers Chemistry Form 1 Questions Chemistry Form 1 Questions and Answers Chemistry Form 1 Questions and Answers Pdf Chemistry Form 1 Quiz Chemistry Form 1 Revision Questions Chemistry Form 1 Summary Notes Chemistry Form 1 Syllabus Chemistry Form 1 Work Chemistry Form 1-4 Notes Chemistry Form 2 Chemistry Form 2 Chapter 1 Chemistry Form 2 Chapter 2 Chemistry Form 2 Diagrams Chemistry Form 2 Exam Paper 2014 Chemistry Form 2 Exams Chemistry Form 2 Notes Chemistry Form 2 Notes and Questions Chemistry Form 2 Notes GCSE Chemistry Form 2 Notes KCSE-kcse Chemistry Form 2 Notes Pdf Chemistry Form 2 Notes Pdf Download Chemistry Form 2 Past Papers Chemistry Form 2 Pdf Chemistry Form 2 Question Papers Chemistry Form 2 Questions Chemistry Form 2 Questions and Answers Chemistry Form 2 Questions and Answers Pdf Chemistry Form 2 Quiz Chemistry Form 2 Revision Notes Chemistry Form 2 Salts Chemistry Form 2 Structure and Bonding Chemistry Form 2 Summary Notes Chemistry Form 2 Syllabus Chemistry Form 2 Work Chemistry Form 3 Chemistry Form 3 and 4 Essays Chemistry Form 3 and 4 Essays Questions and Answers Chemistry Form 3 Chapter 3 Chemistry Form 3 Classification Chemistry Form 3 Diagrams Chemistry Form 3 Ecology Chemistry Form 3 Exams Chemistry Form 3 Notes Chemistry Form 3 Notes and Questions Chemistry Form 3 Notes GCSE Chemistry Form 3 Notes KCSE-kcse Chemistry Form 3 Notes Pdf Chemistry Form 3 Notes Pdf Download Chemistry Form 3 Notes Topic 1 Chemistry Form 3 Past Papers Chemistry Form 3 Pdf Chemistry Form 3 Question Papers Chemistry Form 3 Questions Chemistry Form 3 Questions and Answers Chemistry Form 3 Questions and Answers Pdf Chemistry Form 3 Questions and Answers Term 3 Chemistry Form 3 Questions and Answers+pdf Chemistry Form 3 Quiz Chemistry Form 3 Revision Notes Chemistry Form 3 Revision Questions Chemistry Form 3 Summary Notes Chemistry Form 3 Syllabus Chemistry Form 3 Syllabus Pdf Chemistry Form 3 Topics Chemistry Form 3 Work Chemistry Form 4 Chemistry Form 4 All Chapter Chemistry Form 4 Chapter 1 Conversion of Units Chemistry Form 4 Chapter 1 Exercise Chemistry Form 4 Chapter 1 Exercise and Answers Chemistry Form 4 Chapter 1 Exercise Pdf Chemistry Form 4 Chapter 1 Mind Map Chemistry Form 4 Chapter 2 Chemistry Form 4 Chapter 2 Exercise and Answers Chemistry Form 4 Chapter 2 Exercise Pdf Chemistry Form 4 Chapter 2 Experiment Chemistry Form 4 Chapter 2 Formula Chemistry Form 4 Chapter 2 Mind Map Chemistry Form 4 Chapter 2 Momentum Chemistry Form 4 Chapter 2 Notes Pdf Chemistry Form 4 Chapter 2 Objective Questions and Answers Chemistry Form 4 Chapter 2 Paper 2 Chemistry Form 4 Chapter 2 Slideshare Chemistry Form 4 Chapter 3 Chemistry Form 4 Chapter 3 Questions and Answers Chemistry Form 4 Chapter 4 Chemistry Form 4 Chapter 4 Notes Pdf Chemistry Form 4 Chapter 5 Light Questions and Answers Chemistry Form 4 Chapter 5 Notes Pdf Chemistry Form 4 Diagrams Chemistry Form 4 Exam Paper 1 Chemistry Form 4 Exams Chemistry Form 4 Exercise Chemistry Form 4 Exercise Pdf Chemistry Form 4 Module With Answer Chemistry Form 4 Note Chemistry Form 4 Notes Chemistry Form 4 Notes (Pdf) Chemistry Form 4 Notes All Chapter Pdf Chemistry Form 4 Notes and Questions Chemistry Form 4 Notes Chapter 1 Chemistry Form 4 Notes Chapter 2 Chemistry Form 4 Notes Chapter 3 Chemistry Form 4 Notes Download Chemistry Form 4 Notes Free Download Chemistry Form 4 Notes GCSE Chemistry Form 4 Notes KCSE-kcse Chemistry Form 4 Notes Pdf Chemistry Form 4 Notes Pdf Download Chemistry Form 4 Paper 2 Questions and Answers Chemistry Form 4 Past Papers Chemistry Form 4 Question Papers Chemistry Form 4 Questions Chemistry Form 4 Questions and Answers Chemistry Form 4 Questions and Answers Pdf Chemistry Form 4 Quiz Chemistry Form 4 Revision Notes Chemistry Form 4 Schemes of Work Chemistry Form 4 Summary Notes Chemistry Form 4 Syllabus Chemistry Form 4 Textbook Pdf Chemistry Form 4 Work Chemistry Form 5 Chapter 1 Exercise and Answers Chemistry Form 5 Chapter 1 Notes Pdf Chemistry Form 5 Chapter 2 Notes Pdf Chemistry Form 5 Chapter 2 Slideshare Chemistry Form 5 Chapter 3 Notes Pdf Chemistry Form 5 Notes Pdf Chemistry Form Four Book Chemistry Form Four Notes Chemistry Form Four Notes and Questions Chemistry Form Four Notes GCSE Chemistry Form Four Notes Pdf Chemistry Form Four Past Papers Chemistry Form Four Questions Chemistry Form Four Questions and Answers Chemistry Form Four Questions and Answers Pdf Chemistry Form Four Quiz Chemistry Form Four Study Notes Chemistry Form Four Syllabus Chemistry Form Four Topic 2 Chemistry Form Four Topic 4 Chemistry Form Four Topics Chemistry Form Four Work Chemistry Form One Chemistry Form One Book Chemistry Form One Book Pdf Chemistry Form One Download Topic 1 Upto 3 Chemistry Form One Exam Chemistry Form One Notes Chemistry Form One Notes and Questions Chemistry Form One Notes GCSE Chemistry Form One Notes Pdf Chemistry Form One Pdf Chemistry Form One Questions Chemistry Form One Questions and Answers Chemistry Form One Questions and Answers Pdf Chemistry Form One Questions and Their Answers Chemistry Form One Quiz Chemistry Form One Revision Question Chemistry Form One Schemes of Work Chemistry Form One Study Notes Chemistry Form One Syllabus Chemistry Form One Term Three Test Chemistry Form One to Three Notes Chemistry Form One Work Chemistry Form Three Chemistry Form Three Book Chemistry Form Three Notes Chemistry Form Three Notes and Questions Chemistry Form Three Notes GCSE Chemistry Form Three Questions and Answers Chemistry Form Three Questions and Answers Pdf Chemistry Form Three Quiz Chemistry Form Three Reproduction Chemistry Form Three Reproduction. Chemistry Form Three Study Notes Chemistry Form Three Work Chemistry Form Three-questions and Answers Chemistry Form Two Chemistry Form Two Book Chemistry Form Two Diagrams Chemistry Form Two Notes Chemistry Form Two Notes and Questions Chemistry Form Two Notes GCSE Chemistry Form Two Notes Pdf Chemistry Form Two Notes-pdf Chemistry Form Two Pdf Chemistry Form Two Questions Chemistry Form Two Questions and Answers Chemistry Form Two Questions and Answers Pdf Chemistry Form Two Quiz Chemistry Form Two Study Notes Chemistry Form Two Topics Chemistry Form Two Work Chemistry Form Two,schemes of Work Chemistry Form2 Chemistry Form2 Textbook Chemistry Game Form Four Question End Answers Chemistry Grade 10 Exam Papers Chemistry Hsc Pdf Chemistry Human Reproduction Video Chemistry IGCSE Past Papers Xtremepapers Chemistry K.c.s.e 2017 Chemistry KCSE Chemistry KCSE 2016 Chemistry KCSE 2017 Chemistry KCSE 2017 Paper 1 Chemistry KCSE Past Papers Chemistry KCSE Questions Chemistry KCSE Questions and Answer Chemistry KCSE Quizzes & Answers Chemistry KCSE Revision Chemistry KCSE Revision Notes Chemistry KCSE Setting Questions Form One and Two Chemistry Ksce 2015 Chemistry Last Year K.c.s.e Questions Chemistry Lesson Plan Form Two Chemistry Made Familiar Chemistry Mcq for Class 11 Chemistry Mcq for Class 12 Chemistry Mcq for Competitive Exams Chemistry Mcq for Competitive Exams Pdf Chemistry Mcq for Neet Pdf Chemistry Mcq for Ssc Chemistry Mcq Questions With Answers Chemistry Mcq With Answers Pdf Chemistry Mcqs for Class 12 Pdf Chemistry Mcqs With Answers Pdf Chemistry Mid Familia Form One Chemistry Mock Papers Chemistry Module Form 5 Chemistry Multiple Choice Questions and Answers Cxc Chemistry Multiple Choice Questions and Answers Pdf Chemistry Multiple Choice Questions With Answers Pdf Chemistry Note Chemistry Note Form Two All Chapters Chemistry Notes Chemistry Notes and Guestion and Answear Chemistry Notes and Syllabus Chemistry Notes Class 10 Chemistry Notes for Class 11 Pdf Chemistry Notes for Class 12 Pdf Chemistry Notes for High School Students Chemistry Notes for IGCSE 2014 Chemistry Notes Form 1 Chemistry Notes Form 1 4 Chemistry Notes Form 1 Free Download Chemistry Notes Form 1 KLB Chemistry Notes Form 1 Pdf Chemistry Notes Form 1-4 Chemistry Notes Form 1-4(1) Chemistry Chemistry Notes Form 14 Chemistry Notes Form 2 Chemistry Notes Form 2 KLB Chemistry Notes Form 2 Pdf Chemistry Notes Form 2; Chemistry Notes Chemistry Notes Form 3 Chemistry Notes Form 3 KLB Chemistry Notes Form 3 Pdf Chemistry Notes Form 4 Chemistry Notes Form 4 Chapter 2 Chemistry Notes Form 4 KLB Chemistry Notes Form 4 Pdf Chemistry Notes Form 4-pdf Chemistry Notes Form Four Chemistry Notes Form Four KLB Chemistry Notes Form Four Pdf Chemistry Notes Form One Chemistry Notes Form One KLB Chemistry Notes Form One Pdf Chemistry Notes Form One to Form Four Chemistry Notes Form Three Chemistry Notes Form Three KLB Chemistry Notes Form Three Pdf Chemistry Notes Form Two Chemistry Notes Form Two KLB Chemistry Notes Form Two Pdf Chemistry Notes Form2 Chemistry Notes IGCSE Chemistry Notes Kenya Chemistry Notes on Agroforestry Chemistry Notes Pdf Chemistry Notes: Chemistry Objective Answer Chemistry Objective Answer 2018 Chemistry Objective Questions for Competitive Exams Chemistry Objective Questions for Competitive Exams Pdf Chemistry Oral Exam Questions Chemistry Paper 1 Chemistry Paper 1 2018 Marking Rules Chemistry Paper 1 Notes Chemistry Paper 1 Questions Chemistry Paper 1 Questions and Answers Chemistry Paper 1 Topics Chemistry Paper 1 With Answers Chemistry Paper 2 Chemistry Paper 2 2017 Chemistry Paper 2 2018 Marking Rules Chemistry Paper 2 Questions and Answers Chemistry Paper 2 Questions and Answers Pdf Chemistry Paper 2 Revision Chemistry Paper 2 Topics Chemistry Paper 2018 Chemistry Paper 3 2018 Marking Rules Chemistry Paper 3 Question and Answer Chemistry Paper 3 Question Paper 2014 KCSE Chemistry Paper 3 Question Paper 2015 KCSE Chemistry Paper 3 Question Paper 2016 KCSE Chemistry Paper 3 Question Paper 2017 KCSE Chemistry Paper 3 Question Paper 2018 KCSE Chemistry Paper 3 Questions and Answers Chemistry Paper One Questions and Answers Chemistry Paper One Topics Chemistry Paper Two Qestions With Answers Chemistry Paper1 Chemistry Paper2 Chemistry Paper3 Chemistry Paper4 Chemistry Past Papers Chemistry Past Papers 2017 Chemistry Past Papers a Level Chemistry Past Papers Form 1 Chemistry Past Papers Form 2 Chemistry Past Papers Form 3 Chemistry Past Papers O Level Chemistry Pdf Download Chemistry Pp1 KCSE 2016 Chemistry Practical Book Class 12 Pdf Chemistry Practical Exam Chemistry Practicals Form One Chemistry Practicals Questions and Answers Chemistry Practice Test 9th Grade Chemistry Practice Test Answers Chemistry Practice Test Questions and Answers Chemistry Practice Test Quizlet Chemistry Predicted Questions This Year KCSE Chemistry Preparation Notes Chemistry Pretest High School Pdf Chemistry Question and Answer With Explanation Chemistry Question and Answers 2019 Chemistry Question and Answers 2020 Chemistry Question and Answers 2021 Chemistry Question and Answers 2022 Chemistry Question and Answers Note Chemistry Questions Chemistry Questions and Answers Chemistry Questions and Answers for High School Chemistry Questions and Answers for High Schools Chemistry Questions and Answers for High Schools Pdf Chemistry Questions and Answers for Secondary Schools Chemistry Questions and Answers Form 1 Chemistry Questions and Answers Form 2 Chemistry Questions and Answers Form 3 Chemistry Questions and Answers Form 4 Chemistry Questions and Answers Multiple Choice Chemistry Questions and Answers Notes Chemistry Questions and Answers O Chemistry Questions and Answers Online Chemistry Questions and Answers Pdf Chemistry Questions and Answers Pdf for Class 12 Chemistry Questions and Answers Pdf for Competitive Exams Chemistry Questions and Answers-form 2 Chemistry Questions for High School Chemistry Questions for High School Students With Answers Chemistry Questions for Senior 1 Chemistry Questions for Senior 2 Chemistry Questions for Senior 3 Chemistry Questions for Senior 4 Chemistry Questions for Senior 5 Chemistry Questions for Senior 6 Chemistry Questions for Senior Five Chemistry Questions for Senior Four Chemistry Questions for Senior One Chemistry Questions for Senior Six Chemistry Questions for Senior Three Chemistry Questions for Senior Two Chemistry Questions Form One Chemistry Questions Multiple Choice Chemistry Questions Quizlet Chemistry Questions to Ask Your Teacher Chemistry Quetion and Answer Form Four Chemistry Quetion and Answer Form One Chemistry Quetion and Answer Form Three Chemistry Quetion and Answer Form Two Chemistry Quiz for Class 9 Chemistry Quiz for Class 9 Chemistry Chemistry Quiz Questions and Answers for Class 10 Chemistry Quiz Questions and Answers for Class 10 Pdf Chemistry Quiz Questions and Answers for Class 12 Chemistry Quiz Questions and Answers for Class 9 Chemistry Quiz Questions and Answers for Class 9 Pdf Chemistry Quiz Questions and Answers for High School Chemistry Quiz Questions and Answers Multiple Choice Chemistry Quiz Questions and Answers Pdf Chemistry Quiz Questions for Class 12 Chemistry Quiz Questions for College Students Chemistry Quiz With Answers Chemistry Quiz With Answers Pdf Chemistry Quizlet Chemistry Revision Chemistry Revision a Level Chemistry Revision Chemistry Notes Chemistry Chemistry Revision Exam Chemistry Revision Examination Chemistry Revision Form One Chemistry Revision Notes Chemistry Revision Notes Chemistry Chemistry Revision Notes Form 1 Chemistry Revision Notes Form 2 Chemistry Revision Notes Form 3 Chemistry Revision Notes Form 4 Chemistry Revision Notes IGCSE Chemistry Revision Paper One Chemistry Revision Questions Chemistry Revision Questions and Answers Chemistry Revision Questions and Answers Form 1 Chemistry Revision Questions and Answers Form 2 Chemistry Revision Questions and Answers Form 3 Chemistry Revision Questions and Answers Form 4 Chemistry Revision Questions and Answers Form Four Chemistry Revision Questions and Answers Form One Chemistry Revision Questions and Answers Form Three Chemistry Revision Questions and Answers Form Two Chemistry Revision Questions Form 1 Chemistry Revision Questions Form 2 Chemistry Revision Questions Form 3 Chemistry Revision Questions Form 4 Chemistry Revision Questions Form Four Chemistry Revision Questions Form One Chemistry Revision Questions Form Three Chemistry Revision Questions Form Two Chemistry Revision Quiz Chemistry Revision Test Chemistry Secondary School Revision Chemistry Simple Notes Chemistry Spm Notes Download Chemistry Spm Notes Pdf Chemistry Spm Questions Chemistry Study Form 2 Chemistry Study Guide Chemistry Study Guide Answer Key Chemistry Study Guide Answers Chemistry Study Guide Chemistry Questions and Answers Chemistry Study Guide Ib Chemistry Study Guide Pdf Chemistry Study Guides Chemistry Study Notes Chemistry Study Notes Materials Form 1 Pdf Chemistry Study Notes Materials Form 2 3 Pdf Chemistry Study Notes Materials Form 2 Pdf Chemistry Study Notes Materials Form 3 Pdf Chemistry Study Notes Materials Form 4 Pdf Chemistry Syllabus in Kenya Chemistry Syllabus Pdf Chemistry Test 1 Quizlet Chemistry Test Questions Chemistry Test Questions and Answers Chemistry Test Questions and Answers Pdf Chemistry Topic One Form Four Chemistry Topics Form One Chemistry Unit 1 Quiz Chemistry Vol 3 Chemistry | Revision Chemistry Chemistry,form 4 Chemistry.form Four.topic Three ChemistryExam Form Three ChemistryModule Form 5 ChemistryNotes ChemistryNotes for Class 11 Pdf ChemistryNotes for Class 12 Pdf ChemistryNotes Form 1 ChemistryNotes Form 1 Free Download ChemistryNotes Form 2 ChemistryNotes Form 3 ChemistryNotes Form 3 Pdf ChemistryNotes IGCSE ChemistryNotes Pdf ChemistryPast Papers ChemistryQuestions and Answers Pdf ChemistrySimple Notes ChemistrySpm Notes Download ChemistrySpm Notes Pdf ChemistrySpm Questions ChemistryStudy Guide Answers ChemistryStudy Guide Pdf ChemistryStudy Guides Blologytextpapers Bridge Chemistry Business Past KCSE Past Papers Business Studies Form 3 Notes Pdf Business Studies Form 4 Notes Pdf C R E Form One KLB C R E Form One Oli Topic C.r.e Form 1 Notes Kenya C.r.e Form 2 Notes Kenya C.r.e Form 3 Notes C.r.e Form 3 Notes Kenya C.r.e Form 3 Pdf C.r.e Form 4 Notes Kenya C.r.e Form One Notes Pdf C.r.e Notes Form 1 C.r.e Revision Notes C.r.e Short Notes Cambridge IGCSE Chemistry Cambridge IGCSE Chemistry 3rd Edition Cambridge IGCSE Chemistry 3rd Edition Plus Cd South Asia Edition Cambridge IGCSE Chemistry Answers Cambridge IGCSE Chemistry Coursebook Pdf Download Cambridge IGCSE Chemistry Practical Workbook Cambridge IGCSE Chemistry Revision Guide Pdf Cambridge IGCSE Chemistry Study and Revision Guide 2nd Edition Pdf Cambridge IGCSE Chemistry Study and Revision Guide Pdf Cambridge IGCSE Chemistry Workbook Free Download Cambridge IGCSE Chemistry Workbook Pdf Cambridge IGCSE® Chemistry Coursebook Caucasian Chalk Circle Essay Questions Chapter 1 Introduction to Chemistry Chapter 1 Introduction to Chemistry Studies Cie a Level Chemistry Notes 2016 Cie a Level Chemistry Notes Pdf Cie Past Papers Class 10 Chemistry Chapter 1 Mcqs Class 8 Chemistry Notes KCSE-kcse College Chemistry Notes College Chemistry Practice Test College Chemistry Quiz College Chemistry Quiz Chapter 1 College Chemistry Quizlet College Chemistry Study Guide College Chemistry Study Guide Pdf College Chemistry Test Questions and Answers College Chemistry Volume 3 Pdf College ChemistryNotes Complete Chemistry for Cambridge IGCSE Complete Chemistry for Cambridge IGCSE Revision Guide Pdf County Mocks 2017 Cse Past Papers Chemistry 2017 Dl Chemistry Form 3 Pdf Kusoma Download Chemistry Form 1 Download Chemistry Form 2 Download Chemistry Form 2 Notes Download Chemistry Form 3 Download Chemistry Form 3 Notes Download Chemistry Form 4 Download Chemistry Form Four Download Chemistry Form One Download Chemistry Form Three Download Chemistry Form Two Download Chemistry Notes Form 3 Download Chemistry Notes Form One Download ChemistryNotes Form 3 Download Form Three Chemistry Notes Download Free KCSE Past Papers Chemistry Download Free KCSE Past Papers From KNEC. Download KCSE Past Papers With Answers Download KCSE Revision Notes Download KLB Chemistry Book 2 Download KLB Chemistry Book 3 Download KLB Chemistry Book 4 Download Notes of Chemistry Downloads | Chemistry | Form Four Exams | Exams Downloads | Chemistry | Form One Exams | Exams Downloads | Chemistry | Form Three Exams | Exams Downloads | Chemistry | Form Two Exams | Exams Downloads | KCSE Papers and Marking Schemes | Dvance KCSE Past Papers Easy Chemistry Questions Edexcel a Level Chemistry B Edexcel a Level Chemistry Notes Pdf Edexcel a Level Chemistry Salters Nuffield Edexcel A2 Chemistry Notes Edexcel as Chemistry Revision Guide Pdf Edexcel Chemistry A2 Revision Notes Pdf Edexcel Chemistry Unit 2 Revision Notes Edexcel GCSE Chemistry Revision Guide Pdf Edexcel IGCSE Chemistry Past Papers Edexcel IGCSE Chemistry Revision Guide Free Pdf Download Edexcel IGCSE Chemistry Revision Guide Pdf Edexcel IGCSE Chemistry Revision Guide Pdf Download Electronics Form Four Notes Energy Questions Chemistry Bowl Essay Questions and Answers KCSE Chemistry Notes Essay Questions and Answers on Betrayal in the City Essay Questions Based on Betrayal in the City Evolving World Chemistry Book 1 Pdf Evolving World Chemistry Book 4 Notes Evolving World Chemistry Book Form 1 Evolving World-history Book 3 Exam Notes for Chemistry 101 Exams KCSE Chemistry Paper 1 Questions and Answers F3 Chemistry Test Paper Find Download KCSE Past Papers With Answers Find KCSE Chemistry Essay Questions and Answers Form 1 Chemistry Exam Form 1 Chemistry Notes Form 1 Chemistry Questions and Answers Form 1 Chemistry Questions and Answers Pdf Form 1 Chemistry Revision Notes Form 1 Chemistry Summurized Revision Pdf Form 1 Chemistry Syllabus Form 1 Chemistry Test Paper Pdf Form 1 Chemistry Topics Form 1 ChemistryNotes Form 1 ChemistryQuestions and Answers Form 1 ChemistryRevision Notes Form 1 ChemistrySyllabus Form 1 ChemistryTest Paper Pdf Form 1 Past Papers Form 1 Past Papers With Answers Form 1 Revision Papers Form 1 Subjects in Kenya Form 2 Chemistry Exam Form 2 Chemistry Exam Paper Form 2 Chemistry Exam Paper 2016 Form 2 Chemistry Exam Paper Free Download Form 2 Chemistry Exam Paper With Answer Form 2 Chemistry Final Year Exam Paper 2 Form 2 Chemistry Notes Form 2 Chemistry Notes and Revision Questions Form 2 Chemistry Notes Pdf Form 2 Chemistry Past Papers Form 2 Chemistry Questions Form 2 Chemistry Questions and Answers Form 2 Chemistry Questions and Answers > Form 2 Chemistry Questions and Answers Pdf Form 2 Chemistry Revision Notes Form 2 Chemistry Short Notes Form 2 Chemistry Syllabus Form 2 ChemistryExam Paper Form 2 ChemistryExam Paper Free Download Form 2 ChemistryExam Paper With Answer Form 2 ChemistryFinal Year Exam Paper 2 Form 2 ChemistryPast Papers Form 2 ChemistryRevision Notes Form 2 ChemistryShort Notes Form 2 ChemistrySyllabus Form 2 Revision Papers Form 2 Subjects in Kenya Form 3 Chemistry Book Form 3 Chemistry Exam Form 3 Chemistry Exam Paper Form 3 Chemistry Notes Form 3 Chemistry Past Papers Form 3 Chemistry Questions Form 3 Chemistry Questions and Answers Form 3 Chemistry Questions and Answers Pdf Form 3 Chemistry Revision Notes Form 3 Chemistry Syllabus Form 3 ChemistryExam Paper Form 3 ChemistryNotes Form 3 ChemistryPast Papers Form 3 ChemistryQuestions Form 3 ChemistryQuestions and Answers Pdf Form 3 ChemistryRevision Notes Form 3 ChemistrySyllabus Form 3 C.r.e Form 3 Notes of Chemistry Topic on Fish Form 3 Past Papers Form 3 Revision Papers Form 3 Subjects in Kenya Form 4 Chemistry Exam Form 4 Chemistry Notes Form 4 Chemistry Notes Pdf Form 4 Chemistry Questions and Answers Form 4 Chemistry Questions and Answers Pdf Form 4 Chemistry Revision Notes Form 4 Chemistry Syllabus Form 4 Chemistry Topics Form 4 ChemistryNotes Form 4 ChemistryRevision Notes Form 4 ChemistrySyllabus Form 4 ChemistryTopics Form 4 Exam Papers Form 4 Revision Papers Form 4 Subjects in Kenya Form 5 Chemistry Topics Form 5 ChemistryTopics Form Five Chemistry Notes Form Five ChemistryNotes Form Four Chemistry Book Form Four Chemistry Notes Form Four Chemistry Notes Pdf Form Four Chemistry Questions and Answers Form Four Chemistry Questions and Answers Pdf Form Four Chemistry Revision Questions Form Four Chemistry Syllabus Form Four Chemistry Topics Form Four ChemistryNotes Form Four ChemistryQuestions and Answers Form Four ChemistryQuestions and Answers Pdf Form Four ChemistryTopics Form Four Notes Form Four Revision Papers Form Four Subjects in Kenya Form One Chemistry Book Form One Chemistry Examination Form One Chemistry First Topic Form One Chemistry Lesson Plan Form One Chemistry Notes Pdf Form One Chemistry Past Papers Pdf Form One Chemistry Questions Form One Chemistry Questions and Answers Form One Chemistry Questions and Answers Pdf Form One Chemistry Revision Questions Form One Chemistry Short Notes Form One Chemistry Syllabus Form One Chemistry Topics Form One ChemistryExamination Form One ChemistryPast Papers Pdf Form One ChemistryQuestions and Answers Form One ChemistryQuestions and Answers Pdf Form One ChemistryTopics Form One Exams Form One Notes of Chemistry Form One Past Papers Form One Subjects in Kenya Form One Term One Chemistry Exam Form One Term One ChemistryExam Form Three Chemistry Book Form Three Chemistry Book Pdf Form Three Chemistry Notes Form Three Chemistry Notes Pdf Form Three Chemistry Questions and Answers Form Three Chemistry Questions and Answers Pdf Form Three Chemistry Revision Questions Form Three Chemistry Syllabus Form Three Chemistry Topics Form Three ChemistryNotes Form Three ChemistryNotes Pdf Form Three ChemistryQuestions and Answers Form Three ChemistryQuestions and Answers Pdf Form Three ChemistryTopics Form Three Subjects in Kenya Form Two Chemistry Book Form Two Chemistry Cat Form Two Chemistry Examination Form Two Chemistry Notes Form Two Chemistry Notes Pdf Form Two Chemistry Past Papers Form Two Chemistry Questions and Answers Form Two Chemistry Questions and Answers Pdf Form Two Chemistry Revision Questions Form Two Chemistry Syllabus Form Two Chemistry Topics Form Two ChemistryNotes Form Two ChemistryNotes Pdf Form Two ChemistryQuestions and Answers Form Two ChemistryQuestions and Answers Pdf Form Two ChemistrySyllabus Form Two ChemistryTopics Form Two Notes Form Two Subjects in Kenya Free a-level Chemistry Revision App | Pass Your Chemistry Exams Free Chemistry Form 1 Notes Free Chemistry Notes Form 1 Free Chemistry Notes Pdf Free ChemistryNotes Pdf Free College Chemistry Practice Test Free Form1,form2,form3 Past Papers Free KCSE Past Papers Free KCSE Mocks 2015 Free KCSE Past Papers 2014 Free KCSE Past Papers KCSE Past Free KCSE Past Papers Kenya, Free KCSE Past Papers With Answers Free KCSE Questions and Answers on Chemistry Free KCSE Revision Notes Free Marking Schemes Free Mocks Online KCSE Answers Past Exams Question Papers Free Revision Papers From Three Notes Topic One KLB Fun Chemistry Questions Funny Chemistry Questions Funny Chemistry Questions and Answers Funny Chemistry Questions to Ask Funny Chemistry Quotes GCSE Chemistry Exam Questions and Answers GCSE Chemistry Past Papers GCSE Chemistry Revision GCSE Chemistry Revision Notes GCSE Chemistry Revision Notes Pdf GCSE Chemistry Revision Notes Pdf 9-1 GCSE Chemistry Revision Questions and Answers GCSE Chemistry Textbook Pdf GCSE Chemistry Topics Pass My Exams: Easy Exam Revision Notes General Chemistry Notes Pdf General Chemistry Practice Test With Answers General Chemistry Quiz General Chemistry Quiz Pdf General Chemistry Test Questions and Answers General Chemistry Test Questions and Answers Pdf General Knowledge in Chemistry Human Body Good Chemistry Questions to Ask GRE Chemistry Practice Test GRE Chemistry Subject Test Pdf Handbook of Chemistry Pdf Free Download Hard Chemistry Questions Hard Chemistry Questions and Answers Hard Chemistry Questions to Ask Your Teacher Hard Chemistry Quiz Questions Hard Form 3 Chemistry Question High School Chemistry Final Exam Doc High School Chemistry Final Exam Pdf High School Chemistry Final Exam Questions High School Chemistry Final Exam Questions and Answers High School Chemistry Notes High School Chemistry Practice Test High School Chemistry Pretest With Answers High School Chemistry Questions and Answers Pdf High School Chemistry Study Guide High School Chemistry Test Questions and Answers Pdf High School ChemistryNotes High School ChemistryStudy Guide How to Answer KCSE Chemistry Question How to Motivate a Form 4 Student How to Motivate a KCSE Candidate How to Motivate a KCSE Student How to Pass Chemistry Questions & Answers Form 1&2 | Text Book How to Revise Chemistry How to Revise Effectively for KCSE How to Study Chemistry: 5 Study Techniques to Master Chemistry Hsc Chemistry 2018 Hsc Chemistry 2019 Https://www.knec.ac.ke/ Www.knec-portal.ac.ke/ KNEC Portal: Ial Chemistry Notes Ib Chemistry Cold War Notes Ib Chemistry Notes Ib Chemistry Notes Pdf Ib Chemistry of the Americas Notes Ib Chemistry of the Americas Study Guide Ib Chemistry Paper 2 Study Guide Ib Chemistry Question Bank by Topic Ib Chemistry Study Guide Pdf Ict Notes Form 1 IGCSE Chemistry Alternative to Practical Revision IGCSE Chemistry Alternative to Practical Revision Notes IGCSE Chemistry Book IGCSE Chemistry Book Pdf Download IGCSE Chemistry Notes IGCSE Chemistry Notes 2017 Pdf IGCSE Chemistry Notes Edexcel IGCSE Chemistry Paper 2 Notes IGCSE Chemistry Paper 6 Notes IGCSE Chemistry Past Papers IGCSE Chemistry Past Papers 2014 IGCSE Chemistry Past Papers 2017 IGCSE Chemistry Pdf IGCSE Chemistry Pre Release Material 2018 IGCSE Chemistry Resources IGCSE Chemistry Revision Guide IGCSE Chemistry Revision Guide Free Download IGCSE Chemistry Revision Guide Pdf Download IGCSE Chemistry Revision Notes Pdf IGCSE Chemistry Revision Worksheets IGCSE Chemistry Workbook Pdf IGCSE Chemistry Znotes IGCSE ChemistryPast Papers IGCSE Notes Chemistry Importance of Agroforestry Inorganic Chemistry Multiple Choice Questions With Answers Pdf Inorganic Chemistry Questions and Answers Pdf Interesting Chemistry Questions Interesting Chemistry Questions and Answers Interesting Questions to Ask About Chemistry Intro to Chemistry Quiz Introduction of Chemistry Form One Introduction to Chemistry Introduction to Chemistry Notes Introduction to Chemistry Pdf Introduction to ChemistryNotes Is Agroforestry Sustainable? K.c.s.e Answers Chemistry Paper One 2018 K.c.s.e Chemistry 2017 K.c.s.e Chemistry 2018 K.c.s.e Chemistry Paper 1 2017 K.c.s.e Mocks 2018 K.c.s.e Papers 2015 K.c.s.e Papers 2016 K.c.s.e Past Papers 2014 K.c.s.e.Chemistry Paper 2 Year 2018 K.c.s.e.results 2018 for Busia County K.l.b Chemistry Form 3 K.l.b Chemistry Notes K.l.b ChemistryNotes Kasneb Past Papers for Colleges Chemistry Past Papers KCSE 2010 Marking Scheme KCSE 2010 Past Papers KCSE 2011 Chemistry Paper 1 KCSE 2011 Marking Scheme KCSE 2012 Chemistry Paper 2 Marking Scheme KCSE 2012 Marking Schemes KCSE 2013 Chemistry Paper 1 KCSE 2013 Marking Scheme KCSE 2013 Marking Scheme Pdf KCSE 2014 KCSE 2015 Chemistry Paper 2 KCSE 2015 Chemistry Paper 3 KCSE 2015 Marking Scheme KCSE 2015 Past Papers KCSE 2016 Chemistry Paper 1 KCSE 2016 Chemistry Paper 2 KCSE 2017 Chemistry Paper 1 KCSE 2017 Chemistry Paper 2 KCSE 2017 Hostory Papers With Answers.com KCSE 2017 Marking Scheme KCSE 2017 Papers KCSE 2017 Papers and Marking Scheme KCSE 2017 Papers Pdf KCSE 2017 Past Papers KCSE 2017 Prediction Pdf KCSE 2018 Chemistry and Answers KCSE 2018 Chemistry Prediction KCSE 2018 Leakage KCSE 2018 Marking Scheme KCSE 2018 Papers KCSE 2018 Prediction Pdf KCSE 2018 Predictions KCSE 2018 Questions KCSE 2018 Questions and Answers KCSE 2019 Leakage Chemistry KCSE 2019 Marking Scheme KCSE 2019 Questions KCSE 2019 Questions and Answers KCSE 2020 Questions KCSE 2020 Questions and Answers KCSE Answers KCSE Answers Past Exams Question Papers Downloads | KCSE Chemistry 2011 KCSE Chemistry 2016 KCSE Chemistry Diagramsbiology Revision Tips KCSE Chemistry Essay Questions and Answers KCSE Chemistry Essay Questions and Answers Pdf KCSE Chemistry Essays KCSE Chemistry Essays Pdf KCSE Chemistry Marking Schemes KCSE Chemistry Notes KCSE Chemistry Notes Pdf KCSE Chemistry Notes, Syllabus, Questions, Answers KCSE Chemistry Paper 1 KCSE Chemistry Paper 1 2011 KCSE Chemistry Paper 1 2012 KCSE Chemistry Paper 1 2013 KCSE Chemistry Paper 1 2015 KCSE Chemistry Paper 1 2016 KCSE Chemistry Paper 1 2017 KCSE Chemistry Paper 1 2017 Pdf KCSE Chemistry Paper 1 Questions and Answers KCSE Chemistry Paper 2 KCSE Chemistry Paper 2 2012 KCSE Chemistry Paper 2 2012 KCSE Chemistry Paper 2 2015 KCSE Chemistry Paper 2 2013 KCSE Chemistry Paper 2 2014 KCSE Chemistry Paper 2 2015 KCSE Chemistry Paper 2 2016 KCSE Chemistry Paper 2 2017 KCSE Chemistry Paper 3 KCSE Chemistry Paper 3 2012 KCSE Chemistry Paper 3 2016 KCSE Chemistry Paper 3 2017 KCSE Chemistry Paper 3 Past Papers KCSE Chemistry Past Papers KCSE Chemistry Past Papers and Answers KCSE Chemistry Past Papers Pdf KCSE Chemistry Practical KCSE Chemistry Practical 2015 KCSE Chemistry Practical 2016 KCSE Chemistry Practical Past Papers KCSE Chemistry Practicals KCSE Chemistry Practicals KCSE Chemistry Paper 1 KCSE Chemistry Question and Answer KCSE Chemistry Questions and Answers KCSE Chemistry Questions and Answers Ap Chemistry KCSE Chemistry Revision KCSE Chemistry Revision Notes KCSE Chemistry Revision Papers KCSE Chemistry Revision Questions KCSE Chemistry Revision Questions and Answers KCSE Chemistry Syllabus KCSE ChemistryNotes KCSE ChemistryPaper 1 KCSE ChemistryPaper 2 KCSE ChemistryPaper 2 Pdf KCSE ChemistrySyllabus KCSE Business Paper 1 2016 KCSE Business Past Papers KCSE Business Studies Past Papers KCSE Essay Questions in Betrayal in the City KCSE Essays KCSE Exam Papers 2018 KCSE Exam Papers Answers KCSE Form 1 Chemistry Revision KCSE Form 2 Chemistry Revision KCSE Form 3 Chemistry Revision KCSE Form 4 Chemistry Revision KCSE Form Four Chemistry Revision KCSE Form One Chemistry Revision KCSE Form Three Chemistry Revision KCSE Form Two Chemistry Revision KCSE KCSE Past Papers KNEC KCSE Leakage KCSE Leakage Chemistry KCSE Made Familiar Chemistry KCSE Made Familiar Chemistry Pdf KCSE Marking Scheme 2016 KCSE Marking Schemes KCSE Marking Schemes 2017 KCSE Marking Schemes Pdf KCSE Mock Exams KCSE Mock Papers 2015 KCSE Mock Papers 2017 KCSE Mock Papers 2018 KCSE Mock Papers Pdf KCSE Mock Papers Pdf 2018 KCSE Mock Papers Pdf KCSE Past Papers KCSE Mocks 2017 KCSE Mocks 2018 KCSE Notes KCSE Online Notes KCSE Online Past Papers KCSE Online Registration KCSE Papers 2015 KCSE Papers and Marking Schemes | Exams KCSE Past Papers KCSE Past Papers 2007 KCSE Past Papers 2009 KCSE Past Papers 2010 KCSE Past Papers 2011 KCSE Past Papers 2011 Pdf KCSE Past Papers 2012 KCSE Past Papers 2013 KCSE Past Papers 2013knec KCSE Past Papers 2014 KCSE Past Papers 2014 Pdf KCSE Past Papers 2015 KCSE Past Papers 2015 Marking Schemes KCSE Past Papers 2015 Pdf KCSE Past Papers 2016 KCSE Past Papers 2016 Pdf KCSE Past Papers 2017 KCSE Past Papers 2017 Pdf KCSE Past Papers 2018 KCSE Past Papers Chemistry KCSE Past Papers Chemistry and Answers KCSE Past Papers Chemistry Pdf KCSE Past Papers Chemistry With Answers KCSE Past Papers Chemistryand Answers KCSE Past Papers Business Studies and Answers KCSE Past Papers KCSE and Answers KCSE Past Papers KCSE and Answers Free Mocks Online KCSE Past Papers Marking Scheme KCSE Past Papers Pdf Download KCSE Past Papers Pdf Download KCSE 2013 KCSE Past Papers With Answers KCSE Past Papers Woodwork and Answers KCSE Prediction 2017 KCSE Prediction 2018 KCSE Prediction 2018 Pdf KCSE Prediction Papers 2018 KCSE Prediction Questions KCSE Prediction Questions 2018 KCSE Prediction Questions and Answers KCSE Questions KCSE Questions and Answers KCSE Questions and Answers. KCSE Questions on Chemistry KCSE Results, Online Registration, KCSE Result Slip. KCSE Revision KCSE Revision Notes KCSE Revision Notes Chemistry KCSE Revision Notes Pdf KCSE Revision Papers KCSE Revision Papers 2014 KCSE Revision Papers With Answers KCSE Revision Question for Chemistry KCSE Revision Questions KCSE Revision Questions and Answers KCSE Revision | Secondary School | Text Books | Text Book Centre KCSE Syllabus Pdf KCSE Trial 2017 KCSE Trial Exams 2017 Kenya Secondary School Chemistry Syllabus Kenya Secondary School Chemistry Syllabus Pdf Kenya Secondary School ChemistrySyllabus Pdf Kenya Secondary School Syllabus Pdf Kenya-kcse-christian Religious Education Syllabus Kenyaplex KCSE Past Papers Kenyaplex Past Papers for Secondary KLB Chemistry Book 1 Download KLB Chemistry Book 1 Notes KLB Chemistry Book 1 Pdf KLB Chemistry Book 2 KLB Chemistry Book 2 Notes KLB Chemistry Book 2 Notes Pdf KLB Chemistry Book 2 Pdf KLB Chemistry Book 3 Notes KLB Chemistry Book 3 Pdf KLB Chemistry Book 3 Pdf Download KLB Chemistry Book 4 Notes KLB Chemistry Book 4 Pdf KLB Chemistry Book 4 Pdf Download KLB Chemistry Book 4 Topics KLB Chemistry Book One KLB Chemistry Form 1 KLB Chemistry Form 1 Notes KLB Chemistry Form 1 Pdf KLB Chemistry Form 2 KLB Chemistry Form 2 Book KLB Chemistry Form 2 Notes KLB Chemistry Form 2 Pdf KLB Chemistry Form 2 Pdf Download KLB Chemistry Form 2 Schemes of Work KLB Chemistry Form 3 KLB Chemistry Form 3 Notes KLB Chemistry Form 3 Notes Pdf KLB Chemistry Form 3 Pdf KLB Chemistry Form 3 Pdf Download KLB Chemistry Form 4 KLB Chemistry Form 4 Notes KLB Chemistry Form 4 Pdf KLB Chemistry Form Four KLB Chemistry Form Four Notes KLB Chemistry Form One KLB Chemistry Form One Notes KLB Chemistry Form Three KLB Chemistry Form Three Notes KLB Chemistry Form Two KLB Chemistry Form Two Notes KLB Chemistry Notes KLB Chemistry Notes Form 4 KLB Chemistry Pdf KLB ChemistryNotes KLB ChemistryNotes Form 4 KLB ChemistryPdf KNEC Chemistry Syllabus KNEC Examiners Portal KNEC Website KNEC Ict Past Papers KNEC Past Papers for Colleges KNEC Past Papers Free Download KNEC Past Papers Free Downloads KNEC Past Papers Pdf KNEC Portal Confirmation KNEC Portal KCSE Results KNEC Portal KNEC Past Papers for Colleges Kasneb Past Papers KNEC Revision Papers KNEC Technical Exams Past Papers Kusoma Chemistry Notes Kusoma Chemistry Notes Pdf Kusoma Notes Chemistry Kusoma.co.ke Kusoma.com Past Papers Learner Guide for Cambridge IGCSE Chemistry Longhorn Chemistry Book 3 Pdf Made Familiar Chemistry Made Familiar Chemistry Pdf Made Familiar Chemistry Questions Maktaba Tetea Notes Marking Scheme KCSE Chemistry Past Papers Math Form2 Note Mcqs About Gaseous Exchange Middle School Chemistry Bowl Chemistry Questions Mock Past Papers 2017 Mock Past Papers With Answers Mokasa Mock 2017 More Than 1800 Chemistry Questions and Answers to Help You Study Multiple Choice Questions on Chemistry Necta Chemistry Past Papers Necta Chemistry Practicals Necta ChemistryPast Papers Necta ChemistryPracticals Necta Form Four Past Papers Necta Past Papers Form 4 Necta Past Papers Form 4 2016 Necta Past Papers Form Six Necta Past Papers Form Two Necta Questions and Answers Necta Review Questions Notes Chemistry Form 1 Notes Chemistry Form 2 Notes Chemistry Form 3 Notes Chemistry Form 3 Notes Pdf Notes Chemistry Form 3 Syllabus Notes Chemistry Form 4 Syllabus Notes on Chemistry Studies Notes Za Chemistry 4m 2 Notes Za Chemistry Form One Notes Za Chemistry Form Three O Level Chemistry Practical Experiments O Level Chemistry Questions and Answers Pdf Orm Three Chemistry Notes Page Navigation Papacambridge Chemistry IGCSE Papers KNEC KCSE Online Past Papers KNEC KCSE Results Past Papers Past KCSE Papers Past Paper Questions by Topic Chemistry Past Papers 2014 Past Papers in Kenya Pdf Chemistry Form 3 Pdf Chemistry Notes Pdf Chemistry Notes Form 1 Pdf Chemistry Notes Form 2 Pdf Chemistry Notes Form 3 Pdf Chemistry Notes Form 4 Pdf Chemistry Notes Form Four Pdf Chemistry Notes Form One Pdf Chemistry Notes Form Three Pdf Chemistry Notes Form Two Pdf Form 1 Chemistry Questions and Answers Pdf Form 2 Chemistry Questions and Answers Pdf Form 3 Chemistry Questions and Answers Pdf Form 4 Chemistry Questions and Answers Pdf Form Four Chemistry Questions and Answers Pdf Form One Chemistry Questions and Answers Pdf Form Three Chemistry Questions and Answers Pdf Form Two Chemistry Questions and Answers Pdf Free KCSE Past Papers and Marking Schemes Pdf" Revision Questions Chemistry Form 1 Practical Chemistry Experiments Pdf Practical Chemistry Question and Answer Pdf Pre Mocks 2018 Preliminary Chemistry Primary and Secondary Tillage Implements Ppt Pte KNEC Past Papers Questions and Answers Pdf Chemistry Form 1 Questions and Answers Pdf Chemistry Form 2 Questions and Answers Pdf Chemistry Form 3 Questions and Answers Pdf Chemistry Form 4 Questions and Answers Pdf Chemistry Form Four Questions and Answers Pdf Chemistry Form One Questions and Answers Pdf Chemistry Form Three Questions and Answers Pdf Chemistry Form Two Questions Based to Introduction to Chemistry Questions on Gaseous Exchange in Humans Questions on Introduction to Chemistry Questions to Ask in Chemistry Class Questions to Confuse Your Chemistry Teacher Quizlet Chemistry Test Quizlet Test Questions Qustions in Chemistry and Answers Revision Revision Chemistry Notes and Questions? Revision Quiz for Chemistry for Form Three S.1 Chemistry Questions S.2 Chemistry Questions S.3 Chemistry Questions S.4 Chemistry Questions Sample Essays on Betrayal in the City School Chemistry Notes Secondary Chemistry Notes Secondary Chemistry Notes Pdf Secondary ChemistryNotes Pdf Senior 1 Chemistry Notes Senior 2 Chemistry Notes Senior 3 Chemistry Notes Senior 4 Chemistry Notes Senior 5 Chemistry Notes Senior 6 Chemistry Notes Senior Five Chemistry Notes Senior Four Chemistry Notes Senior One Chemistry Notes Senior Six Chemistry Notes Senior Three Chemistry Notes Senior Two Chemistry Notes Simple Scientific Questions Smart Questions to Ask a Chemistry Teacher Snab Chemistry Revision Notes Southwest Mock Paper 2 2016 Chemistry Only Spm Chemistry Revision Notes Spm Notes Success Chemistry Spm Pdf Success ChemistrySpm Pdf Summary of Chemistry Form 3 Tahossa Past Papers To Motivate a Form 4 KCSE Student To Motivate a Form 4 Student Topical Revision Material Tricky Chemistry Questions and Answers Tricky Chemistry Questions for Adults Tricky Chemistry Questions With Answers Tricky Chemistry Quiz Questions Two Chemistry Revision Questions University Chemistry Volume 3 Openstax University Chemistry Volume 3 Pdf University Chemistry Volume 4 Pdf Ur Revision Guide IGCSE Chemistry What Are the Types of Gametes Working of Excretory System Www.Chemistry Form One Notes.com Www.Chemistry From One KLB.com Www.form 1 Chemistry.com Www.form 2 Chemistry.com Www.form 3 Chemistry.com Www.form 4 Chemistry.com Www.form Four Chemistry.com Www.form One Chemistry.com Www.form Three Chemistry.com Www.form Two Chemistry.com Www.kusoma Notes Www.kusoma Revision Materials Www.kusoma.co.ke Chemistry Notes Xtremepapers IGCSE Chemistry Year 11 Chemistry Z Notes Chemistry IGCSE Znotes as Chemistry Acids and Bases Chem Revision Questions Chemistry Notes Combine Form 1, 2, 3 and 4 Chemistry Notes Form 3 A Level Chemistry Questions and Answers Pdf All Chemistry Questions and Answers Pdf,ppt Chemistry Exam Questions and Answers Pdf Chemistry Multiple Choice Questions and Answers Pdf Chemistry Questions and Answers for High Schools Pdf Chemistry Notes Form 1-4 Pdf Free High School Notes Kenya Free Kcse Revision Notes General Chemistry Test Questions and Answers Pdf High School Chemistry Multiple Choice Questions and Answers Pdf Kcse Chemistry Revision Notes Pdf Kcse Revision Books Pdf Kcse Revision Notes Pdf Kenya Secondary School Notes Pdf Notes of Form 123 and 4 All Subject Chemistry Notes Form 1 Free Download Advice to KCSE Candidates Best Revision Books for KCSE How to Pass an Exam Successfully How to Pass KCSE 2018 How to Pass KCSE 2019 How to Pass KCSE Chemistry Paper How to Pass KCSE Chemistry How to Pass KCSE Chemistry How to Pass KCSE 2019 K.c.s.e Chemistry Paper 1 2017 KCSE 2019 Prediction KCSE Prediction 2019 KCSE Revision Tips KCSE Chemistry Paper 1 2018 KCSE Chemistry Paper 2 2018 KCSE Chemistry Past Papers Pdf KCSE Past Papers 2012 KCSE Past Papers 2017 Pdf KCSE Past Papers 2018 KCSE Past Papers of Chemistry Pp2 KCSE Chemistry Past Papers Pdf Chemistry KCSE Papers With Their Marking Schemes Chemistry Paper 1 and Answers KCSE 2017 Papers and Marking Scheme KCSE 2019 Papers and Marking Scheme KCSE Chemistry Paper 1 2018 KCSE Chemistry Paper 1 2019 KCSE Chemistry Paper 2 2017 KCSE Chemistry Paper 2 2018 KCSE Chemistry Paper 2 2019 KCSE Chemistry Past Papers and Answers KCSE Marking Schemes Pdf KCSE Past Papers 2015 Marking Schemes KCSE Past Papers 2019 Marking Schemes Chemistry KCSE Papers With Their Marking Schemes Chemistry Paper 1 and Answers KCSE 2017 Papers and Marking Scheme KCSE 2019 Papers and Marking Scheme KCSE Chemistry Paper 1 2018 KCSE Chemistry Paper 1 2019 KCSE Chemistry Paper 1 2019 Past Papers KCSE Chemistry Paper 2 2017 KCSE Chemistry Paper 2 2018 KCSE Chemistry Paper 2 2019 KCSE Chemistry Paper 2 2019 Past Papers KCSE Chemistry Paper 3 2019 Past Papers KCSE Chemistry Past Papers and Answers KCSE Marking Schemes Pdf KCSE Past Papers 2015 Marking Schemes KCSE Past Papers 2019 Marking Schemes KCSE Past Papers Chemistry Paper 1 2019 KCSE Past Papers Chemistry Paper 2 2019 KCSE Past Papers Chemistry Paper 3 2019 Past Papers KCSE Chemistry Paper 1 2019 Past Papers KCSE Chemistry Paper 2 2019 Past Papers KCSE Chemistry Paper 3 2019 Chemistry Form 1 Questions and Answers Chemistry Paper 1 2018 Chemistry Paper 2 2018 Chemistry Paper 1 2019 Chemistry Paper 2 2019 Chemistry Paper 1 Notes Chemistry Paper 1 Questions and Answers Pdf Chemistry Paper 2 Questions and Answers Chemistry Questions and Answers Form 2 KCSE Chemistry Paper 1 2018 KCSE Chemistry Paper 2 2018 KCSE Chemistry Paper 1 2017 KCSE Chemistry Paper 2 2017 KCSE Chemistry Paper 1 2019 KCSE Chemistry Paper 2 2019 Most Tested KCSE Chemistry Questions 4m1 Notes Viusasa 4m2 Notes Viusasa 4m3 Notes Viusasa 4m4 Notes Viusasa Download on Viusasa - Download Now for Free Elimu - Viusasa Elimu Library | Notes, Exams, Lesson Plans, Schemes Elimu Online High School Notes - Revision Materials for Kenyan Schools Https //www.viusasa.com/elimu Kenya Notes Viusasa Elimu Form 1 Notes Viusasa Elimu Form 2 Notes Viusasa Elimu Form 3 Notes Viusasa Elimu Form 4 Notes Viusasa Elimu Form Four Notes Viusasa Elimu Form One Notes Viusasa Elimu Form Three Notes Viusasa Elimu Form Two Viusasa Viusasa Education Viusasa Elimu Viusasa Elimu Class 6 Viusasa Elimu Form 1 Viusasa Elimu Form 1 Notes Viusasa Elimu Form 2 Viusasa Elimu Form 2 Notes Viusasa Elimu Form 3 Viusasa Elimu Form 3 Notes Viusasa Elimu Form 4 Viusasa Elimu Form 4 Notes Viusasa Elimu Form Four Viusasa Elimu Form Four Notes Viusasa Elimu Form One Viusasa Elimu Form One Notes Viusasa Elimu Form Three Viusasa Elimu Form Three Notes Viusasa Elimu Form Two Viusasa Elimu Form Two Notes Viusasa High School Notes - Revision Materials for Kenyan Schools Viusasa Notes Chemistry Mock Papers Chemistry Paper 1 2019 Chemistry Paper 1 Notes Chemistry Paper 1 Questions and Answers Chemistry Paper 1 Questions and Answers Pdf Chemistry Paper 2 Form 3 Chemistry Paper 2 Notes Chemistry Paper 2 Questions and Answers Pdf Chemistry Past Papers Chemistry Past Papers Pdf Chemistry Questions and Answers Pdf Chemistry Revision Questions and Answers Pdf Chemistry Revision Questions Pdf Common Exam Questions in Chemistry Paper 1 Common Exam Questions in Chemistry Paper 2 Common Test Questions in Chemistry Paper 1 Common Tested Questions in Chemistry Paper 1 Commonly Tested Questions in Chemistry Paper 1 K.c.s.e.Chemistry Questions and Answers KCSE 2019 Chemistry Paper 1 Marking Scheme KCSE 2019 Chemistry Paper 2 KCSE 2019 Chemistry Paper 2 Marking Scheme KCSE 2020 Prediction Questions and Answers KCSE Chemistry Paper 1 2019 KCSE Chemistry Paper 2 2016 KCSE Chemistry Paper 2 2017 KCSE Chemistry Paper 2 2018 KCSE Chemistry Paper 2 2019 KCSE Chemistry Questions and Answers Most Tested Questions in Chemistry Paper 1 Most Tested Questions in Chemistry Paper 2 Mostly Tested Questions in Chemistry Paper 1 Mostly Tested Questions in Chemistry Paper 2 Chemistry Form 4 Chemistry Revision Questions Form 1 Combined Science Notes Form 1 Form 4 Notes High Flyer Series Chemistry Form 1-4 Kcse Past Papers Chemistry With Answers Chemistry Notes Download Secondary Chemistry Notes Pdf Water and Hydrogen Form 1 Notes High Flyer Series KCSE Revision in Chemistry High Flyer Series KCSE Revision Chemistry Form 1-4 Revised A Level Chemistry Notes Uganda Pdf Download Buddo Junior School Holiday Work Chemistry Notes for a Level Pdf Chemistry Notes Form 1 Chemistry Notes Form 3 the Mole Chemistry Notes Form 4 Chemistry Notes O Level Chemistry Notes O Level Uganda Chemistry Notes O Level Uganda Pdf Chemistry Notes Pdf Download Chemistry Notes Form 3 Chemistry Notes Form 3 Chemistry Questions and Answers Form Three Chemistry Syllabus Pdf Gayaza High School Chemistry Notes Gayaza High School Chemistry Notes Pdf Gayaza High School Chemistry Past Papers Gayaza High School Chemistry Past Papers Answers Gayaza High School Chemistry Past Papers Questions and Answers Gayaza High School E Learning Gayaza High School Elearning Platform Gayaza High School Examinations Gayaza High School Holiday Work Gayaza High School Notes Gayaza High School Notes 2021 Gayaza High School Notes 2022 Gayaza High School Notes 2023 Gayaza High School Notes Pdf Gayaza Junior School E Learning Platform Gayaza Junior School Holiday Work Gayaza O Level Chemistry Notes Home › Gayaza High School | Elearning Platform Kabojja Junior School Holiday Work Pdf Klb Chemistry Book 3 Klb Chemistry Form 3 Teachers Guide Klb Chemistry Notes List of Ugandan E-learning Platforms for Students Mirembe Junior School Holiday Work Ntare School Past Papers O Level Chemistry Notes Free Download O Level Chemistry Notes in Uganda O Level Chemistry Notes Pdf O Level Chemistry Notes Uganda Pdf O Level Chemistry Notes Uganda Pdf Download O Level General - Home › Gayaza High School | Elearning S.1 Chemistry Notes | Standard High School Zzana S.3 Chemistry Notes S.4 Chemistry 2 Notes | Standard High School Zzana Seeta High School Elearning Seeta High School Holiday Work Seeta High School Notes Seeta High School Notes Pdf Seeta High School Past Papers Seeta High School Past Papers Pdf Senior 1 Chemistry Notes Senior 1 Chemistry Notes in Uganda Senior 1 Chemistry Notes Uganda Senior 1 Chemistry Questions Senior 1 Exams Senior 1 Work Senior 1 Work 2020 Senior 1 Work 2020 Uganda Senior 2 Chemistry Notes Senior 2 Chemistry Notes in Uganda Senior 2 Chemistry Notes Uganda Senior 2 Chemistry Questions Senior 2 Exams Senior 2 Work Senior 2 Work 2020 Senior 2 Work 2020 Uganda Senior 3 Chemistry Notes Senior 3 Chemistry Notes in Uganda Senior 3 Chemistry Notes Uganda Senior 3 Chemistry Questions Senior 3 Exams Senior 3 Work Senior 3 Work 2020 Senior 3 Work 2020 Uganda Senior 4 Chemistry Notes Senior 4 Chemistry Notes in Uganda Senior 4 Chemistry Notes Uganda Senior 4 Chemistry Questions Senior 4 Exams Senior 4 Work Senior 4 Work 2020 Senior 4 Work 2020 Uganda Senior Four Chemistry Notes Senior Four Chemistry Notes in Uganda Senior Four Chemistry Notes Uganda Senior Four Chemistry Questions Senior Four Exams Senior Four Work Senior Four Work 2020 Senior Four Work 2020 Uganda Senior One Chemistry Notes Senior One Chemistry Notes in Uganda Senior One Chemistry Notes Uganda Senior One Chemistry Questions Senior One Exams Senior One Work Senior One Work 2020 Senior One Work 2020 Uganda Senior Three Chemistry Notes Senior Three Chemistry Notes in Uganda Senior Three Chemistry Notes Uganda Senior Three Chemistry Questions Senior Three Exams Senior Three Work Senior Three Work 2020 Senior Three Work 2020 Uganda Senior Two Chemistry Notes Senior Two Chemistry Notes in Uganda Senior Two Chemistry Notes Pdf Senior Two Chemistry Notes Uganda Senior Two Chemistry Questions Senior Two Exams Senior Two Work Senior Two Work 2020 Senior Two Work 2020 Uganda St Mary's Kitende E Learning Standard High School Notes Standard High School Zana a Level Notes Standard High School Zana Com Notes Standard High School Zana E Learning Standard High School Zana E Learning Platform Standard High School Zana E-learning Platform Standard High School Zana Notes for Senior Two Standard High School Zana Notes Pdf Standard High School Zana Website Standard High Zana Notes Uace Chemistry Notes Uace Chemistry Notes Pdf Uce Chemistry Notes Pdf Uce Chemistry Notes Pdf Download Uce Past Papers Uganda Secondary Schools E-learning Platform Uneb Marking Guides Pdf Uneb Past Papers and Answers Pdf Air and Combustion Form 1 Notes Chemistry Form 1 Notes Pdf Free Download Chemistry Form One Questions and Answers Chemistry Notes Form 1 Easy Elimu Chemistry Notes Form 1-4 Pdf Chemistry Notes Form 1-4 Pdf Download Free High School Chemistry Notes Pdf Klb Chemistry Form 1 Notes Pdf Download Notes of Form One Chemistry Laboratory and Drawings Chemistry Form 1 Questions and Answers Pdf Download Chemistry Notes Form 1-4 Chemistry Form 1 Questions and Answers Pdf Form 1 Chemistry Topical Questions Form 1 Chemistry Exam Paper With Answer Pdf Form 1 Exams 2020 Form 1 Chemistry Past Papers Form 1 Chemistry Revision Papers With Answers Sample Chemistry Test for Form One Exams Ntare School Past Papers Seeta High School Notes Pdf Seeta High School Past Papers Seeta High School Past Papers Pdf St Mary's Kitende Past Papers Uce Chemistry Notes Pdf Uce Past Papers Uneb Marking Guides Pdf Uneb Past Papers and Answers Pdf Chemistry Book 3 Download Chemistry Form 3 Questions and Answers Chemistry Form 3 Syllabus Chemistry Form 3 Topics Chemistry Notes Form 3 Chemistry Notes Form 3 Chemistry Notes Form 3 Chemistry Notes Form Three Chemistry Notes Pdf Download Form 3 Chemistry Exam Form 3 Chemistry Notes on Pdf Revision Chemistry Revision a Level Chemistry Revision Notes - Chemistry S.1-Chemistry-notes S.1-Chemistry-notes Uganda S.2-Chemistry-notes S.2-Chemistry-notes Uganda S.3-Chemistry-notes S.3-Chemistry-notes Uganda S.4-Chemistry-notes S.4-Chemistry-notes Uganda S.5-Chemistry-notes S.5-Chemistry-notes Uganda S.6-Chemistry-notes S.6-Chemistry-notes Uganda S1 Chemistry Notes Term 1 S1 Chemistry Notes Term 2 S1 Chemistry Notes Term 3 S2 Chemistry Notes Term 1 S2 Chemistry Notes Term 2 S2 Chemistry Notes Term 3 S3 Chemistry Notes Term 1 S3 Chemistry Notes Term 2 S3 Chemistry Notes Term 3 S4 Chemistry Notes Term 1 S4 Chemistry Notes Term 2 S4 Chemistry Notes Term 3 Senior 3 Chemistry Notes Senior 3 Chemistry Notes Uganda Senior Three Chemistry Notes Senior Three Chemistry Notes Uganda Chemistry Form 1 the Cell Chemistry Form One Notes Free – Education News Chemistry Notes Form 1-4 Chemistry Questions and Answers Form 1 - Chemistry Form One Chemistry Questions and Answers Form 2 - Chemistry Form Two Chemistry Questions and Answers Form 3 - Chemistry Form Three Chemistry Questions and Answers Form 4 - Chemistry Form Four Chemistry Questions and Answers Senior 1 - Chemistry Senior One Chemistry Questions and Answers Senior 2 - Chemistry Senior Two Chemistry Questions and Answers Senior 3 - Chemistry Senior Three Chemistry Questions and Answers Senior 4 - Chemistry Senior Four Chemistry Topic by Topic Questions and Answers Combined Science Notes Form 1 Form 1 Chemistry Revision Questions and Answers Form 1 Chemistry Topical Questions Form 1 Revision Papers With Answers Form 2 Chemistry Revision Questions and Answers Form 3 Chemistry Revision Questions and Answers Form Four Chemistry Revision Questions and Answers Form One Chemistry Revision Questions and Answers Form Three Chemistry Revision Questions and Answers Form Two Chemistry Revision Questions and Answers Free Chemistry Form 1 Notes Free Chemistry Notes Introduction to Chemistry Form One Kcse Past Papers: Chemistry Form 1 Kcse Past Papers: Chemistry Form 1 Topical Questions Kcse Past Papers: Chemistry Form 1 Topical Questions and Answers Most Tested Areas in Chemistry Kcse Most Tested Areas in Chemistry Kcse Exams Most Tested Areas in Chemistry Uneb Most Tested Areas in Form 1 in Chemistry Most Tested Areas in Form 2 in Chemistry Most Tested Areas in Form 3 in Chemistry Most Tested Areas in Form 4 in Chemistry Most Tested Areas in Form Four in Chemistry Most Tested Areas in Form One in Chemistry Most Tested Areas in Form Three in Chemistry Most Tested Areas in Form Two in Chemistry Most Tested Areas in Kcse Chemistry Most Tested Areas in Kcse Chemistry Exams Most Tested Areas in Senior 1 in Chemistry Most Tested Areas in Senior 2 in Chemistry Most Tested Areas in Senior 3 in Chemistry Most Tested Areas in Senior 4 in Chemistry Most Tested Areas in Senior Four in Chemistry Most Tested Areas in Senior One in Chemistry Most Tested Areas in Senior Three in Chemistry Most Tested Areas in Senior Two in Chemistry Most Tested Areas in Uneb Chemistry Revision Notes Chemistry Form 1 - Free Kcse Past Papers Who Was Chemistry Champion KCSE 2019 Top 100 Students in Chemistry KCSE 2019 Best 100 Students in Chemistry KCSE 2019 Top Student in Chemistry KCSE Best Student in Chemistry KCSE Who Was Chemistry Champion KCSE 2020 Top 100 Students in Chemistry KCSE 2020 Best 100 Students in Chemistry KCSE 2020 Names of Best Chemistry Students KCSE Names of Top Chemistry Students KCSE High School Chemistry Notes Pdf Best High School Chemistry Notes Pdf Comprehensive High School Chemistry Notes Pdf Klb Chemistry Form 1 Book Pdf Chemistry Form 1 Best Notes Chemistry Form 1 Notes Pdf Chemistry Form 1 Pressure Chemistry Form 1 Questions and Answers Chemistry Form 1 Questions and Answers Pdf Download Chemistry Form 2 Best Notes Chemistry Form 3 Best Notes Chemistry Form 4 Best Notes Chemistry Form Four Best Notes Chemistry Form One Best Notes Chemistry Form Three Best Notes Chemistry Form Two Best Notes Chemistry Notes Form 1 to 4 Chemistry Notes Pdf